时间:2017-12-12 07:15
人气:
作者:admin
2004年,欧洲电信标准协会(ETSI)提出新型数字集群通信系统DMR(Digital Mobile Radio),DMR系统与TETRA和iDEN系统相比具有易于实现、成本低廉等优势,已经开始受到国内外各大集群设备生产厂商的高度重视。因此,文中提出一种专门针对DMR系统的接收机设计,对射频信号采用两次下变频,先后得到45.05 MHz和455 kHz的两个中频信号,最后再由鉴频芯片TA31 136解调得到语音信号。本方案具有成本低,性能良好,接收分辨率高,覆盖范围广等优点,已成功应用在我们开发的DMR数字终端设备上。
其中两个BPF均为分立元件搭建、陶瓷滤波器。MCF采用成品元件、IF AMP为三极管搭建,在此不进行详述。下面主要对各重要模块设计进行详细说明。

(1)低噪放LNA的电路设计。
本接收机用于实际批量产品,处于降低成本的考虑,低噪放LNA采用MOS管3SK318及外围电路来实现,其电路图,如图2所示。

通过调节3SK318的偏执电路,当供电电压为5 V时,上图中有V1=4.91 V,V2=4.81 V,V3=0.99 V,V4=2.0 V,此时LNA的放大增益为20 dB。
(2)接收机本振锁相环电路设计。
本接收机的本振由MAX2620和MB15E03L所组成的锁相环频率合成器来提供。Maxim公司的MAX2620是一种使用非常方便的振荡器芯片,其内部组成,如图3(a)所示。MAX2620提供一个缓冲放大输出级,能够减少负载变化对振荡器频率的影响,供电电压范围为2.7~5.25 V,内部设有偏置电路以稳定其工作点,使工作受电源波动的影响减小,并具有电源关断能力,由SHDN端控制。两个互补的输出(OUT与OUT)可以构成两个单端输出或是一个差分输出,MAX2620采用双极技术,输出为集电极开路,因此输出需要上拉电阻。针对不同的负载两相输出功率分别可达-2 dBm和-10 dBm,在本设计中OUT输出已调频信号,OUT输出作为PLL反馈频率供鉴相使用。

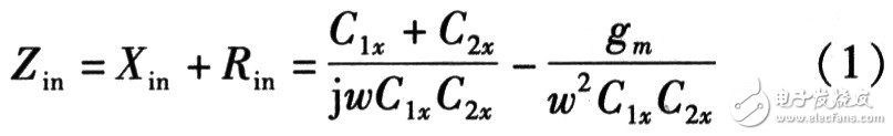
压控振荡器的设计采用传统的Colpitts共射串联谐振结构,这种结构可以工作在很宽的频率范围内以满足系统宽带要求。MAX2620采用双极设计结构,其交流小信号等效电路,如图3(b)所示,其中电容C1,C2,寄生电容Cp1、Cp2及跨导gm决定了振荡器的输入阻抗为

Colpitts振荡器就是利用“负阻”原理实现振荡的。得到有源电路的输入阻抗及单端口网络参数S11之后,构建与有源部分相对应的LC谐振槽路。VCO整体结构,如图4中MAX2620部分所示。搭建VCO后,测量得到VCO振荡频率范围为:420~470
Colpitts振荡器就是利用“负阻”原理实现振荡的。得到有源电路的输入阻抗及单端口网络参数S11之后,构建与有源部分相对应的LC谐振槽路。VCO整体结构,如图4中MAX2620部分所示。搭建VCO后,测量得到VCO振荡频率范围为:420~470 MHz@0~4 V,调制灵敏度为12.5 MHz/V,并且线性度良好。MAX2620内部集成了VCO缓冲放大输出级,能够减少负载变化对振荡器振荡频率的影响。输出以提升电感和串联电容匹配至50Ω负载,OUT端只需50Ω提升电阻并耦合反馈至频率合成器即可。
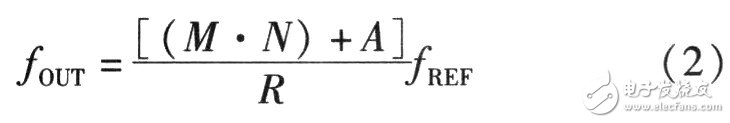
完成VCO后根据所选路的PLL频率合成芯片设计环路滤波器。PLL频率合成芯片MB15E03SL是Fujitsu公司生产的串行输入吞脉冲PLL频率合成器,最高支持1.2 GHz的工作频率,内部集成了低噪声数字鉴相器,可设置双模比例因子M/M+1,14 bit可编程参考分频比R及18 bit的可编程N分频器,芯片提供非常简单的三线SPI串行输入设定上述各项参数得到所需频率,输出频率计算式为

MB15E03SL其他参数详见数据手册,锁相环频率合成器设计原理图,如图4所示。

根据系统要求:信道间隔12.5 kHz,容差±2 ppm,锁定时间《4 ms,根据文献[2]计算得环路带宽必须满足Fc≥1.6 kHz。由于增大环路带宽可以减小锁定时间,而环路太宽则会严重影响相位噪声,并且一般要求Fc不超过比较频率FPD的1/5,选择Fc=2.5.kHz。在VCO调制灵敏度等于20 MHz/V,电荷泵增益选择为Kφ=±1.5 mA,比较频率fPD=1 2.5 kHz,输出频率范围为420~470 MHz,环路滤波带宽Fc=2.5 kHz,相位裕量φ=48°,环路滤波极点比T3/T1=45%,参考输入频率13 MHz的条件下计算环路滤波器的各项参数。得到环路滤波器参数为:R_LF1=3.3 kΩ,R_LF2=5.6 kΩ,C_LF1=4.7 nF,C_LF2=47 nF,C_LF3=2.2 nF 。理论计算结果表明,在此环路条件下锁相环锁定时间Lock-time=1.3 ms,相位噪声能达到PN=-94.07 dBe/Hz@10 kHz,环路带宽Fc=2.56 kHz,相位裕量为39.52°,已经能够达到系统需求,根据此环路滤波条件建立调频锁相环原理图,如图4所示。图5为锁相环430 MHz时的杂波测试图。
、