时间:2017-12-12 11:48
人气:
作者:admin
射频识别(Radio Frequency Indentification)是一种通过无线射频方式进行非接触的双向数据通信,对目标加以识别并获取相关数据的自动识别技术。现在RFID已经渗透到人们日常生活的各个领域,成为一种常见的技术,其应用包括物流、资产管理、人员门禁等。RFID系统的基本组成包括读写器和电子标签两部分。读写器天线和电子标签天线是实现读写器与电子标签通信的空间物理接口。工作频率是RFID系统最重要的性能参数,中国公布的UHF频段中RFID频率范围为 840~845 MHz和920~925 MHz两个频段。
微带天线以其剖面薄、体积小、成本低等优点而被广泛应用于无线通信系统。为满足读写器天线工作于840~845 MHz和920~925 MHz两个频段的要求,如果直接采用微带天线设计,则存在着天线的频带比较窄,不能满足两个频段要求的缺点。一种新的设计思路是设计一款双频带微带天线,使其两个频带分别覆盖840~845 MHz和920~925 MHz两个频段。这样做的好处是既满足了双频段的要求,又在一定程度上过滤了两频段间的干扰和噪声进入读写器的接收系统。
这里采用多谐振的方法,通过微带天线的结构设计,实现了双频段的覆盖。在这种思路下,采用E形天线与倒F天线(IFA)相结合的设计,实现了一种低后瓣双频微带天线。天线谐振在850 MHz和920 MHz处,VSWR=1.09,带宽(VSWRlt;2)满足频段覆盖的要求。该天线制作在2 mm厚的FR4基板上,不仅具有小的尺寸,而且便于调协,易于制作。
典型的倒F天线(IFA)是由一个放在地面上的矩形平面单元,一个与地平行的短路面或者短路针和一个馈电单元构成的,如图1所示。IFA本质上是一 个偶极子的变形,通过将偶极子的上面部分向下弯折到与地面平行,这样可以减小天线的高度,但是与地面平行的部分却对天线引入了容抗。因此,在天线结构中引 入感性的短路面或者短路针来补偿这部分容性是必要的。IFA天线的地面具有重要作用,因为当IFA贴片具有电流时,将引起地面电流的激励,最终的场是由 IFA贴片电流和它在地面的镜像电流共同形成的。这就是IFA天线的工作原理。

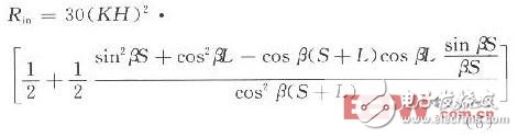
由长为L的终端开路线和长为S的终端短路线并联而成的共面倒F形天线(PIFA),其结构如图2所示。传输线的线宽d《H时,传输线的阻抗Z0可以表示为:

式(1)中:ξ=120π为空气中波阻抗。根据传输线理论,输入阻抗为:

式(2)中:β为传播常数。根据式(2)可以分别计算对于长为L的终端开路线和长为S的终端短路线的电抗,分别为:

当忽略损耗时,天线的输入电阻即为辐射电阻。根据文献[8],则有:

当长度L=λ/4时,由式(6)可以得到天线的输入电抗为0,天线处于谐振状态,此时:

从式(7)可以看到,天线的输入阻抗为纯电阻,且仅仅与天线的高度H有关。从以上的推导可以看到,对于IPFA的调节,可以通过调整长度L来调节天 线的输入阻抗,使之呈纯电阻;之后可以通过调节天线的高度H来改变天线的输入阻抗,使之与50 Ω同轴线的馈线相匹配。
1.2 E形天线
E形天线是在普通微带贴片单元的基础上开了二个平行槽而形成的。槽的位置以馈电点对称。通过调整槽的位置、长度和宽度,可以有效地提高微带天线的带 宽。根据文献[8],普通的微带贴片天线可以等效为一个简单的LC谐振回路,L和C的值由电流在导体表面流经的长度决定,而E形微带天线由于开槽而使天线 从一个单谐振的LC回路变成双谐振LC回路。这两个谐振回路耦合在一起,即可实现频带的展宽。
根据以上原理,这里将E形天线与IFA天线相结合实现了双频微带天线,如图3所示。根据文献[9,10],有:

式中:W为天线的宽度;c为光速;f为工作频率;εr为介质相对介电常数。

天线的长度一般参照λg/2取值,λg为介质中的波长,有:

谐振单元的长度为:
![]()
式(10)中,有效介电常数和△L可以根据以下公式计算:

式中:εe为有效介电常数;h为介质基板厚度。
根据式(8)~(12)可以估算出天线的尺寸W和L。然后,在基于FDTD的.Ansoft HFSS 10.0上建模,仿真优化,得到图3所示的天线模型。仿真结果如图4所示。天线的结构参数如表1所示。

从图3可以看到,该微带天线是由E形天线与共面IFA共同构成的,天线印刷在厚度为2 mm,相对介电常数为4.6的FR4基板上,天线引入了感性短路针来抵消容性。在调试中发现天线的性能对以下参数特别敏感:槽的宽度对第二谐振点影响比较 大,其影响主要体现在谐振深度上,而不产生频偏;短路针的位置对第一谐振点影响比较大,其影响主要体现在谐振深度上,而不产生频偏;槽之间的距离越近,谐 振频率越大,而对谐振深度的影响却甚微。
从图4(a)可以看到,天线谐振在850 MHz,920 MHz。谐振点处VSWR=1.09,带宽(VSWRlt;2)840~860 MHz和910~930 MHz,完全满足UHF中国频段的要求。从图4(b)~(e)的方向图可以看到,无论是在850 MHz还是在920 MHz,天线的后瓣均比较小,从而实现了该天线高的前后抑制比。
在此针对UHF频段RFID读写器天线兼容840~845 MHz和920~925 MHz双频段的要求设计了一款新颖的双频微带天线。仿真和测试结果表明,这种天线谐振在850 MHz和920 MHz两个频点,两个谐振点处带宽(VSWRlt;2)满足覆盖840~845 MHz和920~925 MHz双频段的要求,且具有较低的后瓣。