时间:2017-12-11 04:05
人气:
作者:admin
由于船体受海浪影响,而发生随机性摇摆(横摇、纵摇、偏航)会使天线视轴晃动,容易造成窄波束天线跟踪性能下降,甚至造成丢失目标。为准确跟踪目标,减小载体运动给天线跟踪带来的扰动,需建立一套抗扰动稳定系统,使天线输出视轴隔离船体扰动而稳定在惯性空间坐标系。保证系统的跟踪能力和跟踪性能的要求。
为了有效实现抗扰动功能,传统的方案上需要同时采用多模式补偿,利用至少6个速率陀螺检测船体的三维扰动信息和天线主动的旋转信息,根据天线三轴(方位轴、俯仰轴、横切轴)结构,结合前馈开环补偿和反馈闭环补偿,实现对扰动的隔离。方案设计复杂、陀螺使用量大且冗余度不够。
三轴天线系统(横切轴C、方位轴A、俯仰轴E),是在传统的A-E型座架基础上,在俯仰轴上叠加与之垂直的横切轴,横切轴垂直于电轴。当俯仰角E=0°时,横切轴与方位轴重合;当俯仰角E=90°时,横切轴与方位轴垂直。

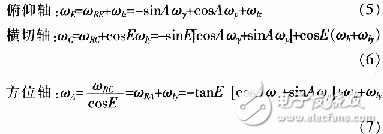
当船体以角速度矢量ωz=(ωpωyωh)表示扰动。其中:ωy为船横摇速度,ωp为船纵摇速度,ωh为船航向速度。船摇参数的变化转换到横倾轴、方位轴、俯仰轴的速度分量,如图1所示。设ωRE为船摇附加的方位速度,ωRC为船摇附加的横倾速度,ωRE为船摇附加的俯仰速度甲板坐标系:OXc为船艏艉线,艏为正,OYc为垂直甲板平面,向上为正,OZc按右手规确定。
由图l(a)可得:

当A=0°时,纵摇速度为ωp=0,只有横摇量ωy;当A=90°时,横摇速度为ωy=0,只有纵摇量ωp。在天线主动驱动和载体扰动的共同作用下,天线各轴的总的旋转速度为:

式(2)~式(4)是船体三维扰动在天线三轴上的反映,伺服控制系统可以采用开环补偿消除其对天线跟踪的影响。式(5)~式(7)是天线三轴在惯性空间总的转动信息,伺服控制系统可以采用闭环方式消除其对天线跟踪的影响。因此,设法正确测量出这些信息,并采取合适的控制模式,抑制扰动使天线快速、稳定跟踪目标是伺服系统抗扰动设计的核心。
船摇扰动是作为一种干扰信号引入伺服系统,稳定控制的原理就是检测这种干扰,采取闭环或开环方式降低或消除其影响。扰动隔离方法主要有:速率陀螺前馈补偿、速率陀螺反馈控制、复合控制等方法。由于陀螺闭环控制本质上是误差调整方式。陀螺测量出的是综合扰动信息,无法区分扰动信息分量和随动信息分量。所以陀螺环路在对扰动信息进行抑制的同时,也对天线的主动运动进行动态抑制,降低了系统的响应速度,同时使系统的稳定性变差。相对而言,前馈补偿是开环调整方式,测量出的就是扰动信息,把此信息加入速度环的输入端,使天线轴以与船摇相反的速度转动,起到补偿作用。同时,由于不改变跟踪环路的结构和参数,使系统的带宽不受影响、环路的稳定性好。
2.1 补偿原理
前馈补偿的方法是使天线向与扰动相反的方向转动,以克服扰动的影响。依据上述三维扰动在天线三轴上的反映,合理设计陀螺的安装位置,使之感应出船摇引起的天线三轴相对于惯性空间的运动速度,把这种运动速度作为对天线的扰动,加入速度环的输入端,使天线轴转动与船摇方向相反、大小相等的速度量,起到抑制作用。
2.2 控制实现
天线跟踪设备的三轴稳定控制采用测速机作为速度反馈,编码器作为位置反馈,并将船摇扰动经速率陀螺检测前馈于速度回路。工作原理框图如图2所示。

图2中,K1W1为位置回路校正控制传递函数;K2W2为速度回路闭环传递函数,F(S)为补偿通道传递函数,系统传递函数为:

由式(8)可知:回路跟随能力是由项
![]()
决定,而船摇扰动消除能力由项
![]()
决定。从第二项可以看出消除船摇扰动的电机驱动角速度量由两部分组成,一是惯性空间中视轴被扰动的当前角速度(目标静止)。二是由补偿回路给出的当前时刻扰动量通过速度回路给出的电机驱动角速度。
依据完全不变性原理,当(1+F(S)K2W2)ωf,即F(s)=-1/K2W2时,实现对船摇扰动的完全隔离,即满足这个条件时,不论扰动量ωf为多大,对输出无影响。可是,速度回路K2W2中含有积分环节、惯性环节、二阶环节,如果要实现完全的不变性,必然F(S)中要具有许多个微分环节,这样 F(S)的输出将充满噪声,使系统根本无法工作。但是实现局部的不变性是可能的。即用低阶微分代替高阶微分,并使其系数满足某种条件,从而满足系统精度的要求。
实际使用中,合理选择前馈补偿系数,使前馈回路最大化的消除当前扰动,在此基础上结合环路的跟随能力,有效的消除视轴的偏差,实现高精度跟踪。因此,前馈回路起到粗调节的作用,而位置跟踪回路则可称为精调节。
2.3 工程应用
2.3.1 安装与测量
采用3个速率陀螺测量出因船体摇摆引起的附加在方位轴、横倾轴和俯仰轴方向的速度,用于开环补偿。
俯仰陀螺安装在方位转台上,敏感轴与天线的俯仰轴平行,陀螺随方位轴运动,敏感不到方位轴的旋转、俯仰轴的旋转、船体的航向速率等,它敏感的是船体的横摇、纵摇速率,如式(2)所示,可直接对俯仰轴进行开环前馈补偿。

分析横倾轴的扰动(式(3))和方位轴的扰动(式(4)),无法用一只陀螺直接测量到,可用间接的方法获得。用2只陀螺分别测量cosAωy+s- inAωp和ωh,根据俯仰角E用数学的方法得到式(3)和式(4)。这样,测量ωh分量的速率陀螺安装在方位底座(不随方位轴转动),其敏感轴与方位轴平行,输出主要为船体的航向速率信息。测量cosAωy+sinAωp分量的速率陀螺安装在方位转盘上(随方位轴转动),其敏感轴与横倾轴平行。
2.3.2 测试与分析
某船载三轴天线控制系统采用抗扰动设计。在海上进行摇摆实验,在典型海况参数(摇摆振幅±6°,摇摆周期12s)下。天线指向卫星自跟踪,转动船的航向,使船升摇时测量俯仰轴的船摇隔离度。这时天线方位角转至90°或270°;测量横倾轴的船摇隔离度,使天线方位角转至0°或180°。隔离度测试结果如图 3所示。图中,曲线系列1表示加前馈跟踪数据;曲线系列2表示无前馈跟踪数据。测试结果为:船摇隔离度为46.4 dB;跟踪精度为0.031°。由以上数据分析,可以得出开环补偿方案完全满足系统设计的性能指标要求。

前馈补偿并未改变原闭环系统的极点和闭环零点。因此,不会影响系统的伺服带宽和稳定性。工程使用时融合了前馈补偿和反馈控制的应用,在保证功能、性能的同时,简化系统、提高设备的可靠性和使用寿命,实际使用效果显著。