时间:2017-12-10 05:59
人气:
作者:admin
根据GPS 接收机的定位原理和GPS 接收机灵敏度分析接收机性能, 发现灵敏度主要与前端电路和基带有着密切关系。据此对GPS 的天线前端电路设计滤波器和低噪声放大器, 并对电路的其他方面提出要求, 考虑包含处理器和大量逻辑门电路的Cyclo ne 器件, 并通过配置嵌入式软核处理设计GPS 接收机。
GPS 系统在海运方面因能够提供连续、高精度的船位, 在保证船舶安全经济方面和保证在计划航线上航行有着极为重要的作用。高灵敏度的GPS 接收机要求接收机在卫星信号较弱的场景下仍然能够实现定位和跟踪。GPS 接收系统的灵敏度指标包括跟踪灵敏度、捕获灵敏度和初始启动灵敏度。目前GPS 接收机基本上可以实现跟踪灵敏度在- 160 dBm 以下, 同时初始启动的灵敏度和捕获灵敏度也分别可以达到- 142dBm 和- 148 dBm 以下。
GPS 接收机的灵敏度主要由两个方面决定:
一是接收机前端信号通路的增益及噪声性能, 二是基带部分的算法性能。接收机前端决定了接收信号到达基带部分时的信噪比; 基带算法则决定了解调、捕获、跟踪过程需要最小信噪比。
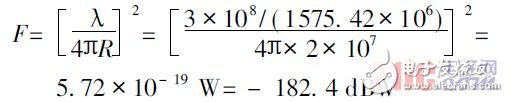
GPS 卫星的导航载波信号是L 频段( L 1 : 19cm; L2 : 24 cm) 的电波信号, 现行GPS 工作卫星采用L 波段的三种导航信号, 分别为L 1、L2、L3 ,其载波频率分别为: 1 575 42、1 227 60 和1 381. 05 MHzGPS 信号是从距地面20 000 km 的卫星发送到地面, 其L 1频段( f L1 = 1 575. 42 MHz) 自由空间衰减为:

根据GPS 接口控制文档( interface cONt ro ldocument , ICD) 规定GPS 系统L 1频段C/ A 码信号强度的最小值为- 160 dBW, 而GPS 系统设计该频段中C/ A 码信号发射的有效通量密度( effect ive isot ro pic radiated pow er, EIRP) 为P=478. 63 W( 26. 8 dBW) [ 4] , 若大气层衰减为2. 0dBW, 那么GPS 系统L 1 频段C/ A 码信号到达地面的强度为:
实际上由于GPS 接收机所对应的卫星仰角、受障碍物遮挡的原因, L 1 频段C/ A 信号到达接收机的强度可能会低于- 160 dBW。
GPS 接收机电路结构见图1。

图1 GPS接收机电路结构
提高GPS 接收机的灵敏度最重要是在接收前端减少最小可检测信号功率, 降低接收机的总噪声系数, 这样才能从噪声背景下提高信噪比。天线部分的第一级滤波器的作用是前置滤波, 是防止干扰影响低噪声放大, 不过他也增大了前级的噪声系数, 因此要选用小插损的滤波器, 如采用卡尔曼滤波技术可以极大地提高接收机精度。