时间:2017-12-10 07:20
人气:
作者:admin
混频器是无线收发机中的核心模块, 对整个系统的性能具有很大影响。线性度、转换增益是衡量一个混频器性能的重要指标。
在接收机中, 混频器具有一定的转换增益可以降低混频器后面各级模块设计的难度, 有利于提高系统噪声性能和灵敏度。线性度决定了混频器能处理的最大信号强度。随着现代通讯系统对性能要求越来越高, 无论是应用于接收机系统的下变频器(本文指的混频器) , 还是应用于发射机系统中的上变频器都要求具有较高的线性度。因此设计具有高增益和高线性度的混频器就成为业界一直研究的热点。
在CMOS电路设计中, 电流复用和电流注入技术常被用于提高电路的线性度和转换增益。然而,电流注入技术只能增大转换增益, 却不适用于低功率应用, 因为注入的电流必须足够大才能使转换增益和噪声系数达到比较好的指标。本文采用了电流复用技术和本振信号偶次谐波的方法设计了一种高增益高线性度混频器。
1. 1 电路结构
对大多数的接收机拓扑结构(如图1) 来说, 由于本地振荡信号通路与射频信号通路之间通过寄生电容或者衬底等方式耦合, 可能造成本地振荡信号的泄漏。其中一条通路是本振( LO)信号泄漏到中频( IF)输出端, 另一条通路是LO 信号不仅通过并联电容耦合直接进入混频器, 而且泄漏到LNA 的输入端并被LNA 放大后进入混频器的输入端, 被放大的LO 泄漏信号和耦合的LO 信号一起注入到混频器的输入端并直接下变频到IF, 这就会造成零中频接收机系统的直流偏移干扰有用信号。同时, 直接泄漏到中频端口的本振信号减小IF 信号的动态范围。这种由耦合方式造成的效应可以通过偶次谐波混频器来改善。
一般接收机的拓扑结构

图1 一般接收机的拓扑结构
为此, 本文设计的混频器采用了如图2所示的拓扑结构。这个结构中采用了本振倍频电路和电流复用电路分别提高了端口的隔离度以及电路的转换增益和线性度。由于LO 信号是差分输入, 在两个差分管完全一致的情况下, 在节点A 处将形成一个对交流信号的虚地点, 即LO 信号在A 点短路, 从而提高了混频器的隔离度。同时, LO管使用短沟道管时, 这种差分对管在节点A 处得到LO 倍频信号, 后面将会详细分析。因此, RF信号与LO 信号的二次谐波信号进行混频且f IF = |fRF - 2fLO |。使用本振二次谐波的方法将不会产生LO 信号泄漏, 同时LO 信号的频率将是使用基波混频器的一半, 大大降低了本地振荡器设计的难度。该结构中电感LE 的使用, 增大了进入混频的LO 信号二次谐波的幅度, 有助增大线性度,也降低了噪声系数, 同时该电感作为推挽通路的增强, 扩展了电流复用电路的动态范围。该混频器的中频输出端接源跟随器做为输出缓冲电路。
偶次谐波混频器拓扑结构

图2 偶次谐波混频器拓扑结构。
1. 2 电流复用电路分析
射频输入端使用的电流复用结构如图2 中MRFP1和MRFN 1以及MRFP2和MRFN2所示, 两路结构完全对称, 该结构的跨导为gm = gm p + gmn, 其中gmp为晶体管MRFP1和MRFP2跨导, gm n为晶体管MRFN 1和MRFN 2的跨导。因此, 采用电流复用结构增大了跨导级的跨导, 从而实现了混频器的高增益性能。
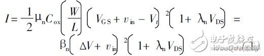
根据沟道长度效应, 跨导管电流表达式为:

这里, n 是跨导参数, vin是输入信号, !V = VG S - Vt是过驱动电压, n 是沟道长度调制系数, Vt 是阈值电压。根据( 1)式可得输出电流:
从( 2)式也可看出, 组成电流复用结构的跨导是两个晶体管的跨导的总和。
当输入信号为正时,MRFN工作于饱和区, MRFP工作于截止区并等效成电阻RRFP, 此时, 整个电流复用结构等效成一个n沟道的共源放大器, 同理, 当输入信号为负时, 该结构等效成一个p 沟道的共源放大器, 该电流复用结构组成了推挽电路并增大了电路的动态范围, 提高了电路的线性度。
1. 3 倍频电路
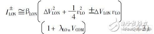
为了进一步分析本振信号倍频原理, 将本文设计混频器(图2)中的带电感倍频电路单独给出, 如图3所示。根据式( 1) , 晶体管MLON1和MLON2的漏电流ILON+ 和ILON- 可表示为:

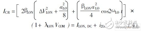
这里, vLO是LO 正弦输入信号, 且aLO是该信号的幅度, △VLON = VLO - VTN是MLON 1和MLON 2的过驱动电压。根据式( 3), 流经电流复用电路和倍频电路的总电流ICR为ILON+ 、ILON- 的和, 即得:

其中:
该信号即为LO 的2次谐波信号。从式( 4)可看出, 在节点VCOM 处产生了LO 倍频信号i2LO, 同时基频信号被抵消。假设电感的阻抗为ZLE = RLE + j2ωLOLE, 混频点处的电压Va 可表示为:
其中, LE 和RLE分别是电感的值和寄生负载, 根据式( 5), 由于该电感的存在, 混频处的电压幅度Va 大于VCOM , 这提高了进入混频器的LO 二次谐波信号的功率, 也就是说提高了有用信号的功率, 所以有助于提高该拓扑结构的线性度, 同时也有利于减小噪声系数。
倍频电路

图3 倍频电路
下一篇:WiMAX:无线城域网的新锐