时间:2017-12-10 10:52
人气:
作者:admin
微带天线是在带有导体接地板的介质基片上附加导体贴片而构成的天线,采用微带线或者同轴探针对贴片进行馈电,在贴片和接地板之间激励起电磁场,通过贴片与缝隙向外辐射。由于微带天线具有体积小,剖面低,重量轻,易馈电以及易与载体共形安装等优点,而广泛应用于测量和通讯各个领域。但是,由于微带天线是一种谐振式天线,高Q 特性也就决定了其输入阻抗对频率变化很敏感,导致了贴片天线的频带较窄( 一般频带的相对带宽只有 2%~ 5%) 。
对于工作在北斗频段的微带天线而言,由于带宽较窄,所以对工作频点的准确性有很高的要求,外界环境的微小变化都有可能使得频点发生漂移,导致天线无法正常工作,为了解决这个问题,可以扩宽微带天线在频点周围的频带,这样即使发生了频点漂移,天线的工作频点依然可以保持在天线的工作带宽范围内。
针对扩宽微带天线的频带问题,已经有了很多设计方法: 增加介质基板的厚度,但这样会引入表面波损耗;减小介质的相对介电常数,但是会使基板的尺寸加大;增加寄生单元,同样会使基板的面积加大; 增加阻抗匹配网络; 缝隙耦合馈电; 采用多层结构等。
本文采用在双层贴片间加入空气层的结构,利用两个贴片之间的相互耦合作用,产生两个相近的谐振频率点,从而达到增加微带天线频带宽度的目的。下面对该微带天线结构、理论和仿真结构进行论述,并在最后给出了结论。
1. 1 双层微带天线的结构
微带天线的结构如图1 所示,与传统微带天线采用同轴探针对贴片进行馈电不同,本文采用了正交微带线对贴片进行馈电,这样既可以避免因为同轴探针的使用而引入电感,对天线的阻抗匹配带来不便,也可以简单地实现天线的圆极化功能。两条正交微带线的宽度相同,均为W1。此外,从图中可以看到,在两个贴片之间加入了空气层,使其起到降低介电常数的作用,从而达到增加频带宽度的目的。

图1 双层微带天线的俯视图与侧视图。
1. 2 双层微带天线的理论分析
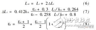
具体的推导步骤如下,假设下层贴片的谐振频率为f 01 ,边长为Le1 ,上层贴片的谐振频率为f 02 ,边长为Le2 ,有:

式中: c 为自由空间中的光速。

式中: ε1 和ε2 分别代表底层介质基板的相对介电常数和上层介质基板的相对介电常数; h1 代表底层介质基板的厚度; h2 代表空气层的厚度。

式中: L ei 与L i 分别表示贴片的实际边长和贴片的伸长量; εei 为有效介电常数。
1. 3 双层微带天线的尺寸参数
本文采用的基板是T ACNIC 公司的介质基板,1 = 2. 65,h = 0. 5 mm。其中,上贴片L 2 = 95 mm,下贴片L 1 = 70 mm; 底层介质基板的厚度为h1 = 1 mm,中间空气层的厚度为h2 = 13 mm,介电常数为2 = 1 0( 也可以采用介电常数接近于1 的泡沫材料代替空气层,本文选择用空气层来达到降低有效介电常数的目的) 。经过多次仿真实验,发现当W1 = 6. 4 mm 时,微带天线可以得到较好的阻抗匹配。
1. 4 双层微带天线的仿真结果与分析
根据上述各个参量值,采用A nsoft 公司的HFSS对本文所设计的微带天线进行了仿真,仿真结果如下:
图2 给出了S11《= - 10 dB 时的微带天线的频带展宽情况,图3 则给出了VSWR 《= 2 时,微带天线的频带展宽情况。
STyle=“FILTER: ; WIDTH: 450px; HEIGHT: 344px” height=344 alt=“S11 《=- 10 dB 时,微带天线的频带展宽情况” hspace=0 src=“http://files.chinaaet.com/images/20110105/64bd0cef-994b-4b9c-b63c-5d1c74bd9df0.jpg” width=450 border=0》

从图2,图3 中可以看出,微带天线的工作频带在1. 206~ 1. 346 GHz 之间,中心频率为1. 276 GHz,与北斗频点1. 268 GHz 相距很近,频带宽度达到了BW=140 MHz,相对宽度为11. 04%,远远超过了普通微带矩形贴片天线的工作带宽的范围( 一般普通的微带天线相对带宽在2% ~ 5% 左右) 。适当的调整空气层的厚度还可以控制谐振点的变化。此外,从图2,图3 中还可以看到,在工作的频带范围内有2 个谐振频点,这是由上,下2 个贴片各自谐振而引起的,可见双层贴片可以产生两个谐振点,进而可以有效地达到展宽微带天线频带的目的。
由图4 可以看到,双层微带天线的增益达到了5. 2 dB,较之传统的微带天线增益有少许增加,由此可见,双贴片的微带天线在提高增益方面也有一定的贡献。若要大幅度提高微带天线的增益,则可以在顶层贴片上再覆盖一层ε r》 1 的介质基板即可。
从图5 中可以看出,微带天线的部分轴比小于3 dB,从而实现了天线的圆极化,但是微带天线的最大辐射方向偏离轴向,天线的轴向比变差。该微带天线基本可以满足圆极化的要求。

图4 微带天线的增益。

图5 微带天线的轴比仿真图。
针对微带贴片天线频带较窄的特点,本文提出了一种利用正交微带线进行馈电的双贴片微带天线结构。
在VSWR《=2 时,频带范围在1. 206~ 1. 346 GHz之间,带宽达到了140 MHz,相对带宽达到了11. 04%。在工作频段内,天线的增益有稍许提高,轴比可以接受,所以此天线结构是一种比较经济实用的微带天线结构。