时间:2025-06-19 11:18
人气:
作者:admin
“BomberCat 是一个结合硬件开发与安全测试的开源工具,主要面向电子工程和网络安全领域。用于检测银行终端、门禁系统等设备的漏洞。”
Made with KiCad 系列将支持新的展示方式。直接将以下链接复制到浏览器中(或点击“阅读原文”):https://www.eda.cn/ecadViewer/viewerPage?xmlId=3adfb54b-472a-4fc7-8948-24909b2cd002&fileZip=%2Fdata%2Fdesign%2Fdemo%2F3adfb54b-472a-4fc7-8948-24909b2cd002.zip即可动态查看设计的原理图、PCB、3D 及 BOM,查询设计中器件、走线、焊盘的属性详情。还可以在原理图中与AI小助手互动,帮您更高效地学习设计细节:


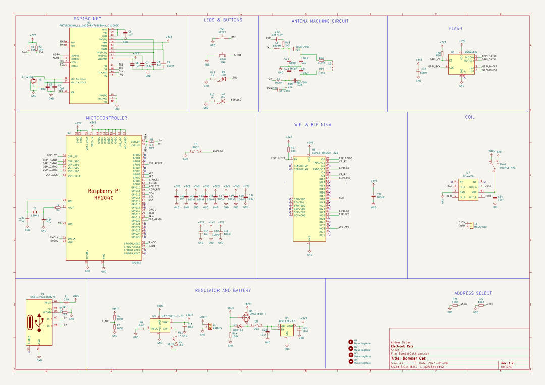
概览BomberCat 是一款结合了门禁卡/身份卡/银行卡领域最主流卡片技术的新型安全工具:近场通信(NFC)技术和磁条技术。专为审计银行终端、识别NFC读卡器和嗅探工具而设计,通过该工具可对磁条卡和NFC卡进行审计、读取或模拟。该设备还搭载了采用 WiFiNINA 固件的 ESP32 协处理器,支持通过 HTTP 或 MQTT 协议建立 WiFi 连接,能够在远距离或本地 Web 服务器上测试中继攻击与欺骗攻击。功能应用BomberCat 采用 RP2040 微控制器搭配 PN7150 芯片(新一代NFC芯片)。其中 RP2040 提供 USB 接口功能,PN7150 则负责 NFC功 能实现。本设备设计注重用户友好性,支持 Arduino、Circuitpython 和 Micropython 等开发框架快速编程。卡模拟模式:该模式下设备可模拟智能卡或标签。此时 BomberCat 表现为被动式 NFC 标签,不主动发起通信,仅响应 NFC 读卡器指令。典型应用场景如智能手机通过 NFC 功能集成多张卡片/门禁卡/标签(例如使用同一手机完成 RFID 门禁控制、非接支付等)。值得注意的是,卡模拟模式不仅适用于手机,任何便携设备均可受益于此功能。读写模式:该模式下设备作为 NFC 读卡器/写入器运行。此时 BomberCat 可与被动标签、NFC 智能卡或处于卡模拟模式的 NFC 设备进行交互。虽然理论上支持读写操作,但实际应用中由于标签常设写保护,读取功能更为常用。在此模式下,设备主动生成射频场,而标签/卡片仅进行场调制。Magspoof模式:专用于磁条卡交互。通过模拟磁条卡的电磁脉冲,该模式能够完美仿效磁条卡特性。功能与规格





LicenseGPL 3.0仓库 & 下载
可以在Github中获取开源仓库:
https://github.com/ElectronicCats/BomberCat