全球最实用的IT互联网站!
人工智能P2P分享搜索全网发布信息网站地图标签大全
GTO、IGBT等电力电子元件关断的时候是不是都要负
阅读全文2024-02-20
什么是绝缘栅双极型晶体管的开通时间与关断时
全碳化硅直流充电设备技术研究案例
晶体管BJT的工作原理 MOSFET的工作原理介绍
扬杰科技又新增5亿元车用IGBT、SiC模块封装项目
如何使用差分放大器与多个运放实现减法电路的
阅读全文2024-02-19
ADC模数转换器的简介及参数详解
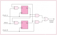
数字电路之时钟切换电路解析
阅读全文2024-02-18
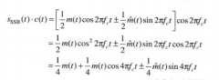
关于SSB信号的解调仿真
MOSFET栅极应用电路分析汇总
数字电压表设计教程之LTC2308数据手册解读
慧能泰负载开关HUSB305A产品介绍
德州仪器新型单级转换器助力微型逆变器
IGBT短路失效分析
CPU | 内存 | 硬盘 | 显卡 | 显示器 | 主板 | 电源 | 键鼠 | 网站地图
Copyright © 2025-2035 诺佳网 版权所有 备案号:赣ICP备2025066733号 本站资料均来源互联网收集整理,作品版权归作者所有,如果侵犯了您的版权,请跟我们联系。