全球最实用的IT互联网信息网站!

AI人工智能P2P分享&下载搜索网页发布信息网站地图

当前位置:诺佳网 > 电子/半导体 > 便携设备 >

超级电容器主要性能指标

时间:2022-05-09 10:52

人气:

作者:admin

标签:

导读:超级电容器主要性能指标包括比电容、能量密度与功率密度、内阻和循环稳定性。...

超级电容器主要性能指标包括比电容、能量密度与功率密度、内阻和循环稳定性。

2.7V7F1.jpg


1.比电容

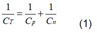
在超级电容器中,每一个电极都是一个电容。所以,对于超级电容器来说,总电容由正负极两个电容器串联而得。如果将正极电容用Cp来表示,负极电容用Cn来表示,则总电容为 :

在测试中研究人员更关心的是超级电容器的比电容,它分为两种,一种为质量比电容,即单位质量的电容值;另一种为体积比电容,即单位体积的电容值。

2.能量密度与功率密度

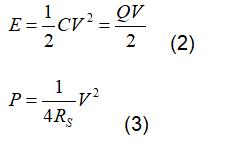
能量密度与功率密度是表征超级电容器性能的主要指标, 能量密度越大, 表示超级电容器能够储存的电能越多;功率密度越大,表示超级电容器在单位时间能够放出的能量越多,一般来讲,理想的超级电容器理论上的能量密度 E与功率密度 P可由如下两个公式计算:

公式中: C 为比电容; V 为电势窗口, 即电解液正极析氧电位与负极析氢电位的差; R s 为电容器等效串联电阻; Q 为电容器存储的总电荷。从式(3)可以看出, 超级电容器的能量密度与比电容和电势窗口的平方成正比, 比电容的大小与电极材料有关, 电势窗口则与电解液有关。超级电容器的能量密度与功率密度都与电势窗口的平方成正比, 所以说, 扩大电势窗口来提升超级电容器性能相比于提高比电容值来说更有效。

3.内阻

超级电容器的内阻指的是正极电容与负极电容间的串联电阻,它与电极材料、 电解液、隔膜和组装方式等都有很大关系。一般来说, 较小的内阻对于超级电容器性能的提升是有利的。电极厚度越大,内阻越高,一般电极厚度小于150μm。而且材料的孔径不应过小,一般在 1.5nm以上,以方便电解液中的离子进入并充分浸润, 形成双电层, 避免内阻变大。

电解液的电阻也是影响超级电容器内阻的主要因素,对于水系电解液来说,离子的直径很小,迁移率高,而且能够轻易通过隔膜,也能轻易进入电极的孔隙内,所以内阻很小;而对于有机系电解液来说,溶质一般为有机高分子,直径都很大,迁移过程中被阻碍的几率就大得多,而且难以进入电极的孔隙中,内阻相对较大。

4.循环稳定性

循环稳定性是指超级电容器在多次充放电后保持电学性能的程度的能力,主要表现在多次充放电后电容值的衰减程度是否过大。循环稳定性以超级电容器循环充放电数千次后电容值衰减程度标定,一次循环所测电容值为初始值,数千次充放电循环后器件的电容值为最终值,初始值与最终值之间每隔数百次记录一次电容值即可绘制超级电容器电容量随充放电次数变化曲线。将初始值与最终值进行比较即可得到超级电容器的电容保持率。由于电解液对电极材料有一定的侵蚀, 尤其是法拉第赝电容器, 因此超级电容器的电容值存在一定的衰减。尽管如此, 超级电容器的循环寿命仍然遥遥领先于蓄电池, 这也是超级电容器的一大优势。


温馨提示:以上内容整理于网络,仅供参考,如果对您有帮助,留下您的阅读感言吧!
相关阅读
本类排行
相关标签
本类推荐

CPU | 内存 | 硬盘 | 显卡 | 显示器 | 主板 | 电源 | 键鼠 | 网站地图

Copyright © 2025-2035 诺佳网 版权所有 备案号:赣ICP备2025066733号
本站资料均来源互联网收集整理,作品版权归作者所有,如果侵犯了您的版权,请跟我们联系。

关注微信