时间:2014-07-14 11:38
人气:
作者:admin
由于计算机效能不断的推陈出新,愈来愈多的功能被整合到计算机中。因此,计算机的处理量与日俱增,这些资料包含多媒体数据及3D动画资料。为了满足大量的数据处理需求,愈来愈多的芯片组被放入主机中,同时,CPU及芯片组的工作频率也不断提高。更多的芯片组及更快的时钟频率意味着更多热量的产生。 对于笔记本电脑,用户除了要求系统具有更好的效能外,在外观上,还要求轻、薄、小,这是设计人员所面临的另一挑战。在有限的空间内,如何耗散系统所产生的热量是一个棘手问题。如何兼顾系统效能、系统舒适度 (包括笔记本电脑外壳的温度、风扇旋转所产生的噪音)、及系统运行时间,是笔记本电脑设计的一个重要课题。 [b] 笔记本电脑中需要监测温度的组件 [/b]图1为笔记本电脑的典型系统框图,CPU为系统中最大的热源,目前笔记本电脑普遍使用的Intel Dothan处理器其瞬间最大功耗约为37W,AMD Athlon处理器其瞬间最大功耗约为35W至40W,Intel下一代Merom处理器的瞬间最大功耗将高达50W。CPU是计算机中温度检测的重要目标。目前,无论是Intel或AMD的CPU,CPU内部都含有提供远程温度检测用的二极管,以提供温度传感器,直接检测CPU内部管芯的温度,并对其进行精确的温度控制。

图形处理芯片 (GPU) 是除了CPU之外,系统中的另一个重要的热源。由于液晶显示器分辨率的增高,图形处理芯片的数据处理量也大大增加,为了让图形处理芯片可靠工作,目前普遍使用的图形处理芯片,也和CPU一样,均内含提供远程温度检测的二极管,以便直接检测图形处理芯片内部管芯的温度,并对其进行温度控制。笔记本电脑中,其它可能需要进行温度检测及控制的组件还包括DDR内存、硬盘和光驱。温度检测的目地是让笔记本电脑的嵌入式微控制器能对笔记本电脑作适当的电源管理及热管理。精确可靠的温度检测在笔记本电脑的应用上具有下列优点: 一。 精确的温度检测能让系统发挥最高的效能:当组件实际温度并未到达系统降频的临界点时,因为温度传感器检测误差,可能使系统降频动作提早发生,这会使系统无法发挥最大的效能。 二。 精确的温度检测能降低系统噪音并延长计算机电池使用时间:如果温度传感器的检测温度高于系统实际温度,将造成风扇提早运转,或风扇转速比实际需求高,这将造成系统不必要的风扇噪音及功耗。 三。 精确的温度检测能提高系统稳定性,增加产品竞争力:如果温度传感器的检测温度低于系统实际温度,可能在系统实际温度已到达降频临界点时系统仍然保持较高的工作频率,从而造成系统瘫痪甚至损坏。此外,精确的温度检测允许系统使用最小的散热模块,如此可以降低散热模块成本,增加产品竞争力。 [b]笔记本电脑常用的温度传感器 [/b]热敏电阻和集成温度传感器是笔记本电脑常用的两种温度传感器,以下我们将探讨这两种温度传感器的工作原理及使用。 热敏电阻 热敏电阻按温度对电阻特性变化一般可分为正温度系数热敏电阻、负温度系数热敏电阻及临界温度系数热敏电阻。正温度系数热敏电阻及临界温度系数热敏电阻的电阻特性会在特定温度发生急剧变化,适合用于定温度检测或限制在较小的温度范围内。负温度系数热敏电阻主要为氧化锰、氧化钴、氧化镍、氧化铜和氧化铝等金属氧化物的复合烧结体,这些金属氧化物材料都具有半导体性质,当温度较低时,半导体内的电子-空穴对儿数目较少,因此电阻较高。当温度升高时,热敏电阻内的电子-空穴对儿数量增加,因此导电率增加,电阻值下降。图2为典型负温度系数热敏电阻特性曲线,电阻和温度之间的关系式如下:


R0、R 分别是环境温度为T0、T(K) 绝对温度时的电阻值。B是热敏电阻的常数,B常数通常介于2500K至5000K范围内。 图3为典型负温度系数热敏电阻的应用电路。利用笔记本电脑嵌入式微控制器的模数转换器 (ADC) 所读到的电压值推算出NTC的电阻值,因而推算出环境温度。利用负温度系数热敏电阻测量温度时误差很大,误差来源包括NTC本身的误差、提升电阻的误差、偏压电源 (VCC) 的误差、ADC的误差及测量噪声所造成的误差。从成本考虑,如果只考虑负温度系数热敏电阻本身的价格,这是一个廉价的解决方案。但若把偏压电路和额外的ADC成本一并考虑进去,成本可能增加。

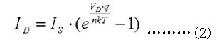
[b]集成温度传感器 [/b]集成温度传感器是目前笔记本电脑普遍采用的温度传感器,具有精确度高、响应速度快、体积小、功耗低、软件界面控制方便等优点。图4为典型集成温度传感器框图。温度检测的主要机制为集成温度传感器内部的电流源和ADC,集成温度传感器的工作原理是利用半导体PN结正向压降在不同的温度下具有不同导通压降的特性进行温度测量的。由半导体PN结伏-安特性曲线:


ID:二极管的正向电流,IS:二极管的反向饱和电流,VD:二极管的正向压降。 n:二极管的理想因素(一般约为1),k:波尔兹曼常数 (1.38%26;#215;10-23 joules/K)。 T:绝对温度K,q:一个电子的电荷
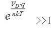
因为

因此我们可以将式 (2) 简化为

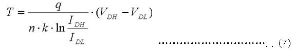
集成温度传感器内部的电流源会送出二个不同的电流,ADC在不同电流时读出不同的二极管正向压降。也就是当电流源送出高电流IDH时,ADC读数VDH。IDH和VDH的关系式为

当电流源送出低电流IDL时,ADC读数VDL。IDL和VDL的关系式为

将 (4) 式除以 (5) 式,可得到

将 (6) 式二边取对数并作整理,我们可以得到

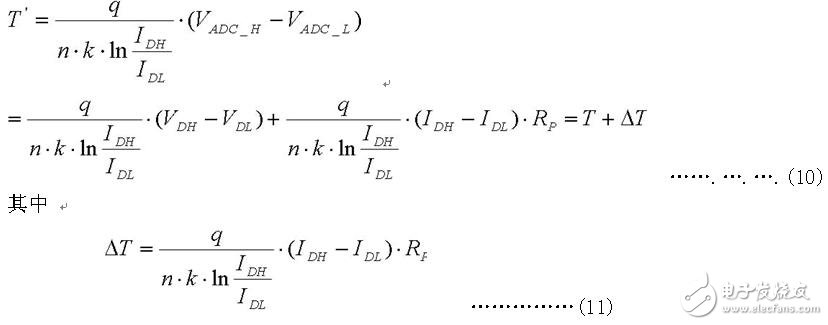
由于n、k和q为常数,而IDH和IDL由温度传感器内部产生,因此由VDH和VDL的变化量我们就可以测出温度。 [b] 远程二极管测量回路杂散电阻的影响 [/b]实际应用中,用于远程温度检测的二极管位于CPU或图形处理芯片内部,二极管内阻及印刷电路板的寄生电阻会影响远程温度测量的准确度。假设远程二极管测量回路的等效寄生电阻为RP,当电流源送出高电流IDH时,ADC实际读到的电压VADC_H为:

当电流源送出低电流IDL时,ADC实际读到的电压VADC_L为

将 (8) 式和 (9) 式代入 (7) 式,我们可得到

由 (11) 式所得到的结果,当 (IDH – IDL)%26;#8228;RP 愈大时,温度检测误差愈大。在此,我们以MAX6642为例,k、q、n由CPU内部温度检测二极管决定,n ≈ 1.0080,由MAX6642的规格书可知:IDH =100uA、IDL =10uA,将这些参数代入 (11) 式,可得:

IDH、IDL的单位为mA,RP的单位为欧姆。在这个例子中,1欧姆的杂散电阻将造成0.45oK的温度测量误差。若IDH =200uA,IDL =20uA,则1欧姆的杂散电阻将造成0.9oK的温度测量误差。RP的大小与远程检测二极管和印刷电路板的布线有关,印刷电路板布线必须尽可能降低印刷电路板铜箔所产生的寄生电阻。通常,远程二极管测量回路所造成的寄生电阻可能高达3至4欧姆。(IDH – IDL) 的大小则和集成温度传感器有关,不同的集成温度传感器具有不同的 (IDH – IDL) ,在集成温度传感器的选择上,选择小的 (IDH – IDL)有助于降低寄生电阻造成的温度测量误差。 此外,由前面的分析结果得知,1mV的电压变化大约等效为5oK的温度变化,因此,印刷电路板的布线对温度检测的准确度有很大影响。一般温度传感器IC的电源输入端均有一个RC低通滤波器,用以防止高频噪声的影响。在印刷电路板零件摆放时,RC滤波器应该尽量放在靠近温度传感器IC电源输入引脚的附近。另外,温度传感器IC应尽量放在靠近温度检测二极管的位置。对于差分(DXP、DXN) 连接远程温度二极管的布线一定要采用平行走线,同时这两条平行布线要彼此靠近,并尽量远离磁性组件、高压信号,避免高速信号的干扰。不当的印刷电路板布线可能导致30oK以上的温度检测误差。
应用实例

图5为笔记本电脑普遍使用的一种温度控制方案。温度传感器IC通过SMBus接口连接到笔记本电脑的嵌入式微控制器,由于温度传感器IC与嵌入式微控制器之间为数字接口,因此温度传感器IC在位置上可以远离嵌入式微控制器而不会有噪声干扰问题。MAX6649同时内置一个本地温度传感器和用于连接远端二极管的差分接口。MAX6649的IDH =100uA,IDL =10uA,高精度、小电流的电流源可减小因杂散电阻所产生的测量误差。差分输入有助于降低噪声干扰。图5所示电路,温度传感器IC只负责温度检测,风扇转速控制由嵌入式微控制器完成,由软件实现。为了避免软件控制的死机问题,MAX6649还集成了保护功能,当温度到达第一个高温临界点时,MAX6649 ALERT可发出中断请求,要求嵌入式微控制器进行相应的处理,例如对处理器进行降频;如果上述对策仍无法有效抑制温度的上升,当温度达到第二高温临界点时,MAX6649 OVERT可以用来控制系统的第二个风扇或对系统进行强制关机。图5具有低成本、高精度、使用弹性大等优点,但在软件的设计上需花费较多的功夫。
下一篇:解析移动电源的三大核心技术