时间:2023-10-12 10:29
人气:
作者:admin
1
振动频率
振动频率是指与晶体谐振器一起工作的振荡电路的实际频率。振动频率由晶体谐振器决定,并受MCU、外部负载电容、PCB杂散电容等的影响。
2
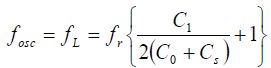
测量-计算
振动频率通过以下方程来计算:

其中:
3
测量-方法1

振荡电路: 使用计数器测量频率
注意:
4
测量-方法2

振荡电路: 通过光谱分析仪测量频率
注意:
5
注意事项
测量频率时,为了防止对探针等产生的影响,不要让任何物体接触振荡电路,这很重要。如果探针接触振荡电路联通探针电容,会使振荡频率偏移。