时间:2023-10-10 09:09
人气:
作者:admin
基于InAs/GaSb Ⅱ类超晶格(T2SL),科研人员成功实现了短波、中波、长波和甚长波的红外探测。但T2SL探测器通常要在低温下工作,需要制冷,这大大增加了整机尺寸、功耗和成本。为了降低探测器的暗电流,不同势垒能带结构的T2SL探测器被提出,如采用单极势垒、互补势垒、M结构势垒、双异质结构的探测器,以及带间级联结构红外探测器。
据麦姆斯咨询报道,近期,中国科学院半导体研究所半导体材料科学重点实验室和中国科学院大学材料与光电研究中心的科研团队在《光子学报》期刊上发表了以“基于Ⅱ类超晶格的中波红外带间级联探测器(特邀)”为主题的文章。该文章第一作者为薛婷,通讯作者为黄建亮和马文全。
基于带间级联结构在高温工作的优势,本文采用T2SL材料作为吸收区设计并制备了一个五级带间级联中波红外光电探测器,相比于其他带间级联探测器,该器件在达到相似探测率水平下截止波长更长。且在77~220 K温度范围的暗电流曲线中观察到了负微分电阻效应(NDR),对峰谷电流比随温度升高而降低的趋势进行了解释。
结构设计及生长
如图1所示,带间级联探测器采用多级级联结构,每级由吸收区、空穴势垒区和电子势垒区组成,吸收区多采用InAs/GaSb二类超晶格,空穴势垒区一般采用InAs/AlSb多量子阱,电子势垒区一般采用GaSb/AlSb多量子阱。吸收区位于空穴势垒区和电子势垒区之间,吸收光子能量产生电子,电子向电子势垒区的运输被高势垒阻挡,但可以在光学声子的辅助下弛豫到最低能级,再通过电子势垒区共振隧穿到下一吸收区的价带,完成带间级联输运过程。

图1 探测器的能带结构示意图
在带间级联结构中,空穴势垒区的能级E₁应与吸收区的电子基态能级E₀接近,电子势垒区的空穴能级HH₀₂应与吸收区的重空穴能级HH₀接近,相邻能级之间的弛豫和隧穿需要光学声子的辅助,所以空穴势垒区和电子势垒区的能级应设计为等差分布,相邻能级之间的能量差应为一个纵向光声子能量,约为30 meV。
基于以上原理,采用8 k·p模型对能带结构进行计算并对探测器中的级联结构能级进行设计,其中以InAs材料的价带顶为能量零点。为了实现中波红外探测,吸收区采用InAs(2.4 nm)/GaSb(3.6 nm)超晶格结构,厚度为0.5 μm,对应的电子基态E₀和重空穴基态HH₀分别约为0.72 eV和0.43 eV。该探测器利用了从HH₀到E₀的跃迁,因此吸收区的有效带隙为0.29 eV,对应的探测波长就是4.28 μm。为了光生载流子输运,空穴势垒区由AlSb(2.1 nm)/InAs(9.0 nm)/AlSb(2.2 nm)/InAs(8.1 nm)/AlSb(2.3 nm)/InAs(7.2 nm)/AlSb(2.4 nm)/InAs(6.3 nm)/AlSb(2.5 nm)/InAs(5.4 nm)/AlSb(2.4 nm)/InAs(4.5 nm)/AlSb(2.3 nm)/InAs(3.6 nm)/AlSb(2.2 nm)/InAs(2.9 nm)/AlSb(2.1 nm)组成,其对应的电子能级(E1、E2、E3、E4、E5、E6、E7、E8)的差约等于一个纵向光学声子的能量。电子势垒区由两个空穴量子阱组成,具体排列是AlSb(2.1 nm)/GaSb(5.3 nm)/AlSb(2.1 nm)/GaSb(7.5 nm)/AlSb(2.1 nm),计算得到相邻能级的能量差与纵向光学声子能量有轻微偏差,但基本符合设计。
P型接触层为0.5 μm厚的GaSb和100个周期的InAs(2.4 nm)/GaSb(36 nm)超晶格,掺杂浓度为2×10¹⁸ cm⁻³;级联结构区由5个周期的电子势垒区、吸收区和空穴势垒区组成;N型接触层由100个周期的InAs(2.4 nm)/GaSb(3.6 nm)超晶格和20 nm厚的InAs层组成,掺杂浓度为2×10¹⁸ cm⁻³。外延片样品采用分子束外延技术在n型GaSb(001)衬底上使用As源和Sb源生长,将生长的样品进行标准化光刻和蚀刻制备成方形台面结构。方形台面的尺寸为300 μm×300 μm。P型和N型欧姆接触电极都采用Ti/Au金属。
实验结果
暗电流测试
图2是从77 K到300 K温度范围内的变偏压器件暗电流密度曲线,当偏置电压是−20 mV时,在77 K、160 K和300 K时,暗电流密度分别为1.91×10⁻⁷ A/cm²、1.95×10⁻⁵ A/cm² 和4.3×10⁻² A/cm²。图2中低温特定正偏压范围内可以观察到负微分电阻效应,并且呈现了与温度相关的趋势。根据暗电流密度的数据,可以计算得到零偏动态电阻与面积的乘积R₀A。例如,在77 K、160 K和300 K时,R₀A分别为2.68×10⁴ Ω·cm²、1.02×10³ Ω·cm²和0.44 Ω·cm²。

图2 77 K到300 K的暗电流密度曲线
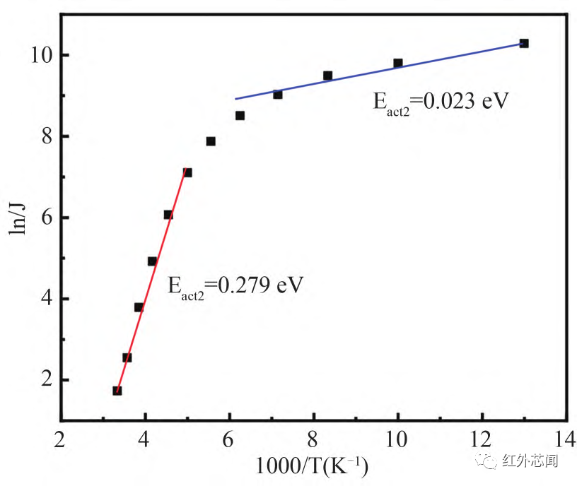
为了对暗电流机制进行分析,做出如图3所示的温度从77 K到300 K时的暗电流密度对1000/T(温度)的依赖关系,即Arrhenius曲线。从Arrhenius图可知,在180~300 K之间器件的激活能为279 meV。对于T2SL探测器来说,50%截止波长非常接近超晶格吸收区的有效带隙,即电子基态能级和重空穴基态能级之间的差。而从图4(a)可以得到在300 K时器件50%截止波长是4.88 μm,对应的有效带隙是254 meV。可见激活能非常接近有效带隙的值,这意味着在180到300 K温度范围内扩散暗电流占暗电流的主导地位。这是因为采用了带间级联结构,对于其他结构的T2SL探测器,在类似的温度范围内的暗电流通常以产生-复合暗电流为主。但在77 K到140 K左右的温度范围内,测量得到的激活能只有23 meV左右。该段的暗电流机制尚不清楚,其中一个猜测是测量得到的暗电流结果可能包括了暗电流和背景辐照导致的光电流。

图3 暗电流密度在77 K到300 K之间的Arrhenius图

图4 当偏置电压为0 V时,器件从77 K到300 K下的响应率和探测率D*
响应率与探测率光谱
实验中采用Bruker Vertex 70傅里叶红外光谱仪测试带间级联探测器的光谱,通过将黑体温度设置在800 K校准得到光响应谱。图4是77~300 K温度范围内零偏压时的响应率和探测率谱。在77 K时,50%截止波长为4.02 μm,器件的探测波长非常接近我们的设计,峰值响应波长为3.79 μm,对应的峰值响应率为0.52 A/W,探测率D*为1.26×10¹² cm·Hz1/2/W。在300 K时,器件的50%截止波长红移到了4.88 μm,峰值响应波长红移到了4.47 μm,对应的峰值响应率为0.20 A/W,探测率D*为1.28×10⁹ cm·Hz1/2/W。
负微分电阻效应分析
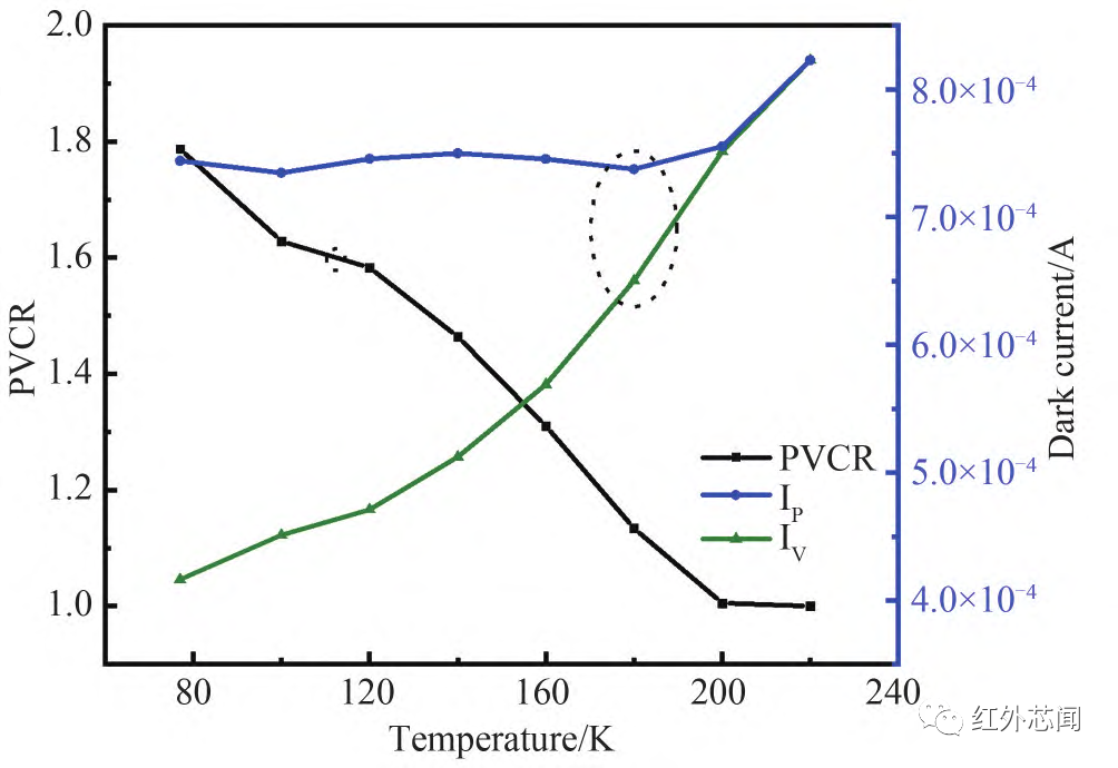
前节中提到,77 K到220 K温度范围内的暗电流中可以观察到负微分电阻效应(NDR)。在77 K时,当偏置电压约为1.12~1.13 V时,表现出NDR效应;在100 K时,出现NDR效应的偏置电压转移到了1.05~1.08 V;到200 K时,NDR效应的电压范围变为0.72~0.75 V;而当温度升到220 K时,峰值暗电流与谷值暗电流重合在0.66 V处。很明显,出现NDR效应的偏压随温度变化而变化,即器件中存在共振隧穿现象且隧穿条件随温度的变化而变化。
图5呈现了NDR效应的峰值暗电流(Ip)、谷值暗电流(IV)和峰谷电流比(PVCR)随温度的变化曲线,PVCR是共振隧穿条件满足程度的指标。在77 K时,Ip约为7.44×10⁻⁴ A,IV为4.16×10⁻⁴ A,PVCR计算得1.79。在160 K时,Ip约为7.45×10⁻⁴ A,IV是5.69×10⁻⁴ A,PVCR变成1.31。在220 K时,Ip几乎等于IV,约为8.23×10⁻⁴ A,此时PVCR变为1,观察不到NDR效应。从图5中可以看出,随着温度的升高,Ip基本不变,IV变大,PVCR值降低。

图5 77 K到220 K下的峰值暗电流(Ip)、谷值暗电流(Iv)以及峰谷电流比(PVCR)
在本实验中,器件的隧穿机制共有两种。一种是共振隧穿机制,另一种是通过电子势垒区的隧穿机制。波谷处的暗电流IV主要是通过带间级联结构中势垒的隧穿暗电流。当温度升高时,N(E)和f(E)的乘积增大,而隧穿概率T(E,V)与能态成指数正比关系,即T(E,V)随温度升高指数升高,所以n(V)急速升高,因此谷点处的暗电流会随着温度的升高而增加。而在NDR峰值处的暗电流包含了两种机制的暗电流,由两种隧穿机制共同决定了暗电流的变化。根据负微分电阻效应的原理,此处共振隧穿电流达到最大,继续升高偏压则不再满足共振隧穿条件,暗电流随之减小。为了简化模型,通常将共振隧穿电流的隧穿概率T(E,V)视为一个常数。温度升高时,满足共振隧穿条件时的N(E)和f(E)的乘积减小,n(V)减小,导致共振隧穿暗电流的减小。在暗电流的结果中可以观察到IP基本不随温度变化,这可能是因为随着温度的升高共振隧穿暗电流的减小量与通过势垒的暗电流的增大量基本相等。相应地,在较高的温度下,基本不变的IP和升高的IV导致了PVCR的减小,最终使PVCR减小到1,不再观察到负微分电阻效应。
结论
本文设计并制备了一种采用T2SL材料的带间级联结构的中波红外光电探测器。在77 K时,50%截止波长是4.02 μm,0 V峰值探测率为1.26×10¹² cm·Hz1/2/W。在300 K时,峰值探测率达到1.28×10⁹ cm·Hz1/2/W,50%截止波长是4.88 μm,与其他采用带间级联结构制备的更短波长的探测器达到相同探测率水平。在180~300 K的温度范围内,器件的暗电流主要由扩散电流而不是产生复合电流主导。在77~220 K温度范围内的暗电流曲线中也观察到负微分电阻(NDR)效应。结果表明,具有带间级联结构的T2SL探测器可以进行高温工作,特别是在中波长范围内。
这项研究获得国家自然科学基金面上项目(No.61874103)的资助和支持。
审核编辑:刘清