时间:2023-09-16 08:34
人气:
作者:admin
近年来,人们在农产品物理特性评价技术的研究和开发方面做出了巨大努力。例如,作物的水分含量 (MC) 是定义正确储存过程的重要物理参数,应在收获和储存过程中进行监测。在不合适的条件下储存农作物可能会导致可怕的后果,包括火灾。因此,有必要在储存前和储存期间测量湿度水平。静态(即储存)和动态(即收获)条件下的湿度测量显然存在不同程度的难度。
在储存期间,水分测量可以通过取样并使用水分分析仪进行分析来进行,或者使用湿度测试仪进行不太准确的分析。由于必须执行测量的操作条件,收获期间的水分测量要困难得多。首先,获取信息的时间是有限的,并且取决于收割机。其次,许多有影响的变量,例如机械振动、电气和光学干扰以及一般的灰尘或污垢,都会严重影响测量。此外,为了不妨碍和/或减慢收割机的操作,水分测量应在农作物捆运动时进行,非接触式测量方法将是可取的。
迄今为止,有两种技术可以实现非接触式水分测量:微波衰减和近红外光谱 (NIRS)。第一种技术提供了比第二种技术更大的检查深度来检查样品的可能性,但是它对电磁环境和铁磁结构的存在非常敏感。
来自摩德纳·雷焦·艾米利亚大学的Luigi Rovati和Giovanni Gibertoni在2022年发表了一篇论文中评估了NIRS方法进行水分测量的可行性。作者设计了一种新型便携式半自动近红外光谱系统,该系统可用于收割机。并且对测量系统的性能进行了评估,其中介绍了校准、反射灵敏度、预热以及重复性测试。苜蓿草中的水分可以通过利用水在近红外光谱区域的吸收峰来评估,并且设计并实现了田间作物水分测量原型。
系统描述
左上角橙色区域为光学部件外壳,右侧蓝色区域为电子部件外壳。里面包含卤素灯光源,insion近红外光谱仪,光学快门,蓝宝石漫反射窗口和控制单片机,散热风扇等。

图1.近红外光谱测量系统的组成和结构
01
系统框图
所开发的测量系统的框图功能图如图 2 所示。蓝宝石光学窗口放置在非常靠近采集加工线上的待测样品 (SUT) 表面的位置,可永久保护光学元件免受灰尘和外部环境污染。此外,可打开和关闭的翻板机构允许控制三个不同的测量阶段(暗背景测量,参考光谱测量和样品光谱测量)。微控制器单元用于收集和预处理光谱数据,最终将这些数据发送到 PC,在 PC 上,LabVIEW GUI 可以监视和控制采集过程。

图2.所开发的测量系统的框图功能图
1.1光源照明部分
该系统采用 20 W 卤素灯 DECOSTAR 51 ALU(OSRAM)。该装置除了保证低成本外,还具有足够长的平均寿命,即4000小时。选择卤素灯和光学窗口之间的距离,以保证样品表面上的最大辐照度和足够的照明均匀度。
1.2 光谱仪部分
为了检测漫反射光谱,该仪器采用德国INSION公司的微型近红外光谱仪 NIR1.7,其测量范围为 900 nm~ 1700 nm,像素分辨率为 8 nm(光学分辨率16nm)。该光谱仪基于InGaAs阵列探测器(128像元)和预集成读出电子器件,在精度、灵敏度和信噪比 (SNR) 方面提供高性能。光谱仪的所有参数都可以由用户设置和优化,以满足不同应用的具体要求。NIR1.7 OEM模块包括基于16位分辨率的模数转换器的读出电子器件 (BIM-NIRP)。光谱分析通过空腔波导设计进行,无任何移动部件,出厂后无需再校准。如图 3 所示,光通过光纤耦合到光谱仪,直至光谱仪入口狭缝。

图3.Insion近红外光谱仪 NIR1.7SOEM光谱仪模块
系统性能
系统组装完成后,各功能模块的功能和作用对整个系统进行了验证。之后,对该系统进行了仔细校准,并在以下方面进行了表征:(i)预热,(ii)线性,(iii)可重复性。通过将测量的反射率与经认证的反射率标准目标进行比较来执行校准和表征程序。在预热期间,系统测得的平均反射率下降,近似呈指数衰减(R2 = 0.9876)。观察到的平均反射率降低约为 1.4%,衰减常数为 13.6 S。瞬态结束时,测量误差为 0.6%。以测量值相对于参考值的均方根偏差计算的积分线性误差为 0.93%。重复性验证如下图:

图4, 重复性测试在 13 小时的时间内进行。* 蓝色标记代表 S050 反射率测量。红色点划线是平均反射率值,浅绿色区域对应于整个集合的标准差界定的区域。
测量结果显示平均值为 49.76%,样本标准偏差为 0.71%。
现场结果
对采集的数据进行预处理后,确定了待测样品水分预测的光谱带 BOI。通过分析参考变量(即待测样品水分和密度 ρ)与预测变量(即 LASUT(λ) 的一阶导数)之间的系数来选择相关波长。图5显示了获得的水分和ρ系数相关性作为辐射波长的函数。

图5,参考变量(即待测样本水分和ρ)与预测变量(即LASUT(λ)的一阶导数)之间的相关系数。虚线与测样本水分有关,橙色虚线与待测样品ρ有关。浅蓝色区域定义了感兴趣的光谱带(BOI),其中LASUT的一阶导数(λ)与SUT MC的相关性最大,与待测样品ρ的相关性最小。
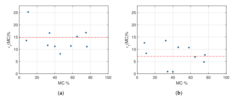
图 6 显示了从校准中获得的 PLS 响应变量作为水分参考值的函数,而从验证数据集获得的结果如图 10 所示。为了完整起见,每个图都显示了 PLS 响应变量,即水分的对数变换(ln(MC(%)) (a),以及线性标度中水分的相应值 (b)。表 1 报告了开发的 PLS 模型的统计数据,而图 8 显示了水分的均方根相对误差估计 Er (MC)%。
尽管我们对少量样本进行了分析,但结果令人鼓舞,表明该仪器如何能够以 7.1% 的平均相对误差估计作物的水分。开发的PLS模型利用了 NIRS 吸收光谱的对数变换,该相对误差在拟合范围内保持相当恒定。

图6,校准 PLS 响应变量作为参考值的函数 (a)。校准数据集的预测水分含量与参考水分含量 (b)。

图7,参考值函数的 PLS 响应变量的验证 (a)。验证数据集的预测水分含量与参考水分含量 (b)。

图8,水分估计的均方根相对误差。(a) 为校准数据集获得的结果,(b) 为验证数据集获得的结果。红色虚点线是单次测量的平均值:(a) 中的 C_MEAN_ERR 和 V_MEAN_ERR。
表1 PLS模型的统计结果。C-RMSE和C-R2是指校准数据集的均方根误差和R平方值;V-RMSE 和 V-R2请参阅验证数据集的等效项。C_MEAN_ERR 和 V_MEAN_ERR 分别是校准和验证数据集的平均相对误差。

结论
用于田间作物水分测量的 NIRS 测量系统已经开发出来,并对新鲜收获的苜蓿样品进行了初步测试。该系统的设计和实现非常谨慎,必须能够在作物收获阶段在田间运行。
未来的实验阶段应包括将仪器直接组装在收割机上。这将使我们能够直接对农作物捆进行水分测量。
应用
Insion光谱仪以其优秀的抗振性和稳定性等特点,已经在多种农业机械中有应用,比较典型的是青贮收割和饲料搬运铲车等,不但可以有效的检测农作物,农产品,饲料的水分信息,还可以同步检测纤维,淀粉,粗蛋白等含量给到机械作业工人,机械作业工人会根据即时检测的信息判断收割,搬运农产品/农作物的品质信息,实现精细化,智能化的管控。