时间:2023-08-24 08:37
人气:
作者:admin
薄层电阻在太阳能电池中起着非常重要的作用,它影响着太阳能电池的效率和性能。四探针法能够测量太阳能电池的薄层电阻,从而精确地获取电池片的电阻数据。「美能光伏」拥有的美能扫描四探针电阻测试仪,凭借其超宽的测量范围、超高的测量精度,以及多种测量方案等优点,致力于在测量和检验方面保证产品质量。本期「美能光伏」给您介绍测量薄层电阻的四探针法!
四探针法测电阻率原理
四探针又称开尔文探针法、四端法,广泛应用于表征金属、半导体等低电阻率材料的方阻、电阻率、电导率等参数。四探针法通常需要将四根探针沿一条直线等间距排列,外侧两根探针(1、4)传输电流,内侧两根探针测量电压。

四点探针示意图
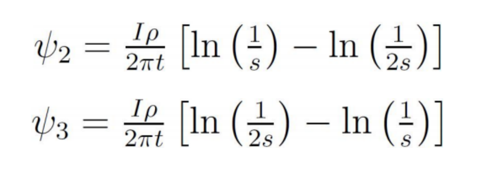
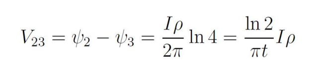
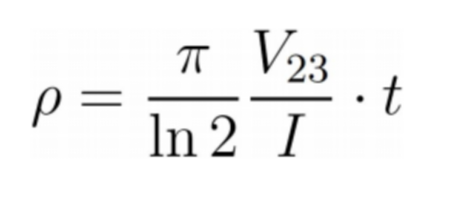
薄层材料的等势面分布并非半球形,而是呈圆柱形分布,可以理解为半无界样品的表面切掉一个厚度为t的薄层。对于直线型四探针测量,如果间距相等,则将间距记为S,得到:

所以,

在实际测量过程中,2和3探针之间读出的数值即为被测样品的电阻率。薄层材料的电阻率可表示为:

四探针法在太阳能电池中的应用
四探针法常用于测量电池片的电阻率与方阻的绝对值,这是由于四探针法消除了探针和样品之间的接触电阻。电阻率、方阻这些参数可以用来表征太阳能电池的导电性能和载流子迁移率等。例如:对于晶硅太阳能电池,通过四探针法可以测量其电阻率、少子寿命、载流子迁移率等参数,从而评估其质量和性能。
大部分四探针法选择将电极材料的浆料涂覆薄层或适当厚度于绝缘基底上,而非铝箔等集流体材料。这种在绝缘基底上的图层是为了避免基底方向的支流,从而精准测试电极材料的电导。如果以基底为集流体材料,即便通过调节探针距离等方法避免支路电流,所得到的结果仍只能描述涂层的电阻,因为电流转移的方向和图层平行,忽略了基底和涂层的界面电阻,而不是电极片的真实情况。这是我们用四探针法进行测量时,需要注意的地方。
美能扫描四探针电阻测试仪
FPP230A

「美能扫描四探针电阻测试仪」是专为科学研究设计的,可以对最大230mm的样品进行快速、自动的扫描,获得样品不同位置的方阻/电阻率分布信息,动态测试重复性(接近真实场景)可达0.2%,为行业领先水平。1μΩ~100MΩ的超宽测量范围可涵盖大部分应用场景,可广泛适用于光伏、半导体、合金、陶瓷等诸多领域。
四探针法是测量薄层电阻的一种重要方法,通过四探针测量法可以精准地测量太阳能电池的电阻率,从而表征太阳能电池性能的好坏。美能扫描四探针电阻测试仪可通过对太阳能电池不同位置的测量获得其方阻/电阻率的分布信息。未来,「美能光伏」将用先进、高效的检测方案,助力光伏企业用户高效发展,并提供更好的测量体验!