时间:2023-08-30 14:23
人气:
作者:admin
粉葛是一种药食两用的植物,含葛根素、淀粉、纤维素、维生素等,具有极高的药用和食用价值。相关研究表明粉葛中化学成分的含量与其生长年限密切相关。然而粉葛在市场流通中存在不满足规定生长年限的非标准品,肉眼难以区分,严重影响临床疗效。目前对粉葛年限鉴别主要依靠传统的理化技术,其操作周期长,破坏样品的完整性,无法快速批量检测。此类操作实验周期长、成本高、并破坏药材的完整性,在一定程度上受技术人员主观性影响。因此,如何快速、无损、精准的鉴别不同生长年限的粉葛具有重要意义。高光谱成像技术的发展为粉葛年限的快速、无损鉴定提供了新思路。
光谱分辨率决定因素分析
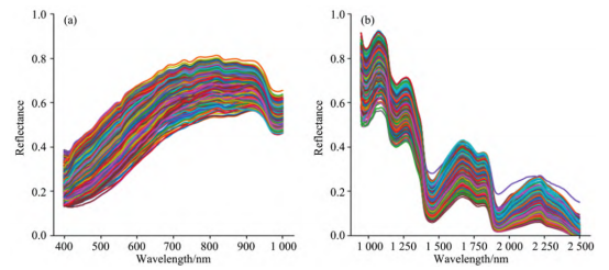
经过对高光谱数据进行校正后,按照对不同年限的粉葛进行采样,得到样本的光谱曲线如图1(a,b)。

图1粉葛样本的原始光谱曲线图
(a):VNIR透镜下;(b):SWIR透镜下
示,图1(a)和(b)分别为VNIR(410.45~990.10nm)透镜和SWIR(948.72-~2512.97nm)透镜下光谱曲线,其中每一条曲线代表一个样本。从图1中可知不同年限粉葛的光谱反射率趋势大致相同,但难以对其区分。为了清晰地比较不同年限粉葛之间的区别,分别对三种不同年限的样本求平均,得到的光谱曲线如图2所示,其中(a)和(b)分别为VNIR和SWIR透镜下的结果,每条代表一个年限的平均光谱曲线。从图2中能直观的看出不同年限的粉葛平均光谱反射率在VNIR和SWIR两个镜头下均存在差别,其中三年生粉葛高于一年生和二年生,说明不同年限粉葛的光谱特征存在差异,基于高光谱成像技术对其年限鉴别是一种可行手段。
2、数据处理
标准正态变换预处理。本研究采用标准正态变换(standardnormalvariate,SNV)为预处理方法,经过SNV预处理后的光谱曲线如图3所示,(a)和(b)分别为VNIR和SWIR两个镜头下的结果。经SNV处理后,能有效消除光谱散射和漫反射的影响,减少各种干扰信息。

图2不同年限粉葛样本的ROI平均光谱曲线
(a):VNIR透镜下;(b):SWIR透镜下

图3SNV预处理后的粉葛样本光谱曲线图
(a):VNIR透镜下;(b):SWIR透镜
3、结论
将高光谱成像技术和主成分分析法结合,建立四种机器学习模型,能够准确的鉴别一年生、二年生、三年生的粉葛。实验结果表明高光谱成像技术结合机器学习算法可以实现对不同生长周期粉葛的精准鉴别。未来将进一步研究如何优化模型,同时改进硬件设施,将获得稳定、准确的模型并植入便携式设备中,实现对不同年限粉葛快速无损的工业化检测,为粉葛的野生抚育和科学合理安排粉葛的种植年限提供理论依据与方法。
推荐:
便携式地物光谱仪iSpecField-NIR/WNIR
专门用于野外遥感测量、土壤环境、矿物地质勘探等领域的最新明星产品,由于其操作灵活、便携方便、光谱测试速度快、光谱数据准确是一款真正意义上便携式地物光谱仪。

无人机机载高光谱成像系统iSpecHyper-VM100
一款基于小型多旋翼无人机机载高光谱成像系统,该系统由高光谱成像相机、稳定云台、机载控制与数据采集模块、机载供电模块等部分组成。无人机机载高光谱成像系统通过独特的内置式或外部扫描和稳定控制,有效地解决了在微型无人机搭载推扫式高光谱照相机时,由于振动引起的图像质量较差的问题,并具备较高的光谱分辨率和良好的成像性能。

便携式高光谱成像系统iSpecHyper-VS1000
专门用于公安刑侦、物证鉴定、医学医疗、精准农业、矿物地质勘探等领域的最新产品,主要优势具有体积小、帧率高、高光谱分辨率高、高像质等性价比特点采用了透射光栅内推扫原理高光谱成像,系统集成高性能数据采集与分析处理系统,高速USB3.0接口传输,全靶面高成像质量光学设计,物镜接口为标准C-Mount,可根据用户需求更换物镜。

审核编辑 黄宇