时间:2023-08-30 16:58
人气:
作者:admin
众所周知,在电路设计中,确保芯片的可靠供电是至关重要的。在芯片的供电管脚处通常会引入去耦电容。按照经验丰富的前辈们多年来的建议,常常会推荐选择0.1uF的电容容量。
然而,在这个领域还存在着一些需要深入探讨的问题:
1.为何有必要引入去耦电容?
2.在选择去耦电容的容值时应该考虑哪些因素?
3.哪种类型的去耦电容更为适用?
为何需要去耦电容?在系统产品设计中,芯片作为核心,必须在复杂的电磁环境下保持稳定可靠的工作。以图示为例,我们在芯片的供电管脚和接地管脚之间并联一个去耦电容。通过充分利用电容的储能特性,这个去耦电容能够在芯片电源短时波动的情况下,提供相对稳定的电压,从而确保芯片供电的稳定性。这里需要注意,有时我们会将这个电容称之为“储能电容”,与常见的“去耦电容”相比,储能电容通常具备更大的容量。
当系统受到高频电磁干扰时,去耦电容的高频阻抗特性能够将干扰信号有效旁路,从而减小干扰信号进入芯片的影响,以起到保护芯片的作用。同样,在芯片内部存在高频信号时,去耦电容同样能够抑制芯片向外部发射干扰信号的效果。
旁路电容?去耦电容?

在电子领域中,我们常常会遇到两个名词:旁路电容(bypass capacitor)和去耦电容(decoupling capacitor)。从字面上理解,旁路电容的作用类似于低通滤波,将高频信号旁路至地。而去耦电容则意味着消除高频耦合信号。
通常,根据以上理解,我们将模拟芯片(如运算放大器、线性稳压器等)的电源引脚上的电容称为旁路电容,其作用是将外部的高频信号进行旁路处理。而对于一些数字芯片或者那些内部可能会产生高频信号的元件,我们则将其电源引脚上的电容称为去耦电容。
然而,实际情况中我们并不必过于拘泥于这些术语的区分。以模拟芯片为例,我们也可以称其电源引脚上的电容为前端系统的去耦电容,因为它实际上在去除该模拟芯片供电系统中的高频耦合信号方面发挥作用。
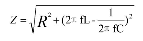
关于去耦电容的容值如何选择呢?在前文中,我们已经了解了去耦电容的主要作用。那么在选择去耦电容的容值时需要考虑哪些因素呢?下图展示了电容的常见等效模型,包括等效串联电阻(ESR)、等效串联电感(ESL)以及电容值。
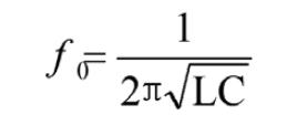
基于这些模型,电容的等效阻抗可以表示为Z = R + jwL - 1 / jwC。为了简洁表达,我们用R代表ESR,L代表ESL。基于这些,下方是绝对值部分的阻抗表达式,从中可以看出在谐振频率fo处阻抗最小。
由此可以看出,选择去耦电容的谐振频率尽量接近想要滤除的高频干扰信号的频率,这样可以达到最好的去耦效果。
理论上,随着频率的增加,电容的阻抗应该呈单调下降趋势。然而,由于等效串联电阻(ESR)的存在,阻抗曲线会变得平坦。当频率不断升高时,电容的等效串联电感(ESL)导致阻抗开始上升。




电容的底部位置和宽度会随着其结构、电介质以及等效元件值的不同而变化。因此,我们常常会看到将较大容值的电容与较小容值的电容并联使用。较小容值的电容通常具有较低的等效串联电感(ESL),因此在较高频率下,其阻抗与较高容值的电容类似。这种组合可以在更宽的频率范围内拓展并联电容的总体性能。
另外,通过上述图示,我们可以看出相同容值的电容将呈现大致相似的阻抗曲线形状。虽然实际的曲线图会有所不同,但总体形状相似。最小阻抗取决于ESR,而高频区域的阻抗受到ESL的影响(ESL在很大程度上受到封装样式的影响)。
接下来,我们将重点关注TDK官网提供的0.1uF、1uF和10nF电容的阻抗特征曲线。从这些曲线中可以明显观察到,0.1uF电容对应着20MHz的谐振频率,1uF电容对应着5MHz的谐振频率,而10nF电容则对应着60MHz的谐振频率。
TDK电容(0.1uF)特征曲线
TDK电容(1uF)特征曲线
TDK电容(10nF)特征曲线



在实际的工程应用中,明确需要去耦的高频信号频率往往并不容易。然而,我们可以确定一个广泛的频率区间,然后致力于选择去耦电容的谐振频率,使其处于我们欲削弱高频信号的范围之内。
对于绝大多数从事硬件工程的工程师,如运算放大器、LDO、DC-DC、ADC、DAC等模拟器件,无论是芯片内部的高频信号还是芯片供电管脚的前端系统潜在的高频信号,其频率通常集中在10MHz至40MHz之间。在这种情况下,选择具备20MHz谐振频率的0.1uF电容,作为去耦电容,相对而言可以实现更好的去耦效果。
当然,上述只是一个大致的频率范围,实际情况因系统的多样性和芯片的差异性而千差万别。作为模拟工程师,根据具体的应用场景来选择最为合适的去耦电容是至关重要的。
那么,应该选择哪种类型的去耦电容呢?
首先,电解电容不被推荐用于去耦应用,因为其具有极性,无法承受超过一伏的反向偏置电压而不受损害。
多层陶瓷(MLCC)表面贴装电容以其低电感设计在RF旁路方面能够提供近乎最佳的性能,因此在10 MHz甚至更高频率的旁路和滤波应用中变得越发常见。而小型陶瓷芯片电容的工作频率范围甚至可达1 GHz。对于这些以及其他高频应用,我们可以通过选择自谐振频率高于目标频率的电容,来确保其在实际应用中表现出良好的性能。
薄膜型电容则常常采用绕线结构,从而引入了电感,因此并不适用于电源去耦的应用。这类电容在音频领域更加常见,特别是需要极低电容和电压系数的场景。