时间:2022-11-28 15:15
人气:
作者:admin
实验名称:高压放大器基于绝缘电阻的表面电痕腐蚀程度分析中的应用
实验目的:
根据电痕试验标准对乙丙橡胶的耐电痕性能进行评估,提取电痕化故障特征量,研究电痕故障诊断方法,对乙丙橡胶的表面电痕状态进行评估。
实验设备:不同程度的电痕化处理的乙丙橡胶,ATA-7020高压放大器,三电极系统,干燥箱
实验内容:
在电痕试验的基础上,在试验结束后,对各个乙丙橡胶试样的绝缘性能进行了测量,基于体电阻、极化-去极化电流和回复电压对其绝缘电阻进行了分析。首先,在干燥箱中测量了各个试样在不同测量电压和测量温度下的体积电阻、极化-去极化电流和回复电压;其次,详细分析不同故障程度对体积电阻、极化-去极化电流和回复电压的影响;最后,比较了不同测量方法下的绝缘电阻,验证方法的可靠性。
实验过程:
(1)乙丙橡胶的极化-去极化电流;
下图为极化-去极化电流的测量电路图。在去极化过程中,流过乙丙橡胶绝缘的电流为容性,且此容性电流的数量级为pA级,所以想要准确测量去极化电流,对测量设备具有较高的要求。在测量系统中,选择KEITHLEY-6517B作为电流表,测量中选择ATA-7020高压放大器为高压直流电源。此直流源具有低噪声的优点,可以保证测量数据的可靠性。测量中选择的电极为三电极结构,其中高压端和测量端用于极化-去极化电流的测量,上位机通过串口将6517B实时采集到的数据传输到上位机中保存。

(2)乙丙橡胶的回复电压。
回复电压法是以介质响应理论为基础进行的研究,是时域范围内表征电介质极化的一种方式。回复电压在测量过程中,不易受到外界电磁干扰的影响,测量结果比较稳定且易于观察。

回复电压的测量电路如图所示。测量选用的直流电压源为ATA-7020高压放大器,测量时选择的电压值为400V,KEITHLEY-6517B电压测量单元的电压测量范围完全满足测量要求。测量结束后,上位机通过串口将6517B实时采集到的数据传输到上位机中保存。
实验结果:
(1)电痕尺寸的影响
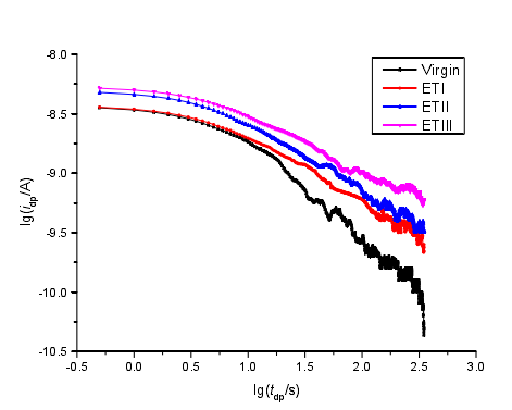
在放电初始阶段,随着电痕腐蚀程度的加深,初始电流和去极化过程中的放电速度均逐渐增大,且电痕腐蚀程度越严重,去极化电流衰减稳定时刻的电流值就越大。由试验结果可知,
各个试样的去极化电流曲线存在明显的差异。去极化电流的衰减在整个去极化过程中存在一个凹点。


不同电痕发展阶段的去极化电流 对数坐标系下不同电痕发展阶段的去极化电流
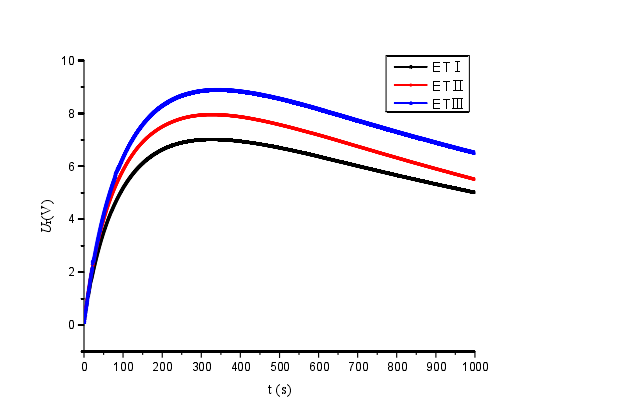
(2)随着电痕腐蚀及绝缘污秽程度的增加,乙丙橡胶的体电阻逐渐减小,极化-去极化电流和回复电压逐渐增大。即绝缘电阻、极化-去极化电流和回复电压的大小和变化可以反映绝缘故障情况。


不同电痕腐蚀程度下的回复电压 不同碳粉污秽程度下的回复电压