时间:2023-08-17 11:59
人气:
作者:admin
引言
长江口盐沼群落的区域或景观生态研究需要拥有大尺度上而且准确的数据源 。高空间分辨率和高光谱分辨率的遥感数据不仅可以在空间分辨率上满足研究需要,而且在光谱信息上可以对群落的生物物理化学性状作出响应 。长江口的盐沼植被群落之间的光谱特征差异 ,尤其是植物特征相似的本土芦苇群落与外来的互花米草群落 、海三棱蕉草或者蕉草群落与糙叶苔草群落之间的光谱差异能作出准确识别,则可以推动长江口盐沼植被群落在较大尺度上的生态研究,能够准确监测外来物种互花米草与本土植被之间的时空动态分布变化。
研究概况
研究选择长江口崇明东滩候鸟自然保护区为研究区域,研究对象为长江口的主要五种群落 : 芦苇 、互花米草 、 海三棱蔗草 、蔗草和 糙叶苔草 。运用便携式地物光谱仪测定了436个群落样方,除采集群落冠层光谱数据外,还测定了样方的生态与环境因子 : 样方物种组成 、群落盖度 、高度 、叶面积指数 、枯枝落叶盖度 、GPS定位 、样方高程 、样方土壤的含水量 、pH值 、电导率等 。选取部分时相的数据建立了长江口盐沼植被群落以盖度为梯度的光谱库,同时配套其生态与环境因子属性特征 。在分析了光谱库中群落之间光谱特征的基本差异后,选择了夏季的数据进行了植被群落光谱特征 的间接排序,选择了春夏秋三个季节的数据结合群落物候期特征进行了多时相的光谱特征差异分析。
盐沼植被的多季相光谱特征分析
3.1 同一季度不同群落间的反射光谱曲线特征比较
图1包括了初夏秋三个季相的盐沼植被物候特征 。图2显示了同一季节不同盐沼群落反射光谱特征比较的结果 。春季的芦苇和互花米草相比较,芦苇开始生长较早, 盖度相对较大 ( 图1- a ) 。图2一 a 是 4 月下旬 (春季 ) 芦苇群落 、互花米草群落 、海三棱蕉草群落和糙叶苔草群落反射光谱曲线 图 。在近红外波段芦苇群落的反射率最高,其次为互花米草群落,二者之间相差约10 % 左右 。海三棱蔗草群落和糙叶苔草群落的反射率在可见光波段相差不大,而到近红外波段时则几乎相同 。这四类群落一阶导数曲线 ( 图2一 b ) 表明,芦苇群落在波长550nm左右的“ 绿峰 ”明显,而其他群落一阶导数 曲线在此波长上均没有凸起特征 。芦苇群落和互花米草群落的“ 红边 ”特征明显,芦苇群落光谱曲线在波长 7720nm左右的斜率峰值高达0.637,互花米草群落的为0.41,而糙叶苔草群落和海三棱蕉草群落的斜率峰值分别为0.116和0.106 。
图2一 c显示了这四类群落6 月 (夏季 ) 的反射光谱曲线 图,在近红外波段,互花米草群落的反射率最高,一般都在 4 0 % 以上, 芦 苇群落的反射率约在35% 左右,但是二者的群落景观特征差异很小,几乎难以区别 ( 图 1一 b ) 。而糙叶苔草群落与海三棱蕉草群落的反射率基本相同 ,大约在1 6 %左右 。与图 1一 a和图1一 b 相 比 ,生长旺季时都出现了在波长550nm左右的“ 绿峰 ”, 而且各群落之间的斜率峰值几乎重叠出现 ( 图1一 d ) 。同时,这四类群落的“ 绿峰 ” 都很明显 , 但群落类型之 间的差异也很明显,互花米草群落和芦苇群落的斜率峰值明显高于海三棱蕉草群落和糙叶苔草群落,尤其在波长740nm左右处,互花米草群落和芦苇群落的斜率峰值分别达到0 . 9 17 和 0 . 6 5 0 ,而糙叶苔草群落和海三棱蕉草群落的斜率峰值分别是0.288和0.196 。

图 1 崇明东滩盐沼群落季相。a-一春季的芦(处,)和花米(近处,稀)b一夏季的芦和互花米草(难以辨别); C一秋的(绿色)和花(金黄色)d一秋季的芦(远处,绿色)、叶(中部,绿色)海三(近处,金黄色)

图2 同一季节不同盐沼群落光谱曲线及其一阶导数曲线特征对比
图2一 e 显示了这四类群落10月 (秋季 ) 的反射光谱 曲线图 ,其明显特征是芦苇群落 、互花米草群落 、糙 叶苔草群落和海三棱蔗草群落在近红外波段的反射率曲线从大到小依次排列,互不重叠,而且在群落的物候特征上 也有明显的区别,芦苇仍然表现为绿色的景观特征,与其镶嵌分布的互花米草已经表现为金黄色的成熟期特征 ( 图 1一 c) 海三棱蔗草已经枯萎,显示为枯黄色,而与其镶嵌分布的糙叶苔草群落仍然 是绿色景观特征 ( 图1一 d ) 。图2一 f 显示,由于海三棱蕉草此时在野外已枯萎, 因此在波长550nm左右的“ 绿峰 ”己不明显 。在波长 7 2 0 n m 左右处,芦苇群落和互花米草群落的 “ 红边 ” 特征在一阶导数曲线图上基本相同,其斜率峰值分别为 0 . 5 3 9 和 0. 4 9 8 (7 3 0 n m ) 糙叶苔草群落和海三棱蔗草群落 的斜率峰值分别为 0.376和0.155。
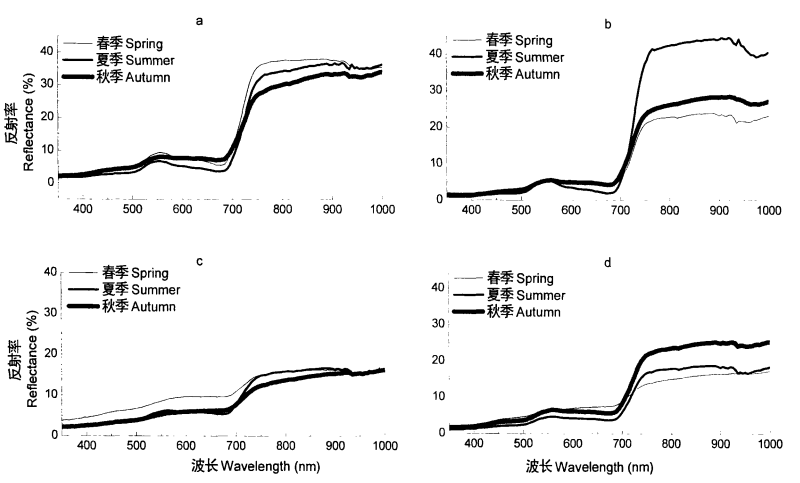
3.2 同一群落不同季节的反射光谱特征比较
图3和图4分别显示了崇明东滩盐沼群落在春、夏、秋三个季相的反射光谱曲线及其一阶导数曲线。通过比较和分析可以发现,芦苇群落的斜率峰值出现在波长720~730nm 之间,秋季的“红边”斜率峰值最低,春夏两季基本相似没有很大的变化。在 850~1000 nm 的波段内,春夏两季的反射率变化很小,而在秋季其反射率约下降2%~5%(图3-a 和图4-a)。互花米草群落的反射光谱曲线在季相上变化幅度很大,在近红外波段的高峰区,春季的反射率范围为 20.9%~24.0%,夏季的反射率范围为40.0%~44.8%,二者相差约 20%左右,秋季的反射率范围为 23.3%~28.4%,略高与春季(图5-3b)。不同季节的“红边”斜率峰值位置没有发生变化,其斜率峰值分别为 0.3890.917 和0.498,各季节斜率峰值的差异很大,夏季分别高出春季和秋季 0.5 和0.4以上(图4-b)。

图3 崇明东滩群落不同季相反射光谱特征的比较

图 4崇明东滩群落不同季相反射光谱-阶导数曲线的比较
海三棱蘑草群落在绿光波段 550 nm 处和红光波段650 nm 处的春季反射率比夏秋两季的要高约5%左右,而春、夏两季在近红外740~780nm 波段的反射率比秋季约高出2%左右(图3-c)相对于其他盐沼群落反射光谱的一阶导数曲线,各季节的“红边”斜率峰值都位于 700~710 nm 波段,并且峰值都不超过0.1(图3-c)。
糙叶苔草群落春季在可见光波段的反射率没有出现“绿峰”,夏、秋两季在波长560nm处出现“绿峰”,反射率分别为4.64%和6.47%,在近红外波段的高峰区,春、夏、秋三季的反射率范围分别为14.2%~17.2%、16.5%~18.7%和22.7%~25.3%,秋季的近红外波段反射率要比春、夏两季高约7%左右(图3-d)。“红边”斜率峰值随季节更替,峰值逐渐升高,秋季时斜率峰值在波长720 nm处达到最高,为0.38(图4-d)。
3.3 盐沼群落冠层反射光谱特征分析
植物的形态、生长发育阶段、体内水分含量、叶绿素含量和物候现象与它们的反射光谱特征密切相关。崇明东滩盐沼群落由于其种类组成不同,因而其冠层反射光谱特征表现出一定的差异性。春季时,芦苇群落开始生长的时间比其他盐沼群落早,因而在对叶绿素含量敏感的可见光波段 450 nm和670 nm 处,形成吸收低谷。利用具有该波段的传感器如小型机载成像光谱仪中的441~461 nm 和666~674 nm 两个波段,即可识别出芦苇群落。
在5月至9 月的夏季生长旺季,由于五花米草的净光合效率高于芦苇,互花米草群落的地上生物量随着季节呈直线上升,因而其反射光谱的“红边”特征比芦苇群落更加明显。以前的研究表明,崇明东滩盐沼群落的高度和盖度对近红外波段的光谱反射率影响最大,高度与盖度越大,其生物量越高,近红外波段的光谱反射率也就越高。在生长季节,互花米草群落和芦苇群落的高度与盖度一般都比海三棱燕草群落和糙叶苔草群落要高,因此芦苇群落和互花米草群落的“红边”斜率峰值与近红外波段反射率都明显高于海三棱草群落和糙叶苔草群落(图2-c和图2-d)。
互花米草群落的生物量在9月份达到最大,10月份则进入生后期,其光合作用效率大大降低,而且部分叶片或者植株开始枯黄,因此其群落冠层反射光谱的“红边”斜率峰值下降,坡降趋缓,然而在近红外波段的反射率仍比糙叶苔草群落和海三棱草群落高。芦苇群落在 10月份仍处于生长期其冠层仍呈深绿色,因而此时芦苇群落的“红边”斜率峰值和近红外波段的反射率高于互花米草群落。糙叶苔草群落在10月份仍处于生长期,然而由于在高度和盖度上低于芦苇群落和互花米草群落,因此糙叶苔草群落的“红边”斜率峰值仍然低于芦苇群落和互花米草群落。此时海三棱草群落生长期已基本结束,其群落冠层反射光谱的“红边”斜率峰值和近红外波段的反射率明显低于其他群落(图2-e 和图2-f)。
3.4 盐沼群落多季相光谱特征分析
在同一季节中,不同植物群落之间的反射光谱特征存在差异,而且同一类型的植物群落,不同季节的反射光谱特征也不相同。本项研究显示,芦苇群落在春季和夏季的反射光谱特征变化不大,而在秋季时由于芦苇花序的出现,其冠层光谱反射率在近红外波段 730~850 nm 范围内有所下降。瓦花米草群落反射光谱曲线在季节上的变化较大,随着群落盖度和高度以及生物量从春季到夏季的上升,近红外波段的反射率也相应升高。9 月份以后,随着互花米草生物量开始下降和花序的出现,其群落的光谱反射率在近红外波段大幅度下降。此时,糙叶苔草群落的光谱反射率在近红外波段相对于春夏两季大幅增加。海三棱蔗草群落由于春季时盖度较低,其可见光波段的光谱反射率相对较高,到夏秋季节,其可见光波段的反射率下降,而在近红外波段的反射率则由夏季到秋季逐渐下降。本项研究结果表明,崇明东滩这四类主要盐沼群落的冠层反射光谱在季相上具有各自的变化特征,同时,同一季节不同群落之间也存在一定的差异。
3.5 盐沼群落光谱特征识别与分类的适宜季相
我们以前对崇明东滩盐沼群落夏季的反射光谱排序结果显示,近红外波段可以识别高盖度的芦苇群落和互花米草群落,而可见光波段可以识别低盖度的海三棱蔗草群落和糙叶苔草群落,虽然TM 影像的可见光波段和近红外波段较宽,由于这四类主要盐沼群落的盖度和高度有较大差异,可以利用表示其亮度的像元值,应用监督分类法基本可以识别解译芦苇群落、互花米草群落、海三棱蕉草群落和糙叶苔草群落,其初步分类影像精度在 65%左右。说明单季相的感影像解译仍存在一定的“同谱异物”或“同物”。
现遥感技术已成为大尺度植被分类的重要手段,而地面植物群落特征及其反射光谱特征之间的关系是解译遥感影像的关键。本项盐沼群落多季相光谱反射特征研究可以提高利用遥感影像进行盐沼群落解译和分类的精度,解决“同谱异物”或“同物异谱”的现象。春季芦苇群落的“绿峰”特征可以作为其识别标识之一,还可以利用其“红边”斜率峰值和近红外波段的高反射率作为识别根据。夏季可以把芦苇群落和互花米草群落与海三棱蔗草群落和糙叶苔草群落识别为两类不同高度和盖度的植被。秋季的糙叶苔草群落和海三棱蔗草群落在“红边”斜率和近红外波段反射率上有明显的区别,而且芦苇群落与五花米草群落的反射光谱特征也有明显的区别,因此秋季 10 月份是进行长江口地区盐沼植被遥感解译与分类的适宜季相。
4、结论
本项研究应用便携式光谱分析仪测定了崇明东滩盐沼群落春、夏、秋三季的地面近距反射光谱,分析了同季相各群落和同类群落不同季相的反射光谱特征及其一阶导数,得出以下主要结论:
(1)各类盐沼群落在不同季节具有独特的反射光谱特征。在春夏秋各季节中,盐沼群落之间的光谱特征差异不同。
(2)盐沼群落各季相的反射光谱特征各不相同。同一群落类型在不同季节的光谱反射变化特征各异。
(3)长江口地区主要四类盐沼植被的遥感分类的最佳策略是采用多季相的组合形式,即利用群落与对应生长季的遥感影像结合进行解译和分类
长江口地区各类主要盐沼群落的多季相反射光谱具有其独特的特征,这些特征的相互组合为遥感影像判读和用于植被制图的影像分类提供了一定的基础,可以提高对盐沼群落解译和分类的精度。
推荐:
便携式地物光谱仪iSpecField-NIR/WNIR
专门用于野外遥感测量、土壤环境、矿物地质勘探等领域的最新明星产品,由于其操作灵活、便携方便、光谱测试速度快、光谱数据准确是一款真正意义上便携式地物光谱仪。

无人机机载高光谱成像系统iSpecHyper-VM100
一款基于小型多旋翼无人机机载高光谱成像系统,该系统由高光谱成像相机、稳定云台、机载控制与数据采集模块、机载供电模块等部分组成。无人机机载高光谱成像系统通过独特的内置式或外部扫描和稳定控制,有效地解决了在微型无人机搭载推扫式高光谱照相机时,由于振动引起的图像质量较差的问题,并具备较高的光谱分辨率和良好的成像性能。

便携式高光谱成像系统iSpecHyper-VS1000
专门用于公安刑侦、物证鉴定、医学医疗、精准农业、矿物地质勘探等领域的最新产品,主要优势具有体积小、帧率高、高光谱分辨率高、高像质等性价比特点采用了透射光栅内推扫原理高光谱成像,系统集成高性能数据采集与分析处理系统,高速USB3.0接口传输,全靶面高成像质量光学设计,物镜接口为标准C-Mount,可根据用户需求更换物镜。

审核编辑 黄宇