时间:2023-08-05 09:29
人气:
作者:admin
宇宙间的任何物体只要其温度超过零度就能产生红外辐射,事实上同可见光一样,其辐射能够进行折射和反射,这样便产生了红外技术,利用红外光探测器因其独有的优越性而得到广泛的重视,并在军事和民用领域得到了广泛的应用。军事上,红外探测用于制导、火控跟踪、警戒、目标侦查、武器热瞄准器、舰船导航等;在民用领域,广泛应用与工业设备监控、安全监视、救灾、遥感、交通管理以及医学诊断技术等。
在科技高度发达的今天,自动控制和自动检测在人们的日常生活和工业控制所占的比例也越来越重,使人们的生活越来越舒适,工业生产的效率越来越高。而传感器是自动控制中的重要组成部件,是信息采集系统的重要部件,通过传感器将感受或响应的被测量转换成适合输送或检测的信号(一般为电信号),再利用计算机或者电路设备对传感器输出的信号进行处理从而达到自动控制的功能,由于传感器的响应时间一般都比较短,所以可以通过计算机系统对工业生产进行实时控制。红外传感器是传感器中常见的一类,由于红外传感器是检测红外辐射的一类传感器,而自然界中任何物体只要其稳定高于绝对零度都将对外辐射红外能量,所以红外传感器称为非常实用的一类传感器,利用红外传感器可以设计出很多实用的传感器模块,如红外测温仪,红外成像仪,红外人体探测报警器,自动门控制系统等。
红外传感器定义
红外线传感器是用红外线的物理性质来进行测量的传感器。红外线又称红外光,它具有反射、折射、散射、干涉、吸收等性质。它是一种不可见光,其光谱位于可见光中红色以外,所以称红外线。
工程上把红外线占据在电磁波谱中的位置(波段)分为:近红外、中红外、远红外、极远红外四个波段。任何物质,只要它本身具有一定的温度(高于绝对零度),都能辐射红外线。
红外传感器的测量基础原理
首先了解一下红外光。红外光是太阳光谱的一部分,红外光的最大特点就是具有光热效应,辐射热量,它是光谱中最大光热效应区。红外光一种不可见光,与所有电磁波一样,具有反射、折射、散射、干涉、吸收等性质。红外光在真空中的传播速度为300000Km/s。红外光在介质中传播会产生衰减,在金属中传播衰减很大,但红外辐射能透过大部分半导体和一些塑料,大部分液体对红外辐射吸收非常大。

不同的气体对其吸收程度各不相同,大气层对不同波长的红外光存在不同的吸收带。研究分析表明,对于波长为1~5μm、 8~14μm区域的红外光具有比较大的“透明度”。即这些波长的红外光能较好地穿透大气层。自然界中任何物体,只要其温度在绝对零度之上,都能产生红外光辐射。红外光的光热效应对不同的物体是各不相同的,热能强度也不一样。例如,黑体(能全部吸收投射到其表面的红外辐射的物体)、镜体(能全部反射红外辐射的物体)、透明体(能全部穿透红外辐射的物体)和灰体(能部分反射或吸收红外辐射的物体)将产生不同的光热效应。
严格来讲,自然界并不存在黑体、镜体和透明体,而绝大部分物体都属于灰体。上述这些特性就是把红外光辐射技术用于卫星遥感遥测、红外跟踪等军事和科学研究项目的重要理论依据。
红外辐射的物理本质是热辐射。物体的温度越高,辐射出来的红外线越多,红外辐射的能量就越强。研究发现,太阳光谱各种单色光的热效应从紫色光到红色光是逐渐增大的,而且最大的热效应出现在红外辐射的频率范围内,因此人们又将红外辐射称为热辐射或热射线。
红外辐射的基本定律
基尔霍夫定律:在一定温度下,地物单位面积上的辐射通量W和吸收率之比,对于任何物体都是一个常数,并等于该温度下同面积黑体辐射通量W。在给定的温度下,物体的发射率=吸收率(同一波段);吸收率越大,发射率也越大。
地物的热辐射强度与温度的四次方成正比,所以,地物微小的温度差异就会引起红外辐射能量的明显变化。这种特征构成了红外遥感的理论基础。
玻耳兹曼定律:即黑体总辐射通量随温度的增加而迅速增加,它与温度的四次方成正比。因此,温度的微小变化,就会引起辐射通量密度很大的变化。是红外装置测定温度的理论基础。
维恩位移定律:随着温度的升高,辐射最大值对应的峰值波长向短波方向移动。
红外传感器的工作原理并不复杂,一个典型的传感器系统各部分的实体分别是:
1、待测目标:根据待测目标的红外辐射特性可进行红外系统的设定。
2、大气衰减:待测目标的红外辐射通过地球大气层时,由于气体分子和各种气体以及各种溶胶粒的散射和吸收,将使得红外源发出的红外辐射发生衰减。
3、光学接收器:它接收目标的部分红外辐射并传输给红外传感器。相当于雷达天线,常用是物镜。
4、辐射调制器:对来自待测目标的辐射调制成交变的辐射光,提供目标方位信息,并可滤除大面积的干扰信号。又称调制盘和斩波器,它具有多种结构。
5、红外探测器:这是红外系统的核心。它是利用红外辐射与物质相互作用所呈现出来的物理效应探测红外辐射的传感器,多数情况下是利用这种相互作用所呈现出来的电学效应。此类探测器可分为光子探测器和热敏感探测器两大类型。
6、探测器制冷器:由于某些探测器必须要在低温下工作,所以相应的系统必须有制冷设备。经过制冷,设备可以缩短响应时间,提高探测灵敏度。
7、信号处理系统:将探测的信号进行放大、滤波,并从这些信号中提取出信息。然后将此类信息转化成为所需要的格式,最后输送到控制设备或者显示器中。
8、显示设备:这是红外设备的终端设备。常用的显示器有示波器、显像管、红外感光材料、指示仪器和记录仪等。
依照上面的流程,红外系统就可以完成相应的物理量的测量。红外系统的核心是红外探测器,按照探测的机理的不同,可以分为热探测器和光子探测器两大类。
热探测器对入射的各种波长的辐射能量全部吸收,它是一种对红外光波无选择的红外传感器。光子探测器常用的光子效应有外光电效应、内光电效应(光生伏特效应、光电导效应)和光电磁效应。热探测器是利用辐射热效应,使探测元件接收到辐射能后引起温度升高,进而使探测器中依赖于温度的性能发生变化。检测其中某一性能的变化,便可探测出辐射。多数情况下是通过热电变化来探测辐射的。当元件接收辐射,引起非电量的物理变化时,可以通过适当的变换后测量相应的电量变化。
热敏探测器对红外辐射的响应时间比光电探测器的响应时间要长得多。前者的响应时间一般在ms以上,而后者只有ns量级。热探测器不需要冷却,光子探测器多数要冷却。
红外线传感器的分类
常见红外传感器可分为热传感器和光子传感器。
热传感器
热传感器是利用入射红外辐射引起传感器的温度变化,进而使有关物理参数发生相应的变化,通过测量有关物理参数的变化来确定红外传感器所吸收的红外辐射。
热探测器的主要优点是相应波段宽,可以在室温下工作,使用简单。但是,热传感器相应时间较长,灵敏度较低,一般用于低频调制的场合。
热传感器主要类型有:热敏传感器型,热电偶型,高莱气动型和热释放电型四种。
1、热敏电阻型传感器
热敏电阻是由锰、镍、钴的氧化物混合后烧解而成的,热敏电阻一般制成薄片状,当红外辐射照射在热敏电阻上,其温度升高,电阻值减少。测量热敏电阻值变化的大小,即可得知入射的红外辐射的强弱,从而可以判断产生红外辐射物体的温度。
2、热电偶型传感器
热电偶是由热电功率差别较大的两种材料构成。当红外辐射到这两种金属材料构成的闭合回路的接点上时,该接点温度升高。而另一个没有被红外辐射辐照的接点处于较低的温度,此时,在闭合回路中将产生温差电流。同时回路中产生温差电势,温差电势的大小,反映了接点吸收红外辐射的强弱。利用温差电势现象制成的红外传感器称为热电偶型红外传感器,因其时间常数较大,相应时间较长,动态特性较差,调制频率应限制在10HZ以下。
3、莱气动型传感器
高莱气动型传感器是利用气体吸收红外辐射后,温度升高,体积增大的特性,来反映红外辐射的强弱。它有一个气室,以一个小管道与一块柔性薄片相连。薄片的背向管道一面是反射镜。气室的前面附有吸收模,它是低热容量的薄膜。红外辐射通过窗口入射到吸收模上,吸收模将吸收的热能传给气体,使气体温度升高,气压增大,从而使柔镜移动。在室的另一边,一束可见光通过栅状光栏聚焦在柔镜上,经柔镜反射回来的栅状图像又经过栅状光栏投射到光电管上。当柔镜因压力变化而移动时,栅状图像与栅状光栏发生相对位移,使落到光电管上的光量发生改变,光电管的输出信号也发生变化,这个变化量就反映出入射红外辐射的强弱。这种传感器的特点是灵敏度高,性能稳定。但响应时间性长,结构复杂,强度较差,只适合于实验室内使用。
4、热释电型传感器
热释电型传感器是一种具有极化现象的热晶体或称“铁电体”。铁电体的极化强度(单位面积上的电荷)与温度有关。当红外线辐射照射到已经极化的铁电体薄片表面上时,引起薄片温度升高,使其极化强度降低,表面电荷减少,这相当于释放一部分电荷,所以叫做热释电型传感器。如果将负载电阻与铁电体薄片相连,则负载电阻上便产生一个电信号输出。输出信号的大小,取决于薄片温度变化的快慢,从而反映入射的红外辐射的强弱。由此可见,热释电型红外传感器的电压响应率正比于入射辐射变化的速率。当恒定的红外辐射照射在热释电传感器上时,传感器没有电信号输出。只有铁电体温度处于变化过程中,才有电信号输出。所以,必须对红外辐射进行调制(或称斩光),使恒定的辐射变成交变辐射,不断的引起传感器的温度变化,才能导致热释电产生,并输出交变的信号。
光子传感器
光子传感器是利用某些半导体材料在入射光的照射下,产生光子效应,使材料电学性质发生变化。通过测量电学性质的变化,可以知道红外辐射的强弱。利用光子效应所制成的红外传感器。统称光子传感器。光子传感器的主要特点灵敏度高,响应速度快,具有较高的响应频率。但其一般须在低温下工作,探测波段较窄。
按照光子传感器的工作原理,一般可分为内光电和外光电传感器两种,后者又分为光电导传感器、光生伏特传感器和光磁电传感器等三种。
1、外光电传感器
当光辐射在某些材料的表面上时,若入射光的光子能量足够大时,就能使材料的电子逸出表面,这种现象叫外光电效应或光电子发射效应。光电二极管、光电倍增管等便属于这种类型的电子传感器。它的响应速度比较快,一般只需几个毫微秒。但电子逸出需要较大的光子能量,只适宜于近红外辐射或可见光范围内使用。
2、光电导传感器
当红外辐射照射在某些半导体材料表面上时,半导体材料中有些电子和空穴可以从原来不导电的束缚状态变为能导电的自由状态,使半导体的导电率增加,这种现象叫光电导现象。利用光电导现象制成的传感器称为光导传感器,如硫化铅、硒化铅、锑化铟、碲隔汞等材料都可制光电导传感器。使用光电导传感器时,需要制冷和加一定的偏压,否则会使响应率降低,噪声大,响应波段窄,以致使红外线传感器损坏。
3、光生伏特传感器
当红外辐射照射在某些半导体材料的PN结上时,在结内电场的作用下,自由电子移向N区,如果PN结开路,则在PN结两端便产生一个附加电势,称为光生电动势。利用这个效应制成的传感器或PN结传感器。常用的材料为砷化铟、锑化铟、碲化汞、碲锡铅等几种。
4、光磁电传感器
当红外辐射照射在某些半导体材料表面上时,半导体材料中有些电子和空穴将向内部扩散,在扩散中若受强磁场的作用,电子与空穴则各偏向一方,因而产生开路电压,这种现象称为光磁电效应。利用此效应制成的红外传感器,叫做光磁电传感器。
光磁电传感器不需致冷,响应波段可达7μM左右,时间常数小,响应速度快,不用加偏压,内阻极低,噪声小,有良好的稳定性和可靠性。但其灵敏度低,低噪声前置放大器制作困难,因而影响了使用。
红外传感器结构及测量原理
红外辐射测温仪结构
它由光学系统、调制器、红外传感器、放大器和指示器等部分组成;
光学系统可以是透射式的、也可以是反射式的。透射式光学系统的部件是用红外光学材料制成的。


红外测温仪方框图:
高温(700℃以上)测量仪器,有用波段主要在0.76-3μm的近红外区,可选用一般光学玻璃或石英等材料。
中温(100-700℃)测量仪器,有用波段主要在3-5μm的中红外区,多采用氟化镁、氧化镁等热压光学材料。
测量低温(100℃以下)仪器,有用波段主要在5-14μm的中远红外波段,多采用锗、硅、热压硫化锌等材料。
调制器就是把红外辐射调制成交变辐射的装置。一般是用微电机带动一个齿轮盘或等距离孔盘,通过齿轮盘或带孔盘旋转,切割入射辐射而使投射到红外传感器上的辐射信号成交变的。因为系统对交变信号处理比较容易,并能取得较高的信噪比。
高莱气动型传感器结构
它有一个气室,以一个小管道与一块柔性薄片相连。薄片的背向管道一面是反射镜。气室的前面附有吸收膜,它是低热容量的薄膜。
在室的另一边,一束可见光通过栅状光阑聚焦在柔镜上,经柔镜反射回来的栅状图像又经过栅状光阑投射到光电管上。

高莱气动型传感器是利用气体吸收红外辐射后,温度升高,体积增大的特性,来反映红外辐射的强弱。
红外辐射通过窗口入射到吸收膜上,吸收膜将吸收的热能传给气体,使气体温度升高气压增大,从而使柔镜移动。
在室的另一边,一束可见光通过栅状光阑聚焦在柔镜上,经柔镜反射回来的栅状图像又经过栅状光阑投射到光电管上。
当柔镜因压力变化而移动时,栅状图像与栅状光栏发生相对位移,使落到光电管上的光量发生改变,光电管的输出信号也发生改变。这个变化量就反映出入射红外辐射的强弱。这种传感器的恃点是灵敏度高,性能稳定。但响应时间长,结构复杂、强度较差,只适合于实验室内使用。
红外传感器的性能参数
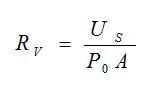
1、电压响应
当(经过调制的)红外辐射照射到传感器的敏感面上时,传感器的输出电压与输入红外辐射功率之比,叫做传感器的电压响应率,记作 RV。
式中:
US:红外传感器的输出电压
P0:投射到红外敏感元件单位面积上的功率
A:红外传感器敏感元件的面积
2、响应波长范围:

曲线1:热电传感器的电压响应率曲(与波长无关)。
曲线2:光子传感器的电压响应率曲线。
(1)响应波长范围(或称光谱响应)是表示传感器的电压响应率与入射的红外辐射波长之间的关系,一般用曲线表示(见上图)。
(2)一般将响应率最大值所对应的波长称为峰值波长。
(3)把响应率下降到响应值的一半所对应的波长称为截止波长,它表示着红外传感器使用的波长范围。
3、噪声等效功率
如果投射到红外传感器敏感元件上的辐射功率所产生的输出电压,正好等于传感器本身的噪声电压,则这个辐射功率就叫做“噪声等效功率”。通常用符号“NEP”表示。

其中:Us为红外探测器的输出电压;P0为投射到红外敏感元件单位面积上的功率;A0为红外敏感元面积;UN为红外探测器的综合噪声电压;RV为红外探测器的电压响应率。
4、探测率
探测率是噪声等效功率的倒数,即:

红外传感器的探测率越高,表明传感器所能探测到的最小辐射功率越小,传感器就越灵敏。
5、比探测率
比探测率又叫归一化探测率,或者叫探测灵敏度。实质上就是当传感器的敏感元件面积为单位面积,放大器的带宽△f为1Hz时,单位功率的辐射所获得的信号电压与噪声电压之比。通常用符号D*表示。
D* 的物理量纲:cmHz1/2W-1 (300 K)
6、时间常数
时间常数表示红外传感器的输出信号随红外辐射变化的速率。
输出信号滞后于红外辐射的时间,称为传感器的时间常数,在数值上为:
τ=1/2πfc
式中fc为响应率下降到最大值的0.707(3dB)时的调制频率。
热传感器的热惯性和RC参数较大,其时间常数大于光子传感器,一般为毫秒级或更长;而光子传感器的时间常数一般为微秒级。
红外传感器的应用及前景
红外传感器的应用主要体现在以下几个方面:
1、红外辐射计:用于辐射和光谱辐射测量。
2、搜索和跟踪系统:用于搜索和跟踪红外目标,确定其空间位置并对其运动进行跟踪。
3、热成像系统:能形成整个目标的红外辐射分布图像。
4、红外测距系统:实现物体间距离的测量。(利用的是红外线传播时的不扩散原理,因为红外线在穿越其它物质时折射率很小,所以长距离的测距仪都会考虑红外线)
5、通讯系统:红外线通信作为无线通信的一种方式。
6、混合系统:是指以上各类系统中的两个活多个组合。
红外传感器应用可以用于非接触式的温度测量,气体成分分析,无损探伤,热像检测,红外遥感以及军事目标的侦察、搜索、跟踪和通信等。红外传感器的应用前景随着现代科学技术的发展,将会更加广阔。在将来的发展中,主要在红外传感器的性能和灵敏度将会二较大的提高。
发展趋势主要有:
1、智能化:目前的红外传感器主要结合外围设备来使用,而智能传感器内置微处理器,能够实现传感器与控制单元的双向通信,具有小型化、数字通信、维护简单等优点,能够单独作为一个模块独立工作。
2、微型化:传感器微型化一个必然趋势。现在应用中,由于红外传感器的体积问题,导致其使用程度远不如热电隅来的好。所以红外传感器微型化便携与否对其发展前途的影响是不可忽略的。
3、高灵敏度及高性能:在医学上,人体体温测试方面,红外传感器因测量的快速性而得到了相当的应用,但局限于其准确度不高而没办法取代现有的体温测量方法。因此,红外传感器高灵敏度及高性是其未来发展的必然趋势。
虽然现阶段的红外传感器还有很多的不足,但红外传感器已经在现代化的生产实践中发挥着它的巨大作用,随着探测设备和其他部分的技术的提高,红外传感器能够拥有更多的性能和更好的灵敏度,也将有更广阔的应用范围。
编辑:黄飞
下一篇:SiC外延片测试需要哪些分析