时间:2023-07-21 17:24
人气:
作者:admin
外温传感器一般为负系数热敏电阻, 温度越低电阻越大,传感器部件的滤波策略需要硬件滤波、软件平滑滤波及虚接时异常降温滤波;车外温度传感器检测范围:(-40℃~86.5℃),采集精度:±1℃,车外温度传感器采集周期是10ms。
NTC负温度系数热敏电阻工作原理
NTC是Negative Temperature Coefficient 的缩写,意思是负的温度系数,泛指负温度系数很大的半导体材料或元器件,所谓NTC热敏电阻器就是负温度系数热敏电阻器。它是以锰、钴、镍和铜等金属氧化物为主要材料, 采用陶瓷工艺制造而成的。这些金属氧化物材料都具有半导体性质,因为在导电方式上完全类似锗、硅等半导体材料。温度低时,这些氧化物材料的载流子(电子和孔穴)数目少,所以其电阻值较高;随着温度的升高,载流子数目增加,所以电阻值降低。NTC热敏电阻器在室温下的变化范围在10Ω~1000000Ω,温度系数-2%~-6.5%。NTC热敏电阻器可广泛应用于温度测量、温度补偿、抑制浪涌电流等场合。。
电路原理图

依据外温传感器在整车接线方式可分为两种:外温传感器硬线接在空调控制器或空调面板和外温传感器接在FPBOX或其它设备,通过CAN网络将信号传递至空调控制器或者空调面板。

空调控制器硬线连接外温传感器,空调控制器负责外温传感器的信号采集,滤波,诊断,将滤波后的值通过CAN网络传输到其它部件。
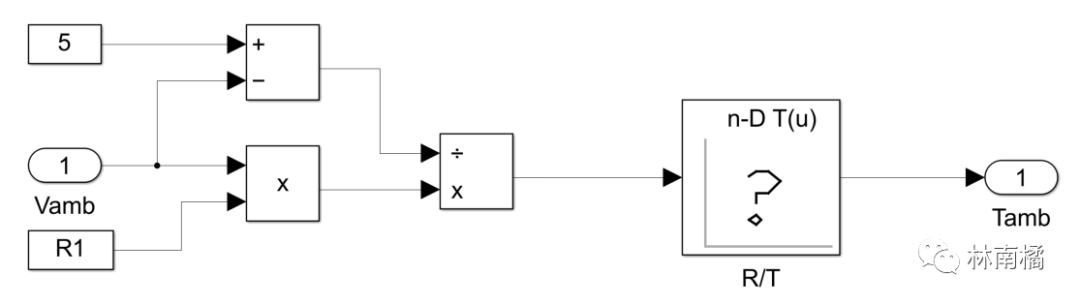
外温传感器硬线输入,经过一个 ESD 保护电容 C1,经过上拉电阻 R1 形成分压电路, AMB 点得到的电压值, 经过 RC 低通滤波电路(由 R2 和 C2 构成),过滤掉 5mV 的电压抖动后进入主芯片,由主芯片经过 AD 采样得到电压值,进而公式转换得到外温传感器组织Ramb,经过特性表(R/T)转化为温度值T。


滤波策略
传感器部件的滤波策略需要硬件滤波、软件滤波(限幅滤波、中位值滤波、算数平均滤波、递推平均滤波、中位值平均滤波、限幅平均滤波、一阶滞后滤波、加权递推平均滤波、消抖滤波、限幅消抖滤波)及虚接时异常降温滤波。
算数平均滤波
1、方法:
2、优点:
3、缺点:
#define N 12
char filter()
{
int sum = 0;
for(count = 0; count < N; count++)
{
sum += get_ad();
}
return (char)(sum/N);
}
递推平均滤波
1、方法:
2、优点:
3、缺点:
/* A值根据实际调,Value有效值,new_Value当前采样值,程序返回有效的实际值 */
#define A 10
char Value;
char filter()
{
char new_Value;
new_Value = get_ad(); // 获取采样值
if( abs(new_Value - Value) > A)
return Value; // abs()取绝对值函数
return new_Value;
}
1、 硬件滤波 :硬件滤波是通过硬件电路, 滤掉 5mV 的电压抖动,使采样电压平滑。(R2和C2组成的RC电路实现)
2、 软件平滑滤波:软件采集到外温信号后,为确保外温值平滑,采用均值滤波策略,一般为 4 次(TBD)有效信号求平均的方式进行平滑滤波。


初始化赋值策略
空调控制器在首次上电、 热插拔、 休眠之后唤醒、 Reset 时进行初始化赋值, 在赋值基础上进行升温或降温逻辑策略。初始化赋值考虑因素:停车时间和室外温度有效值。
a) 环境温度值在下电时保存在EEPROM中(记忆值)
b) 若车外环境温度传感器读数比记忆值低,车外环境温度初始值更新为读数值;
c) 若车外环境温度传感器读数比记忆值高,如下电时间<1min,车外环境温度初始值保持为记忆值,如下电时间≥1min,车外环境温度初始值更新为读数值;

外温传感器赋值完成后, 先将外温信号存储在软件内部, 在网络管理满足后周期性外发。针对AUTOSAR 网络管理在 Normal Operation State 或 Ready Sleep State 状态下;针对 OSEK 网络管理在 normal 状态下;针对间接网络管理在 KL15 有效状态下:a、 外温赋值完成后,将响应的外温值及外温状态发出;b、外温赋值未完成,将外温值信号发 FE 及外温状态发出 normal。其他网络管理状态外温信号周期性发送时, 外温信号发送 FE, 外温状态信号发 normal。
外温值更新策略(仅供参考):



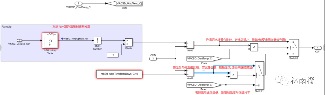
若车外环境温度传感器本次读数比旧值下降,则降温校准速度为0.5℃/1S ;若本次环境温度读数大于5℃时,则升温校准速度为0.3℃/1000s,当车速>15km/h,且持续5s以上时,升温加速,速度为1℃/15s;车外环境温度本次读数小于5℃时,升温校准速度为0.5℃/1S。
升温策略:
低速更新策略当空调控制器检测到外温值升高时, 如果此时车速小于 15km/h(TBD),则外温值不会更新;
中速更新策略当车速大于 15km/h(TBD),空调控制器内部启动中速外温升温计时器,计时器到达一定时间(TBD)后以定速率(TBD)执行升温策略,当车速低于 15km/h(TBD),时计数器清零;
高速更新策略当车速大于 40km/h(TBD),空调控制器内部启动高速外温升温计算器,计时器到达一定时间(TBD)后以定速率(TBD)执行升温策略,当车速低于 40km/h(TBD),时计数器清零;
降温策略不需关联车速, 当空调控制器检测到外温值降低时,若检测到的值比当前值低,但在 5℃范围内, 执行降温策略, 若检测到是值比当前值低,且超多 5℃时, 执行异常降温滤波策略。【若 0<当前值 (假定 16℃) -检测值(假定 14℃)<5 时,执行降温策略,若当前值(假定 16℃) -检测值(假定10℃)≥5℃时执行异常降温滤波策略。】 在向 CAN 网络发送有效的外温信号状态下, 可以恒速或变速进行降温更新, 但不能检测到温度低后进行突变更新。在向 CAN 网络发送无效外温信号的状态下,外温滤波后的值不应更新。
异常降温滤波策略 :采集到的当前值与之前的值比较, 如果当前值比之前的值小, 且差值大于 5℃,启动异常降温计时器。当持续时间大于 2 秒时, 确认此温度降低值有效,当持续时间小于 2 秒时,认为此值无效。计时器启用过程中, 异常值不能参与外温平滑滤波的计算。当差值小于 5℃或判定外温值有效后计时器停止,有效信号参与平滑滤波策略中。
除了选择合适的滤波算法外,还可以采取多种措施来提高空调外温传感器的测量准确性和稳定性,包括以下几点:
总之,选用合适的滤波算法和采取多种措施来提高传感器的测量准确性和稳定性,可以在空调系统中进一步优化温度控制,从而提升系统的性能和能效。
补充说明:
(1)无反馈值限幅滤波的方法

(2)有反馈值的限幅滤波算法
(上次值+下降幅度)<本次值<(上次值-上升限幅) ,则本次值有效,否则输出(上次值+下降幅度)或(上次值-上升限幅)

(3)一阶滤波
滤波结果=a本次采样值+(1-a)上次滤波结果,其中,a为0~1之间的数
