时间:2023-07-11 11:21
人气:
作者:admin
1. 简介
为了提高电机控制器的功率密度,发挥出电机控制器的最大系统性能,就需要实时地监控电控单元内各器件的温度,避免器件因温度过高而烧坏。这样就需要测量或估算出各器件的温度,在某些特殊情况下,电机控制器的某器件温度过高,可以触发“降功率模式”限制电机的输出功率,来限制其温度上升,所以电机控制器各器件的温度计算或测量非常有必要。下面将介绍电机控制器DC电容的温度计算模型。
2. DC电容器件热模型
通过计算DC电容器件内部的损耗,并根据器件的热阻和热容量来计算该损耗引起的温升。热等效回路如图1所示。

图1. 热等效回路
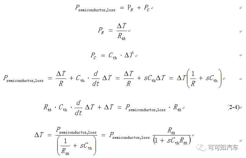
温度计算如下:

其中:

对于热模型的软件实现,像(2-2)中那样计算e函数是不可行的,因为始终必须从时间起点开始进行计算。换句话说,(2-2)中的e函数是微分方程(2-4)的解,如果输入量发生变化,则e函数必须重新计算每个时间步长。因此,对于每一个步长时间段,要求分段求解微分方程。微分方程的分段解是就好比是个滤波过程,暂且命名为PTTH-Filter。PTTH-Filter源自图1中的热等效循环,计算如下:

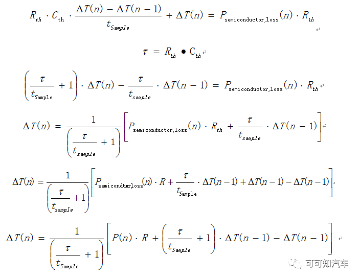
PTTH的离散实现的方程式在(2-5)中进行了描述,并从(2-4)推导如下:

PTTH-Filter仅计算了元器件与冷却液的温差,因此要得到元器件温度,还需加上冷却液温度,如下:

**2. **电机控制器电容温度模型
根据上述数学公式(2-5),可建立电机控制器电容DC-link的模型,如图2为DC电容温度计算的 Simulink 模型。

图2.DC电容温度计算的Simulink模型
3. 模型的准确性分析
为了提高DC电容温计算模型的准确性,我们需要考虑两方面:

考虑到电流的波动,进一步优化电容损耗的计算,可参考论文[1]得:

-.读取断电时间长度,用于估算补偿冷却掉的温度, 例如:时间长度用查表标定来修正补偿温度。
-.有必要在断电之前将最新的有效元器件温度存储在NVM中,以便调用来更好修正温度。