时间:2023-07-01 10:02
人气:
作者:admin
永磁体广泛用于传感器和电机应用。除此之外,磁场还用于信息存储和文件欺诈保护等应用。随着关键应用程序数量的持续增加,开发商和生产商越来越被迫满足安全要求,并提高技术的整体效率。为了确保最终用户要求的高质量,全面的质量控制是必要的。根据应用,测量远场和近场的磁铁是可能的,而且通常是必要的。在这篇文章中,我将介绍一种新的创新测量技术,通过杂散场测量和偶极子近似来表征远场中的磁体。昊量光电全新推出的M-axis磁偏角磁矩测试仪就是这种测量技术的方法。
对于所谓的远场测量,源物体和测量位置之间存在很大的距离。从这个意义上讲,大距离意味着与物体最大尺寸的至少五倍的距离。在此距离内,永磁体的杂散磁场为偶极子。有了这个假设,就可以根据阵列磁阻传感器元件的测量来表征永磁体。与亥姆霍兹线圈磁通计组合类似,该方法以非常简单、快速和精确的方式提供磁化误差(磁化角)和磁体的开路剩磁。与亥姆霍兹线圈相比,可以构建自动在线测量系统。通过如此快速的测量,可以非常快速地测量、分类和筛选用于电机应用的磁体。

“磁监测”的理论背景
在磁监测技术中,磁场敏感传感器阵列用于跟踪小型偶极永磁体。同时可以测量样本本身的特性。对于定位算法来说,磁偶极子的位置和方向构成了五个独立的参数。如果样品的磁偶极矩的大小未知或在测量过程中会发生变化,则该量构成必须确定的第六个参数。从数学上讲,使用六个磁场传感器就足以确定六个未知参数。在实践中,由于三个原因而使用更多的传感器:需要额外的信息来确定和补偿干扰场。

图1.“磁监测”原理图
图1显示了磁监测技术的原理。在距磁化强度为M(矢量:强度和方向)和体积为V的永磁体足够大的距离内,只能测量其磁偶极矩µ = M · V对总磁场的贡献。
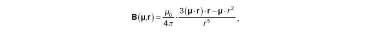
磁偶极子产生的磁通密度为

其中r和r = |r|,是相对于磁偶极位置的位置向量和距离。由于使用了比未知偶极子参数更多的传感器,定位是通过最小二乘法最佳搜索算法进行的。偶极子的磁矩µ和位置rm被确定为,由偶极子产生的场与在传感器位置rs测量的场最匹配。定位质量的衡量标准是由质量函数Q决定的:

抑制干扰场
磁性标志物的场是由不同形状的稳定场和时间变化的场叠加而成。稳定的场是由地球磁场和它的铁结构(如混凝土钢筋)的变形产生的。如果这些结构移动(汽车、电梯、病床等),各自的场就会随时间变化。缓慢变化的场也可能来自于有轨电车有轨电车使用直流电,在铁轨和架空线之间构成一个大线圈,其长度和电流不断变化。扰动场的均匀性取决于场源的距离;近的场源产生更多的不均匀场。

图2
由于稳定场造成的失真可以通过在测量前取一个基线而得到抑制。同质时变场由同质场抑制算法来处理。如果传感器场的大小和形状提供足够的信息,也可以通过调整多极扩展方法来分离不均匀的时变场源。
基于"磁监控 "的磁体表征系统
基于所描述的算法,结合敏感的磁场传感器M-axis磁偏角磁矩测试仪阵列,有可能建立起敏感的测量设备来表征永久磁体。图2显示了一个测量系统,它是为了在QM环境下非常精确地测量磁偶极矩的大小和方向而开发的。这个系统的开发是为了探测单块磁铁,用手把试样放在人的工作场所。原则上,测量频率足够高,可以在自动化的100%在线测量过程中使用该设备。
基于m轴技术,开发并优化了一种特殊的在线系统,可对样品进行100%的在线测量。该系统由六个测量板组成,每个板上有三个高灵敏度AMR传感器。可以使用AMR传感器测量的磁通密度范围从20 nT到400 µT不等。所有18个AMR传感器的数据同时采集。总体测量频率为100 Hz。通过标准USB或以太网连接可以与上级系统连接。
昊量光电蕞新推出M-axis磁偏角磁矩测量仪,M-axis的测量方法是基于永磁体材料的磁偶极子模型。从而测得除磁体的三维空间位置以外,永磁体的磁矩和磁化方向(磁偏角)。与亥姆霍兹线圈测量法比较,M-axis 直接地确定感应磁场,而非磁通量变化量的积分。因此测量中的磁体为静止不动的。与有效且可靠的分析软件一起,M-axis是您全检质量控制的首要选择。

M-axis是一种高精度的检测永磁体性能质量测试系统。该系统能够在指定个工作位置和磁化方向上测定磁偶极子性能并用图形表示出来,达到近距离测量的效果。
仪器能够达到的精度与产品规格、磁场强度和外部干扰有关。M-axis能够在普通实验室使用(在测试区域没有强磁场扰动)在量程范围内测量磁偏角误差约0.1°(在旋转模式下)。为了减小误差,对多种减振机构和件有机的集成在一起。同时,通过程序控制,测量的结果的记录和存储自动的导入到计算机。M-axis能够精确测量0.1-1Am2范围内的磁矩。更高的磁矩就需要在远一点的地方测量。这样,不可避免的降低了轴向精度的测量。

技术指标
设备 | 工作温度 | 15-35摄氏度,在测试过程中保持温度稳定 |
重量 | 小于30公斤 | |
尺寸(B×H×T) | 1.80×0.75×0.75m | |
功率 | 小于100W | |
传感器数量 | 18×AMR | |
测量频率 | 10Hz | |
轴向精度经典 轴向精度(旋转模式) 剩磁精度 | 角度正负0.3度(宽高比小于1:2.5) 角度正负0.1度(宽高比小于1:2.5) 剩磁正负1% | |
工作范围 | 磁矩 | 0.1-1Am2 |
M-axis磁偏角磁矩测量仪保存着由德国PTB(Physikalisch-Technische Bundesanstalt,德国国家计量标准院传递)用户所生产设备的校准。三轴亥姆霍兹线圈直接测量三个磁矩分量(Mx、My、Mz)并计算其方向。因此磁偏角和磁矩间的关系是非线性并难以估算相应误差。与之相对,由M-axis 测量的这两个值的精度则是不相关的,因为六自由度问题的基本原理是将磁矩视为一个独立的自由度并且各自由度之间不存在相关性,所以完全可以通过两个不同的实验校准并验证磁矩和磁偏角的精度。
下一篇:射频芯片的热闹与冷清