时间:2023-07-08 09:22
人气:
作者:admin
随着红外探测技术手段的多样化发展,红外隐身技术的需求日益迫切。由于传统的红外隐身技术面临着多途径目标探测和多功能兼容的严峻挑战,因此研究光学微纳结构红外隐身技术有着十分重要的意义。基于局域共振机制的亚波长尺度的光学微纳结构,极大地丰富了人们对光的传输行为的调控。在红外隐身技术领域,光学微纳结构可以针对红外辐射特性进行材料和结构的精细化设计,从而满足理想红外隐身发射光谱的需求,为发展更加多光谱、多功能、自适应的红外隐身技术提供全新的解决方案。
据麦姆斯咨询报道,国防科技大学理学院的科研团队在《红外与激光工程》期刊上发表了以“光学微纳结构红外隐身技术研究进展(特邀)”为主题的文章。该文章第一作者为姜鑫鹏,主要从事超材料吸收体、选择性发射体、红外隐身方面的研究工作。通讯作者为杨俊波研究员,主要从事微纳光学、硅基光电子学方面的研究工作。
本文围绕红外隐身技术的相关研究,首先介绍了多层薄膜吸收体、金属表面等离子激元、基于相变材料薄膜可调吸收体、智能化设计光学微纳结构实现光谱响应的基本原理,在此基础上,重点回顾了近年来基于光学微纳结构的红外隐身技术新特点,包括多光谱红外隐身技术、多功能红外隐身技术、自适应红外隐身技术的发展现状。最后,梳理了光学微纳结构红外隐身技术所存在的不足及面临的困难并对未来的研究方向和发展趋势进行了展望。

图1 光学微纳结构红外隐身技术示意图
光学微纳结构吸收机制
多层薄膜光学吸收的实现
如图2所示,首先考虑单色光入射到一种介质和金属的简单两层薄膜结构,金属的厚度延入射方向无限延伸,光场参量可以由传输矩阵给出。

图2 介质-金属薄膜微腔示意图
有趣的是,当介质厚度介于两种特征厚度之间时,整个薄膜微腔的吸收率也会随之发生改变,进而有望通过薄膜厚度实现对于吸收特性的调控。对于两层以上的多层薄膜光场参量可以在两层薄膜的基础上进行迭代计算,进而求得多层膜的光场参量。以四分之一光程差薄膜为代表的的多层光学膜计算是简单的。对于离散厚度和不透明的多层光学膜,其原理上依然遵从传输矩阵方程,而计算则会变得复杂,这在一定程度上丰富多层光学膜实现吸收的样式。
光学超材料的表面等离激元特性
当光照射到金属表面时,在金属表面会产生电磁表面波,这就是金属的表面等离激元特性。在此,构建一个简单的金属与介质的交界面模型,对金属表面等离激元的产生机理进行分析。
如图3所示,金属与介质的介电常数分别为ԑ1和ԑ2。其中,β=kx表示的是沿x方向的传播常数。在该模型中,材料具有金属特性的条件是Re(ԑ1)<0,而对于金属材料来说,当电磁波频率小于等离子体频率ωp的时候,该条件都是满足的。因此,表面等离激元的模式,对应着沿x传播且在z方向快速衰减的电磁波的波动方程的解。

图3 介质和金属交界面表面等离激元波示意图
相变材料可调吸收机理
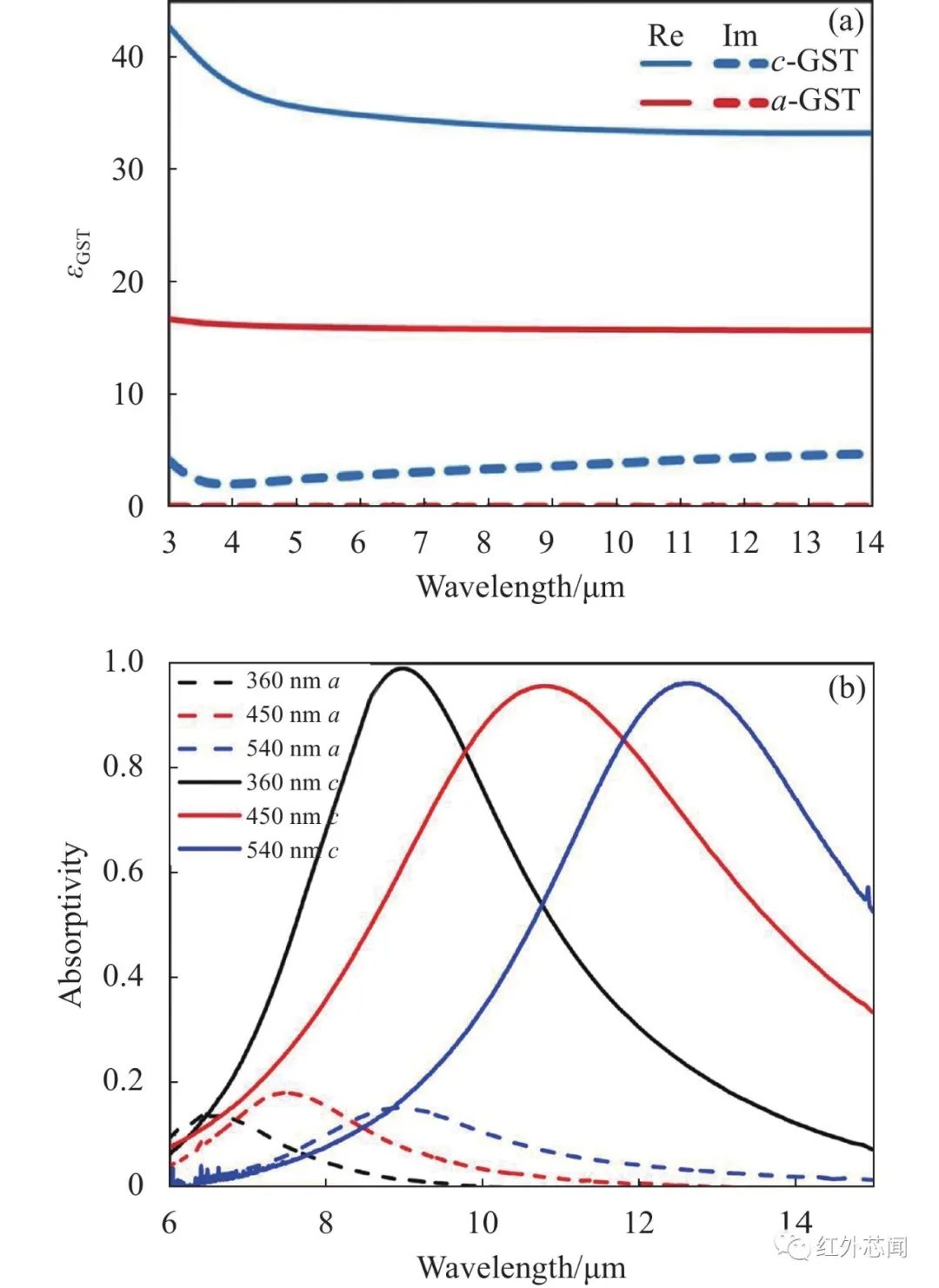
相变材料在外部激励下能够改变其晶格结构进而带来不同相态之间较大的电学和光学性质差异。如图4(a)所示,以相变材料锗锑碲合金(GST)为例介绍相变材料的光学特性。其中红外光学特性表现为由非晶态的无(低)损介质向晶态的高损耗介质转变。如图4(b)所示,在实验上验证了GST-金组成的薄膜吸收体中,通过改变相变材料薄膜厚度,可以实现谐振波长的调控。
通过栅极电压、加热、光能注入等方法可以实现相变材料在晶态(c-GST)和非晶态(a-GST)之间的连续可逆调控。这种调控的中间过程可以用Maxwell-Garnett,Bruggeman等多种等效介质方法来理论分析。随着相变材料由非晶态向晶态转变,可以实现红外辐射特性的连续调控,这已成为实现自适应红外隐身技术的潜在方案之一。

图4 (a)晶态与非晶态相变材料GST的中红外介电常数;(b)随GST厚度变化,薄膜微腔的实验吸收光谱
微纳光学吸收体智能设计方法
如图5(a)所示,在传统的设计过程中,大多数研究都是通过先验的方法获得初始结构,包括但不限于图案结构(拓扑结构)、多层结构、台阶形结构。通过手动选择初始结构,来研究一些光学谐振的基本原理。这种传统设计过程也被称为正向设计,初始结构可以被视为自变量,而光谱特性被视为由于结构变化而产生的因变量。在正向设计的理论分析过程中,往往会给出耦合模式理论(CMT)、传输线理论、散射体模型等理论分析,以简化麦克斯韦方程组的求解。

图5 (a)正向设计示意图;(b)反向设计示意图
如图5(b)所示,反向设计旨在通过对样本群的光谱特性进行分析,从而挑选出其中更加符合目标函数的光谱,然后导出所对应样本特征。这种设计方法相比于正向设计,在设计功能性器件过程中展现出更为强大的效能。由于洛伦兹互易性,场源的作用是可以互换的,这种反向设计对于解决复杂的多模场耦合优化问题和多体散射优化问题是可行的。在此过程中,简化手动参数扫描和样本筛选的算法有二进制直接搜寻算法、遗传算法、粒子群算法、梯度下降优化等。
相比于传统设计(正向设计)和最优解优化的反向设计,以机器学习为代表的数据驱动智能化算法设计正在迅速发展,并对微纳光器件产生深刻变革。神经网络作为机器学习最有竞争力的分支之一,也可以从正向设计和反向设计两种方式来革新现有的吸收体(发射体)设计。如图6所示,简要介绍了神经网络应用于多层光学薄膜吸收体智能化设计的基本原理。第一种方式运用训练集样本对神经网络进行训练,简化了麦克斯韦方程组的求解,解决了传统电磁仿真费时耗力的问题;第二种方式则类比于反向设计,通过大量数据样本的启发,神经网络可以将电磁响应(光谱曲线)作为输入并直接输出结构。智能设计方法为进一步提高微纳结构光器件性能和探索光与物质相互作用提供了全新的途径。

图6 智能化算法驱动的正向/反向设计流程示意图
微纳结构红外隐身技术发展现状
多光谱红外隐身技术
随着探测技术的多样化发展,仅仅缩减或控制红外辐射能量的红外隐身技术已不著见效。现如今红外探测手段主要包括对于红外目标的红外辐射探测和红外激光雷达探测。辐射探测主要通过接收红外目标本身的辐射能量从而感知目标的信息。激光雷达的工作原理则与微波雷达类似,通过发射红外光探测回波实现对于目标的成像。在红外隐身光谱需求上,应对辐射探测和激光雷达的方法存在很大差异。随着甚长波红外探测器的发展,可探测的红外窗口也在进一步扩展。因而,理想红外隐身发射率模型也随之与时俱进。在此,结合已有红外隐身的光谱需求研究,提出了更具广泛性的红外光隐身光谱模型,如图7(a)所示。该理想光谱模型包括以下几方面的考虑:(1)3~5、8~14、17~25 μm三个中红外大气窗口波段的低发射率以实现热信息的伪装;(2)5~8 μm和14~17 μm的双波段非窗口波段高辐射率以实现辐射散热;(3)1.06、1.55、10.6 μm三波段的高吸收率以实现红外激光隐身。

图7 (a)红外带内兼容隐身理想发射光谱模型;(b)兼顾可见、红外、微波的多波段兼容隐身理想发射光谱模型
对于多波段兼容问题,旨在要求隐身技术考虑可见、红外、微波等多个光谱区域,进而避免在某一光谱范围内的“短板效应”。如图7(b)所示,朱桓正等给出了多光谱兼容隐身技术的几点考虑:(1)基于人眼和硅探测器的可见光,如图7(b)中彩色虛线框,波长范围为380~780 nm;(2)常见激光雷达波长位置,如图7(b)中紫色箭头,波长分别为1.55 μm和10.6 μm;(3)两个中红外大气窗口,如图7(b)中蓝色虚线框,波长范围分别为3~5 μm和8~14 μm;(4)常用于火控系统的微波X波段,如图7(b)中紫色虚线框,频率范围8~12 GHz,对应波长范围2.5~3.8 cm。此外,该多光谱红外隐身技术还建立了光谱辐射散热通道,如图7(b)中橙色虚线框,将非红外大气窗口的辐射散热也综合考量。
如图8所示,总结了近年来光学微纳结构在多光谱红外隐身领域的研究进展。2017年,Zhang等设计并制备了一种一维光子晶体实现了红外、激光、雷达的兼容隐身。图8(a)利用Ge/ZnSe/Si掺杂材料堆叠而成的一维光子晶体结构实现了10.6 μm激光隐身和长波红外窗口热隐身。此外,通过引入微波吸收衬底,所提出的一维光子晶体掺杂结构还可以实现微波隐身的功能。2019年,Kim和Lee等提出了一种分层超材料方法用以实现多光谱隐身技术的方法。由于控制红外光波和微波的两种结构的尺寸差异,分层超材料结构设计方法可以实现带宽间的“分而治之”,进而满足多波段兼容的隐身技术需求。如图8(b)所示,上层设计为一种亚波长光栅阵列实现红外波长选择性发射,而下层则构建一种表面等离激元金属超材料实现对微波波段的有效吸收。这种分层超材料构型,在实现红外隐身和微波隐身的同时实现了非窗口高红外辐射率进而实现了辐射热管理。双波中红外透明窗口的平均发射率均低于0.2,非窗口区域的峰值发射率高达0.92。

图8 (a)基于多层薄膜结构红外隐身技术;(b)基于分层超材料的多光谱兼容隐身技术;(c)基于分层超材料的红外、微波、激光雷达隐身技术;(d)兼容可见光、红外、微波、激光隐身的多光谱隐身技术;(e)基于灵活组装的红外和微波兼容隐身技术;(f)基于金属-半导体-金属超材料的可见和红外隐身技术
2020年,借鉴分层超材料的设计方法,Feng等设计了一种兼容激光、红外、雷达隐身的分层超材料。如图8(c)所示,所提出的分层超材料构型在实现红外隐身和微波隐身的同时,利用亚波长光栅增强了对于近红外1.06 μm激光波段的吸收,从而降低了近红外激光引导探测器的引导信号。2021年,朱桓正等提出了一种多光谱隐身超材料用以满足红外、激光、微波等多种隐身需求。如图8(d)所示,通过整合Ge/ZnS两种高低折射率材料堆叠的一维布拉格光栅结构和电磁超材料吸收体,实现了红外隐身技术带内兼容和多光谱隐身兼容,涵盖的隐身功能包括1.55 μm和10.6 μm的红外激光隐身,双波红外透明窗口的热隐身(ε3-5 μm=0.11、ε8-14 μm=0.12)以及8~12 GHz波段的微波隐身(>0.9)。此外,通过结合遗传算法,经过优化的一维光子晶体多层膜在具有极高隐身性能的同时兼顾了辐射热管理的需要,在非窗口区域的平均辐射率为0.61。2022年,Lee等在分层超材料概念的基础上,进一步提升了微纳光学结构的隐身性能。如图8(e)所示,通过组装柔性红外发射器和柔性微波吸收器,红外与微波隐身性能得到了进一步的优化,使其在性能上达到了一些商用隐身材料的指标。同年,Kim等引入了具有法布里-珀罗(F-P)和多种等离子体共振模式的金属-半导体-金属(MSM)超表面来实现多光谱红外隐身技术。如图8(f)所示,利用Ge层和Al光栅结构中的局部表面等离子体模式实现可见光结构色从而表征出迷彩图案。Ge层的F-P共振在1.06 µm处引起>92%的强吸收,从而降低了红外激光引导探测器的引导信号。此外,该MSM超表面还具备一定的短波、中波和长波红外波段的红外隐身性能。
2023年,结合分层超材料和反向设计方法,笔者所在的研究团队设计制备了一种多层薄膜结构从而满足了大部分红外隐身技术带内兼容需求。通过反向设计方法,以特定应用目标为牵引,以基本光学特性(原理)为基础,探索更为广泛的材料(薄膜)体系,找寻符合中红外隐身应用的多层膜系设计,从而实现多层薄膜结构与理想中红外隐身光谱点对点地高效设计。把分层超材料概念与薄膜的光学色散结合,利用薄膜厚度变化在不同波长下带来光学相位的巨大差异,实现近红外激光隐身与中红外波长选择性发射体的光谱兼容。该器件具备的功能包括中红外热隐身(ε3-5 μm=0.21、ε8-14 μm=0.16)、1.06 μm/1.55 μm/10.6 μm多波段红外激光隐身(ε1.06 μm=0.64、ε1.55 μm=0.90、ε10.6 μm=0.76)以及辐射散热的热管理(ε5-8 μm=0.54)等。
多功能红外隐身技术
以上关于多光谱红外隐身技术的研究主要集中于解决红外光谱带内隐身技术的兼容性问题(近红外、中红外、远红外)以及应对多光谱探测手段多光谱隐身的兼容性问题(可见光、红外隐身、激光隐身、雷达隐身)。作为红外辐射调控的载体,红外隐身技术的辐射调控波长范围一般覆盖多个红外大气窗口。这些大气红外窗口在红外显示、辐射管理、光谱探测等方面具有诸多应用价值,进而使得红外隐身技术有望与辐射热管理、红外加密显示等红外功能实现兼容。
回顾了近年来红外隐身技术兼容了红外辐射热管理和红外加密显示功能的一些研究进展(见图9)。在红外辐射热管理方面,红外选择发射体通过在不易探测的非大气红外窗口区域的高辐射率,可以实现对于高温或者较高温物体的辐射散热。2017年,刘东青等设计制备出由保护层Ge、超薄金属Ag、介质层Ge以及金属层Ag四层膜结构组成的F-P腔选择性辐射红外隐身材料。如图9(a)所示,这种Ag/Ge多层薄膜红外隐身选择性发射器,通过超薄金属Ag和介质层Ge形成了一种非对称F-P腔结构,通过阻抗匹配产生了非窗口区域的红外波长选择性吸收。这种结构在大气窗口波段具有较低的发射率(ε3-5 μm= 0.18、ε8-14 μm= 0.31),而在非大气窗口具有较高的发射率(ε5-8 μm= 0.82)。与低辐射率材料相比,选择性发射器在真空和实际环境(T<200 ℃)中均显示出更高的辐射冷却效率,并且在红外热像仪上的表观温度更低。2020年,潘美妍等设计制备了一种应用于兼顾热管理、中红外隐身、可见光伪装的微纳光栅结构。如图9(b)所示,通过Si/GST/Au光栅超材料表面激元效应以及三种材料薄膜干涉效应,该结构具有热管理(ε5-8 μm= 0.77)、中红外激光隐身(α10.6 μm= 0.90)以及双窗口中红外隐身(ε3-5 μm= 0.25、ε8-14 μm= 0.33)的能力。在相同的加热功率下,通过比较样品与等厚且等大小的Au膜的升温速率和稳态温度,证明了该超材料选择发射体通过辐射冷却进行热管理的能力。同年,朱桓正等设计制备了耐高温的布拉格光栅型多层薄膜红外选择发射体,实现了高温条件下的红外隐身技术与辐射热管理功能兼容。在图9(c)中,通过把热传导、热对流、辐射热三大传热过程耦合,建立了高温情形下红外选择发射体与热绝缘材料结合的综合热管理模型,解决了微纳光学超材料综合传热评价的难题。2023年,Yu等设计制备了一种Al∕SiO₂∕Al的超材料结构实现了红外隐身技术与辐射热管理的技术兼容,如图9(d)所示。该研究进一步验证了亚波长光栅应用于高温(T>300 ℃)热辐射管理和红外隐身技术兼容的可能。

图9 (a)基于多层膜的热隐身兼容热管理;(b)基于超材料的红外隐身与热管理兼容;(c)基于多层膜的高温多功能红外隐身技术;(d)基于MIM的高温热隐身与热管理功能兼容;(e)可见光/红外信息显示与隐身技术;(f)基于GST的红外加密与隐身兼容;(g)基于二氧化钒的红外加密与隐身技术;(h)基于VWO₂的红外显示与红外隐身兼容;(i)基于反向设计可切换的红外隐身超材料
在红外加密显示方面,通过对光学微纳结构红外辐射特性的操控有望让器件表征出一些期望的红外信息或图像,这些图像需要一些特定的红外探测器接收进而保障了信息安全,这将在敌我识别和保密通信等领域具有广泛应用前景。2021年,Xu等中利用纳秒和毫秒脉冲激光,实现了可重构辐射超表面的调控。如图9(e)所示,通过对具有相变材料GST薄层(~25 nm)的凸点超材料红外发射率的调控,平均红外辐射率的调控范围为0.1~0.7。此外,这种方法有望对凸点形超材料独立调控,进而在红外和可见光显现出不同的图案,最终实现了多波段信息编码的目的。同年,Kim提出了一种平行激光束调制相变材料GST的方法。如图9(f)所示,这种方法可以在相变材料GST多个厚度层发生相变,使得GST/Au的微腔结构实现红外辐射特性的调控,其平均长波红外辐射率可以在0.26~0.8之间进行梯度切换。除了硫系相变材料外,钒的化合物也是潜在的红外辐射调控材料。如图9(g)所示,Xu等通过引入易失相变材料二氧化钒(VO₂)的多层薄膜谐振腔实现了对于8~14 μm波段红外辐射调制,平均调制范围在0.19~0.91之间。结合激光直写的方法,多达9级调控的发射率连续调控得以实现,并绘制了校徽、棋盘格、熊猫等色彩缤纷的红外图案。在图9(h)中受生物模仿和中国水墨画的图案演变的启发,报道了一种通用和有效的方法来制备基于W掺杂VO₂的红外热图像的可重构和多层次演变的器件。此外,通过对钒氧化物掺杂金属元素钨的方法,可以有效地降低转变温度,使得该器件在常温下实现可擦除的热致红外变色。
在先前的工作中,兼容热辐射管理和红外显示功能的多功能红外隐身技术往往是被分开考虑。实际对于红外辐射的发射体来说,通过可调控的红外辐射特性,热辐射管理、红外显示、红外隐身可以在一个器件上同时实现。笔者研究团队近期利用反向设计方法实现了多功能红外隐身结构的设计,如图9(i)所示。该装置涉及:(1)在双波段红外大气透明窗口具有较低的发射率进而实现红外隐身功能;(2)对于非窗口波段(5~8 μm波长范围内)的高发射率从而实现辐射冷却进而降低表面温度;(3)通过调控相变材料的属性,实现红外辐射特性的调制,进而使得发射体的辐射波长从非窗口辐射向中波红外窗口移动。这将使得隐身装置的兼容功能在辐射热管理与中波红外显示之间的切换,在切换过程中对于长波红外的隐身性能影响很小。
自适应红外隐身技术
随着侦察手段的进步,传统的隐身技术已不像当初那样“得心应手”,因为它们大多都是“静态隐身”,它在作战环境变化过程中极易暴露,一旦被敌侦察系统识破,就可能成为精确制导武器打击的目标。为了能够面对纷繁复杂的战场环境,使得军事目标的红外信息融于背景之中,从而让红外探测器难以察觉,自适应红外隐身技术应运而生。自适应红外隐身技术是一种能根据背景、敌方威胁等战场情况的变化,使被侦测目标做出自动、连续响应,并保持良好隐身效果的新型隐身技术。通过综合使用材料、控制、传感等技术手段,使得被侦测目标,特别是动态目标的红外特征根据环境变化进行动态调整,从而使目标有效融入背景,达到隐身掩护目的。通过引入新型材料设计出的微纳结构已经展现出了突出的红外辐射调控能力。这些新材料新结构也是目前自适应红外隐身的研究热点之一。
按照引入新材料的不同,总结了近年来基于新材料微纳结构的自适应热伪装器件,如图10所示。诸如Ge₂Sb₂Te₅、Ge₂Sb₂Se₄Te₁、In₃SbTe₂等硫系相变材料是潜在的红外辐射调控材料。如图10(a)和(b)通过引入GST的相变薄膜微腔,分别通过加热和激光直写的方式实现了对于长波红外辐射的调控,其调控区间在0.1~0.9之间,展现了相变材料GST应用于红外辐射调控的广泛应用前景。现如今,液晶作为一种可见光显示材料已经深入到千家万户。在图10(c)中,通过液晶中微晶方向的偏转,理论上可以实现对于红外辐射特性的调控。钒的氧化物因为其易失性的相变特点,有望在红外辐射调控、智能窗、红外探测等领域发挥重要的作用。图10(d)和(e)中引入VO₂作为辐射调控材料,分别设计了一种具有VO₂薄膜结构,使其能够像变色龙一样改变“红外颜色”,进而证明了钒的氧化物在自适应热隐身技术方面的应用前景。如图10(f)所示,Tang Kechao等利用WVO₂材料通过对温度的调控,有效地调整目标物体红外辐射特性,使其发出与周围环境相同的红外辐射,从而使它们对红外检测设备不可见。石墨烯通过调控载流子浓度进而影响电导率模型的变化,有望实现红外辐射特性的调控。如图10(g)和(h)所示,Coskun Kocabas教授课题组利用多层石墨烯材料实现了自适应热伪装的动态演示。通过电压的精确调控,演示了人手、字母图案等红外信息/特征从“显示”到“隐身”的动态过程。这些石墨烯的研究进展使得其在红外辐射调控领域已具备广泛应用的潜力。此外,结合金属材料的微纳结构,通过金属超材料构型的改变和金属材料的改性,有望实现红外辐射的调控。如图10(i)通过调控金光栅间隙大小,使得表面等离激元吸收产生于不同的谐振频率,进而实现了宽带或者可调吸收。该研究从理论上,验证了金属超材料应用于自适应热隐身以实现伪装、欺骗和信息传递等功能的应用前景。如图10(j)所示,基于纳米Pt膜的装置,刘东青等通过电沉积调制Ag的方法,实现了自适应红外隐身。随着Ag电沉积过程的进行,装置从中红外波长范围的高发射率向低发射率转变,通过Ag电溶解可以使发射率反向变化。该装置通过电溶解和沉积的方法可以实现300次以上的循环调制,解决了自适应红外隐身技术实际应用的难题。

图10 (a)~(b)通过调控硫系相变材料的自适应红外隐身技术;(c)通过调控液晶排列方向的自适应红外隐身技术;(d)~(f)通过调控钒的氧化物的自适应红外隐身技术;(g)~(h)通过调控石墨烯的自适应红外隐身技术;(i)~(j)通过调节MIM金属超材料尺寸和运用金属电沉积方法实现的自适应红外隐身技术
总结与展望
文中详细介绍了薄膜干涉结构、金属表面等离激元、相变材料实现光吸收的基本原理以及通过智能化算法设计微纳结构吸收体的基本原理。从微纳光学结构实现光吸收的基本原理出发,通过红外选择发射体这一桥梁,回顾了近年来国内外研究团队在红外隐身技术上的新进展,这些进展包括应对多种红外探测手段的红外隐身技术、兼容可见-红外-微波的多光谱红外隐身技术、调控红外辐射特性实现的多功能红外隐身技术以及自适应红外隐身技术。目前,将光学微纳结构应用于红外隐身技术,使得红外隐身技术从原有的单光谱单要素向着多光谱多要素发生转变。为了应对不断发展的现代红外探测技术,未来的红外隐身技术可能聚焦于以下几个方面的研究。
具备高性能的红外隐身技术。针对已有的红外隐身理想发射体模型,现有的红外隐身技术还不能够实现完美的匹配。通过智能化算法设计有望探索更加广泛的微纳光学结构,从而更加趋近于理想的红外隐身模型。针对可见光、红外、太赫兹、微波的多光谱隐身问题,迫切需要更具均衡性的设计,从而避免在某一光谱范围内的“短板效应”。此外,对于光学微纳结构在不同波段耦合和解耦的理论和方法,亟需进一步系统性研究和设计,从而为高性能的红外隐身以及兼顾红外隐身的波段兼容隐身提供理论指导和技术支撑。
红外隐身技术有望与热辐射管理、红外信息加密、红外光谱探测等诸多红外辐射调控技术实现功能兼容。现如今,一些光学微纳结构研究通过精细化的红外辐射特性调控,使得红外隐身技术向着多种功能兼容的方向发展。这些新研究在扩展红外隐身技术应用的同时有望使得红外隐身技术成为一种高集成化光器件平台,在未来军事和战争领域发挥更加重要的作用。
红外隐身微纳结构制备的研究,将使得红外隐身技术从基础研究向实际应用转型。在柔性制备方面,通过将微纳结构制备在PET、PI膜、气凝胶等柔性衬底上,满足了保形工艺的需要。然而,柔性材料在高温下的耐受性能仍需进一步研究,以筛选适用于红外隐身技术领域的柔性材料。此外,随着3D打印、纳米压印、光刻技术等先进微纳结构制备方法的发展,有望进一步实现红外隐身微结构的大面积、低成本制造。
具备感知能力的自适应红外隐身系统。目前如液晶、二维材料、相变材料、钒的氧化物等具有红外辐射调控能力的新材料已被广泛研究。而集感知和隐身于一体的自适应红外隐身系统方兴未艾,这将需要红外隐身系统从背景中检测到的红外信息作为输入来动态调整表面的红外辐射以进行红外隐身。这将需要涉及光学、电学、热学等多个领域交叉合作来进一步研究自适应红外隐身系统的构建。笔者坚信,通过光学和相关领域科学家的不懈努力,这样具备感知能力的自适应红外隐身系统必将会在红外隐身领域崭露头角。
这项研究获得国家自然科学基金(60907003、61805278、12272407、62275269、62275271)和国家重点研发计划(2022YFF0706005)的资助和支持。
审核编辑:刘清
下一篇:射频前端是什么?射频元器件介绍