时间:2023-06-25 09:20
人气:
作者:admin
超导相变边缘探测器(TES)具有极高的探测灵敏度,在可见光/近红外波段具有光子数分辨能力,在X射线等高能波段能量分辨率极高。与前述的半导体探测器(硅基CCD、InSb、HgCdTe等)比较,超导TES探测器的探测效率更高,响应速度更快,暗计数更低,能量分辨率更高,在可见光/近红外时域天文观测中具有独特的优势。
据麦姆斯咨询报道,近期,中国科学院紫金山天文台和中国科学技术大学天文与空间科学学院的联合科研团队在《光子学报》期刊上发表了以“高性能超导相变边缘单光子探测器(特邀)”为主题的文章。该文章第一作者为李佩展,通讯作者为张文研究员和史生才院士,张文主要从事太赫兹超导热电子混频器(HEB)技术、太赫兹超导相变边缘探测器(TES)技术、超导相变边缘单光子探测器技术、超导TES探测器阵列多路复用读出技术的研究工作。
本文详细研究了钛膜的特性调控机制,拓展了二流体模型获得了超导TES单光子探测器的关键参数。进一步优化了光学腔体的设计和器件制备工艺,并改进测量系统,从而成功研制出了高性能超导TES单光子探测器,系统探测效率超过90%,最低能量分辨率仅为0.26 eV,满足时域天文观测和量子信息领域的应用需求。
超导TES单光子探测器的工作原理
如图1(a)所示,超导相变边缘探测器是一种热探测器,由吸收体(热容C)、弱热连接(热导G)和热沉(温度Tb)组成。当吸收能量为Eγ的入射光子后,超导TES探测器的电子温度(T)升高。超导TES探测器恒压偏置在超导转变区,电子温度的变化引起超导TES电阻R(T,I)的变化,进而流经TES的电流(I)发生改变。经超导量子干涉仪(SQUID)电流放大器放大后,由室温电子学读出,可获得入射光子的能量。

图1 超导TES探测器的原理图和照片
可见光/近红外波段的超导TES单光子探测器结构如图1(b)所示,吸收体和温度计为同一层超导薄膜,通过电子-声子之间的弱相互作用实现弱热连接的同时可以降低热容从而提高∆EFWHM。为此,一般选择低临界温度(TC<1K)的超导材料,如单层钨、单层钛或者钛金双层膜等,直接在介质基板上制备一层超导薄膜,通过剥离或者刻蚀工艺形成小面积的有效区域,最后利用更高临界温度的超导材料(如铝或者铌)形成电极。
超导钛膜的特性调控
采用电子束蒸发在单晶硅基板上制备超导钛膜,测量其应力、面电阻(RS)及TC。所有样品都表现出压应力,并且随着沉积速率的增加压应力逐渐减小。当沉积速率高于1 nm/s时,压应力基本上保持不变。RS随着沉积速率增加而降低,当沉积速率超过0.1 nm/s后RS基本保持不变。因此,研制超导TES单光子探测器时沉积速率选择为1~1.5 nm/s。
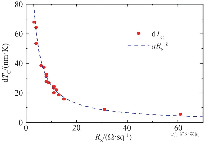
超导钛膜的TC和RS具有很强的厚度(d)相关性。随着厚度的增加TC升高,RS降低。但是这两个参数还受其他因素的影响,导致数据呈现出一定的离散性。如图2所示,拟合曲线与实测结果完全吻合,dTC随着RS的增加而减小。据此可以预计钛膜的临界温度有助于改进钛膜TC的控制精度并提高制备工艺的一致性和重复性。

图2 制备的超导钛膜dTC随RS的变化曲线
针对制备好的超导TES单光子探测器,为了精确调控其TC从而实现高能量分辨率,本文提出了一种烘烤后处理工艺:将样品置于常规烤箱中,在设定的温度下烘烤。通过高温烘烤,钛膜表面会氧化从而降低有效厚度,致使TC降低。进一步定量研究了烘烤对Ti膜和TiAu双层膜TC的调控作用:1)固定烘烤温度(Tbaking),2)固定烘烤时间(tbaking)。如图3所示,Ti膜和TiAu双层膜的TC随着烘烤温度和烘烤时间的增加而逐渐降低。
透射电子显微镜观察发现烘烤后TiOx层的厚度略大于烘烤前,而且能量色散X射线谱表明烘烤后的氧峰宽度略大于烘烤前,表明钛膜表面由于烘烤而氧化。氧化层并不超导,其厚度为2~5 nm,对吸收的影响可以忽略不计。此外,Ti膜和TiAu双层膜的常温电阻基本保持不变,但是TC随着时间自然老化而降低,其变化规律与随烘烤时间降低类似。该研究提供了一种灵活方便的方法实现光子数可分辨的高效率超导TES单光子探测器。

图3 Ti膜和TiAu双层膜临界温度随烘烤时间和烘烤温度的变化曲线
超导TES单光子探测器的传热机制及建模
制备了超小有效面积(1 μm×1 μm)的超导TES单光子探测器,表征其电/热特性。实测G和估计的τeff表明除了声子扩散制冷机制之外,电子扩散制冷机制也具有很大的贡献。超小面积的超导TES单光子探测器具有高灵敏度、快速和低热容的特点,适合于天文观测中的功率探测和要求光子数分辨能力的量子信息等领域。
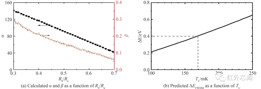
将相滑移系数近似为连续变化的参数从而拓展二流体模型,成功提取了超导TES单光子探测器的α和β(如图4(a)所示),计算的电流-电压曲线和脉冲响应曲线与实测结果完全吻合,证明了拓展二流体模型的有效性。在此基础上,表征了不同尺寸的超导TES单光子探测器的主要参数,并分析了其主要参数的变化规律。考虑了其他噪声对能量分辨率的贡献,引入噪声因子(M),理论计算了超导TES单光子探测器的∆EFWHM,获得了∆EFWHM与器件尺寸和TC的相关性。如图4(b)所示,表明器件尺寸为20 μm×20 μm,TC低于170 mK可以同时获得高探测效率和高∆EFWHM,为后续优化器件指明了方向。

图4 超导TES单光子探测器的温度和电流灵敏度系数及能量分辨率
1550 nm波段高性能超导TES单光子探测器
制备了基于钛膜的超导TES单光子探测器,表征了其电阻转变特性和电流-电压特性。实测的G与有效面积成正比。
为了获得超导TES单光子探测器的高吸收效率从而实现高探测效率,在超导TES单光子探测器研制中需要集成光学腔体。光学腔体由介质反射镜、超导薄膜和防反射层组成。各层薄膜尤其是钛膜折射率的精确值对于设计光学腔体尤为重要。我们采用光学椭偏仪研究了超导钛膜的折射率及其在整个基板上的分布均匀性。发现超导钛膜在光学波段的折射率与文献一致,但在近红外波段折射率随着波长依然缓慢增加。此外,在硅基板上制备的超导钛膜一致性较好,但是表面形成约3 nm厚的氧化层。在此基础上设计了1550 nm波段的光学腔体。如图5(a)所示,介质反射镜和防反射层分别由8个周期和2个周期的SiO₂和Ta₂O₅交替堆叠组成。介质反射镜每层的厚度为1/4波长,而防反射层每层的厚度通过优化确定,保证在1550 nm波长的高效吸收。测量结果表明集成光学腔体后吸收效率达(ηabsorption)到95%。随后研制了集成1550 nm光学腔体的超导TES单光子探测器。镀防反射层后,G降低为60 pW/K,实测的τeff为5.9 μs,系统能量探测效率达到40%。

图5 1550 nm波段超导TES单光子探测器的光学腔体和响应高度直方图
进一步优化并制备了1550 nm光学腔体,精确控制各层薄膜的厚度,ηabsorption超过95%。同时将钛膜的厚度降低到22 nm,器件尺寸为20 μm×20 μm,远远大于单模光纤的光斑,保证耦合效率接近100%。在此基础上,进一步优化了超导TES单光子探测器的测试系统,增加了光纤屏蔽,并在低温下将光纤绕成直径为35 mm的圆圈(圈数为10),形成长波滤波器,阻止红外光辐射。选择小尺寸器件(5 μm×5 μm),提高超导TES单光子探测器的电流响应率,ΔEFWHM仅为0.26 eV,系统探测效率为36%,暗计数为4±2 cps,同样可分辨至少12个1550 nm光子,从而实现了低暗计数的超导TES单光子探测器。
可见光波段超导TES单光子探测器
在超导TES单光子探测器制备过程中集成了850 nm光学腔体,钛膜厚度为53 nm,成功研制了可见光波段的超导TES单光子探测器。器件TC为400 mK,正常态电阻(Rn)为13 Ω。通过红外显微镜和精密二维移动平台实现SM800单模光纤(模场直径为5.6 μm)与超导TES单光子探测器的精确对准。采用脉冲激光器作为光源,通过光衰减器将每个脉冲中的光子数衰减到小于一个光子,利用数字示波器记录响应波形。在300 mK环境温度,器件偏置在0.74Rn,对应单光子、双光子和三光子的情况分别记录了响应波形。如图6(a)所示,响应高度随着光子数的增加而升高,表明超导TES探测器具有光子数分辨能力。随后利用数据采集卡采集信号高度,对响应高度进行统计分析得到响应高度分布直方图。结果表明器件工作在300 mK,ΔEFWHM为0.75 eV,ηsys为13%,至少可以分辨10个850 nm光子。研制的850 nm波段超导TES单光子探测器提供给中国计量科学研究院光学与激光计量科学研究所,应用于具有光子数分辨能力的单光子辐射基准测量装置(如图6(b)所示),服务于光子精密测量与光辐射计量基准技术研究。

图6 超导TES单光子探测器的多光子响应及单光子辐射基准测量装置
结论
高灵敏度超导探测器是天文研究的重要探测器之一。在可见光/近红外波段,超导TES单光子探测器在探测效率、能量分辨率、可分辨光子数、暗计数等方面具有明显的优越性,在研究微弱天体信号源和快速时变源方面可以最大限度地获取光子信息。我们详细研究了钛膜的特性和临界温度调控机理,拓展了二流体模型提取了超导TES单光子探测器的关键参数,理论计算了临界温度与能量分辨率的依存性。在此基础上,集成光学腔体并研制了基于钛膜的超导TES单光子探测器,系统探测效率大于90%,可分辨至少10个1550 nm光子。研制的超导TES单光子探测器响应时间为微秒量级,可满足高时间分辨天文观测的需求。未来将研制超导TES单光子探测器阵列满足天文观测成像需求,同时为量子信息、生物成像、光子精密测量等领域提供高灵敏度的探测手段。
这项研究获得国家重点研发计划(2017YFA0304003、2020YFC2201703)、国家自然科学基金(U1831202、U1731119、U1931123、11773083、11873099)、中科院项目(XPB2303、QYZDJ-SSWSLH043、GJJSTD20180003)和江苏省333工程(BRA2020411)的资助和支持。
审核编辑:刘清