时间:2022-09-23 09:33
人气:
作者:admin
风场信息的测量是气象或空气动力学领域的重要工作内容之一,其测量的精确性对于气象研究尤为重要。
激光测风雷达作为新型测风技术,利用多普勒(Doppler)原理获取风向、风速信息,具有能够探测晴空风场、测风范围广、探测精度高、时空分辨率高、机动性能好的优点,其在风场精准探测领域具有重要应用前景。
Doppler 激光雷达风速测量原理
激光多普勒测风雷达是指利用多普勒效应获取探测目标运动信息的激光雷达系统。多普勒效应由奥地利物理学家 Doppler 于1842 年提出,指在波源与观测者有相对运动时,观测者接收到的波的频率发生改变的现象。风速的测量可通过测量大气中的大气运动分子及气溶胶运动粒子的后向散射信号Doppler 频移来实现,即通过探测目标与激光发射信号间的相互作用来获得大气或气溶胶的后向散射特性,进而通过其后向散射的频率检测获得大气径向风速的多普勒频移,再计算获得大气的径向风速。

图1 Doppler 激光测风雷达基本原理图
温度、湿度和气压对激光测风雷达的影响
温度
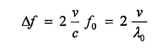
激光雷达接收后向散射信号中,主要包含的是气溶胶的散射信号和分子散射信号。大气中的粒子无法自行发射激光,要测量大气粒子的运动速度,需要从激光雷达发射机发射激光与之相互作用,接收粒子“发射的激光”(散射光)。此过程分为两步,一是运动速度为v的大气粒子接收频率为f激光;二是接收机接收运动速度为v的大气粒子发射的频率为的(1+v/c)f0激光。
则Doppler频移与粒子运动速度的关系为:

大气中的气溶胶粒子,如云、灰尘等,随着风或湍流运动,其速度约为~1 m/s或~10 m/s。
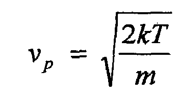
由于在大气中,分子不停地在做无规则热运动,分子的无规则热运动的Maxwell分布:

其中T为大气温度,在该分布下的最大速度为:

由此可见,大气温度与Doppler频移密切相关。带入k=1.38x10-23J/K与m=4.82x10-26Kg,T=300K温度下大气分子振动的最大速度约为400m/s,这相当于1GHz的Doppler频移。
湿度
有研究人员测试了后向散射系数随湿度变化,发现随着湿度的增大,后向散射系数也有着随之增大的趋势。在大风速以及大风区长度下,系数最大。在小风速情况下,气溶胶的产生主要起源于破裂气泡的薄膜碎片,由于湿度较大时导致粒子与水滴吸附,导致吸收变大,但是风速较小不能补充更多其他组分粒子,从而导致散射减小[4]。

图2 后向散射系数随湿度的变化
由此可见温度和湿度都是直接影响激光测风雷达测得结果的重要参数,其在测风雷达中准确监测的重要性不言而喻。除此以外,温度,湿度,大气压都是气象监测中的重要参数,在气象研究中有重要作用,大气压也会影响大气环境中的温度和湿度,其三者之间息息相关。
如何准确监测温度,湿度和气压?
既然在激光测风雷达中准确监控温度,湿度和气压具有重要意义,那么,如何才能实现他们的准确监控呢?——虹科Comet 监测系统为您提供优秀的解决方案!
虹科Comet T7310和Comet T7311是可用于室内室外的环境温度计、湿度计和气压计。T7310内置相对湿度、温度和大气压力传感器。T7311外接传感器。可搭载到激光测风雷达中,体积小,稳定性好。测量值还可转换为其他湿度表示形式:露点温度、绝对湿度、比湿度、混合比、比焓。二者都是通过RS232输出,实时监控环境中的温度,湿度和气压。
虹科Comet T7310

工业级温度、湿度、气压变送器-RS232输出。用于环境监测的天气传感器,目前市场上最好且应用最广泛的气压计之一。
(1)温度测量范围:-30 to +80℃
(2)湿度测量范围:0 to 100 % RH
(3)露点测量范围:-60 to +80℃
(4)气压测量范围:600 to 1100 hPa
(5)通讯协议:ModBus RTU 和研华 ADAM 兼容协议
虹科Comet T7311

工业级温度、湿度、气压变送器-RS232输出,外置探头。
(1)温度测量范围:-30 to +105℃
(2)湿度测量范围:0 to 100 % RH
(3)露点测量范围:-60 to +80℃
(4)气压测量范围:600 to 1100 hPa
(5)通讯协议:ModBus RTU 和研华 ADAM 兼容协议
虹科COMETEO
气象传感器的专业太阳辐射保护罩

专业的辐射防护罩,用于保护温度传感器或组合式温湿度传感器。被动、自然通风的辐射防护罩设计用于保护直径为 13 至 18 毫米的气象传感器。
应用图片

