时间:2023-06-12 15:54
人气:
作者:admin
今天跟大家一起探讨一下另一个经典公式:Tr=0.35/BW.
对于任意一个LTI系统,都有自己的瞬态响应过程,响应的快慢取决于系统带宽,一般使用上升时间衡量。系统带宽越大,则瞬态响应速度越快,上升时间也越短。对于示波器,亦是如此。
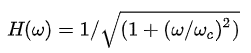
示波器模拟通道相当于一个低通滤波器,为了简便起见,此处只考虑一阶低通滤波器的情形。一阶低通滤波器的幅度传输函数可以写为

式中, wc为截止频率,即示波器的3dB带宽。
对于一阶低通滤波器,还有个非常重要的参数——时间常数,与截止频率互为倒数。

上式给出了频域的幅频响应,如果要确定上升时间,则需要从时域的阶跃响应函数入手。一阶低通滤波器的阶跃响应函数为

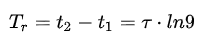
如果按照10%~90%的规则定义上升时间,则可以按照如下方法计算。
t1时刻,信号电压上升至0.1A,则满足:

t2时刻,信号电压上升至0.9A,则满足:

经计算可得上升时间为

因一阶低通滤波器的时间常数为截止频率的倒数,故上式可以化简为

这就是关于示波器上升时间与BW之间经典公式的由来。
以上公式是基于一阶低通滤波器频响推导的,对于带宽不超过1GHz的示波器而言,基本都适用。如果是更高带宽的中高端示波器,其通道依然相当于低通滤波器,但通常并不是一阶滤波器的频响,所以上述公式中的系数不再是0.35,而是位于0.4~0.45之间。
当测试快沿信号的上升时间时,示波器本身的上升时间是不得不考虑的一个参数,因为实际测量的上升时间与信号和示波器本身的上升时间存在如下近似关系

所以,为了保证测试精度,建议示波器的上升时间不要超过待测信号上升时间的1/5.
类似地,如果使用探头进行测试,探头本身也有带宽和上升时间,将示波器和探头构成一个测试系统,系统的上升时间则近似为

此时,整个测试系统的上升时间建议不超过待测信号上升时间的1/5.

示波器BW分别限定为4GHz/1GHz/250MHz时测试同一个快沿信号。
下一篇:深入浅出剖析增益法测试噪声系数