时间:2023-06-12 17:11
人气:
作者:admin
01
引言
为了满足人们对于数据业务尤其是视频业务的爆炸式增长的需求,应用也从人人通信转向人机通信、机机通信,这就是5G通信网络的强大驱动力,5G相比4G有了全面性的提示,主要体现在高传输带宽、低时延、海量机器互联,分别有其代表性的应用如 eMBB的目标是实现虚拟现实技术和超高清晰视频分享、uRLLC的目标是自动驾驶和工业互联网等应用、mMTC即机器通信,即万物互联。5G网络从无线接入网、承载网到核心网,所有的传输速率都逐步提高,1G升到10G,10G升到25G/50G,40G/100G升到200G/400G,还有未来的800G。
对应的各种智能终端如手机、电脑、家庭网关等以及网络设备如交换机、路由器、服务器等内部总线速率、串行接口速率也都有很大程度的提升,PCIe4.0 16GT/s和PCIe5.0 32GT/s已经完成标准化,PCIe6.0 64GT/s也在积极推进中,预计今年发布。USB接口速率也发展到了USB4.0的2x20Gb/s。其他的串口如Thunderbolt 3, DP1.4和2.0,SAS-3/-4等等,速率也是逐级提升。光纤互联得到广泛应用,对光模块的大量需求也提升了其重要性,光模块内部串行线路的速率也从2.5Gb/s、10Gb/s提高到53Gb/s。其他串行标准如CEI-25G/28G/56G/112G, InfiniBand EDR/HDR, Fibre Channel 16/32等也使得串行信号的速率越来越高。
综上所述,无论是光模块内部还是数据通信设备内部,高速互联的串行信号的设计、测试难度越来越大,从事这些工作的工程师也感到了前所未有的压力。本文试图从信号完整性分析所用到的测试码型入手,厘清一些基本概念,以期给从事信号完整性分析的工程师们些许帮助,使他们少一些迷茫并提高工作效率。
02
信号完整性概述
信号完整性(Signal Integrity)是指一个信号在电路中产生正确响应的能力。信号具有良好的信号完整性(Signal Integrity)是指当在需要的时候,具有所必须达到的电压电平数值。主要的信号完整性问题包括反射、振荡、地弹、串扰等。常见信号完整性问题及解决方法:

信号完整性的测试手段很多,涉及的仪器也很多,因此熟悉各种测试手段的特点,以及根据测试对象的特性和要求,选用适当的测试手段,对于选择方案、验证效果、解决问题等硬件开发活动,都能够大大提高效率,起到事半功倍的作用。
从上述分析来看,完整性分析所用仪表基本上包括实时示波器(波形测试、时序测试)、采样示波器(眼图测试、抖动测试)、矢量网络分析仪(TDR测试、频域阻抗测试、传输线损耗测试)、频谱仪(频谱测试)、误码仪(误码测试)这几种仪表,安立通讯科技除了实时示波器外其他都能提供,并且性价比高。本文重点讨论与误码仪有关的测试码型。
03
误码仪及其码型发生器
传统误码仪由2大部分构成:
1)码型发生器。
包括:时钟源(可以采用内时钟或外时钟),码型产生组件(产生需要的码型:PRBS或自定义等),信号调理前端(输出电平控制等),时钟信号前端(输出时钟电平控制等)。
2)误码检测器:
包括:时钟恢复电路(有的误码仪没有,此时需要外时钟输入),码型判决电路(从信号中判断出码型数据),错误码型检测电路(判断码型数据是否正确),码型产生组件(产生与发送端相同的码型,作为参考),误码计数器等。
以下是最简单的误码仪构成示意图:

图1:误码仪构成示意图
现代的误码仪比传统的误码仪要复杂的多,应用更加广泛,增加了抖动注入、加重、均衡、差模/共模干扰插入、噪声加入、格雷码产生等功能,以满足各种标准的要求,产生压力信号,模拟恶劣的传输环境,评估被测设备或系统的性能。
实践中,无论是设备内部和外部串行接口还是光模块内部串行数据链路,传统上应用最广泛的就是NRZ(非归零)编码的数字基带信号,如下图所示。

图2 :NRZ信号波形示意图
在这样的二进制码流中,正电平表示“1”,负电平表示“0”,每个时钟周期传输1个bit的信息,上图中的每个1和0就是一个bit。理想的测试信号是无限长的一串由1和0组成的随机产生的方波脉冲信号。但在实际应用中,这样的信号是无法进行误码检测的,因为误码检测的前提是接收码流与参考码流的对比,与发送端码流有关联的完全随机且无限长的参考码流在接收端难于产生。所以实际上都是采用有限长度的随机信号作为变通办法,同时通过各种编码规则的完善,使其接近于实际的完全随机信号。由于传输线、接头等的带宽限制,实际波形也达不到跳变沿是垂直的信号波形。实际波形如下图,上升沿和下降沿有一定坡度,是有一定时域宽度的。

图3:实际NRZ信号波形
随着大数据、云计算和物联网时代的到来,流量需求的急剧增长,光器件带宽提升越来越困难,光电转换带宽在60 Gbit/s以上出现了技术瓶颈,或许要采用新的材料及技术才能不断突破这个瓶颈,从时间与成本考虑,4级脉幅调制(PAM4)是最被看好的高阶调制方式,它将支持光互联在低成本条件下向更高速率迈进。所以在OIF-CEI-56G和IEEE新的200G/400G/800G速率光互联标准中都建议采用PAM4的信号编码制式,高速串行接口中PCIe 6.0计划采用PAM4的编码使传输速率比PCIe 5.0提升一倍。
PAM4调制方式采用4个不同的信号电平来进行数据传输,每个符号周期(0,1,2,3)可以表示2 bit的逻辑信息,因此要实现同样的信号传输能力,PAM4信号的符号速率只有NRZ信号的一半。

图4:PAM4信号波形示意图
误码仪中的码型发生器就是要产生测试需要的由1和0组成的数字基带信号串,为了能有效地测试误码,通常采用有限长度的PRBS(伪随机二进制码)和人工自定义的编码制式,需要既支持NRZ码型,也支持PAM4码型。
04
丰富的测试码型
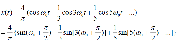
前面提到了码型发生器产生的都是0和1组成的数字基带信号,实际理想状态就是图2显示的方波信号,这样的一个方波信号,实际上是由无数个不同频率、不同幅度、不同相位的正弦波叠加而成的。其分解公式可由傅里叶变换得到,如下所示:

在上述公式中:
(1)w 0 、3w 0 、5w 0 .....nw 0 :是角频率的大小,代表不同频率的正弦波,通常称为基波频率、三次谐波频率、五次谐波频率.....n次谐波频率。
下图中,红色的正弦波就是w0,其频率与方波频率一致,是二进制比特率的1/2.

图5:方波信号分解
(2)1、1/3、1/5....1/n:是各频率分量的幅度权重,频率越高,对最终波形的影响越小。
(3)所有频率波形的起始相位都相同。
从上图中,我们可以看出,不同频率分量的正弦波信号越多,最终合成出来的波形越接近最终的方波信号。但由于7次谐波以后的频率分量对方波的合成影响很小,也由于电缆、器件、材料等带宽的影响,更高频率的信号衰减也很大,所以实际应用中,一般以五次谐波频率为其最高合成频率考量测试设备和配件的带宽。例如,要测试10Gb/s的信号,其基频是5GHz,三次谐波是15GHz,五次谐波是25GHz,所以要想让信号失真小,最好是能使用26.5GHz的同轴电缆和接头等,18GHz的电缆和接头勉强可以接受。当然,选用示波器时,也要考虑示波器的模拟带宽最好是大于25GHz。
对于NRZ信号,测试中常见的测试码型就是伪随机序列Pseudo-Random Binary Sequence,码型序列越长,越接近于随机状态。为什么叫伪随机,因为其对于信道来说,码型看上去像是随机的,没有规律的出现,但实际上的码型是由生成多项式确定了的,并且有重复周期,就是以码型长度为周期重复发送。
PRBS码型长度为 2^n^-1,最常用的n 值有:7, 9, 11, 15, 20, 23, 31,通常称为PRBS7,PRBS9,PRBS11,PRBS15,PRBS20,PRBS23,PRBS31,PRBS码型由LFSR(Linear-FeedbackShift Register)线性反馈移位寄存器和异或门(XOR)产生,其中包含最长n个连1和n-1 个连0。各种标准组织共同定义了PRBS的生成多项式,使误码测试有了统一的测试信号做依据,测试结果有了可比性,也可重复测试。
2^7^-1,长127 比特,生成多项式是: 1 + x^6^ +x^7^
2^9^-1,长511 比特,生成多项式为: 1 + x^5^ + x^9^
2^11^-1,长2047 比特,生成多项式为: 1 + x^9^ + x^11^
2^15^-1,长32,767 比特,生成多项式为: 1 + x^14^+ x^15^
2^20^-1,长1,048,575 比特,生成多项式为: 1 + x^3^ + x^20^
2^23^-1,长 8,388,607 比特,生成多项式: 1 + x^18^ + x^23^
2^31^-1,长2,147,483,647 比特,生成多项式为: 1 + x^28^ + x^31^
以PRBS31为例,显示其工作示意图(其他类推):

图6:PRBS码型发生器示意图
PRBS码型从时域来看,其重复周期最终可表示为长度比特数除以比特率,如10Gb/s的PRBS15码型,其重复周期为3.2767ms,即3276.7ns。重复周期就是305.19kHz。

所以其频谱应该如下图所示:

图7:PRBS频谱成分示意图
上图中,频谱包络的底部由比特率决定,谱线的密度由PRBS长度决定。通过图形更直观地认识PRBS,帮助我们了解测试码型,在实际工作中选择更合适带宽的测试仪表如误码仪、示波器等,也有助于选用合适的测试配件如线缆、转接头、衰减器等。
下面来看一下实测的图形:

图8:10Gb/s PRBS15 NRZ信号频谱图
上图中,左侧的是其频谱分量分布,几个包络的峰值点分别是基频5GHz、三次谐波15GHz、五次谐波25GHz、七次谐波35GHz等,后面还有很多,但随着频率越高,其幅度越小,符合前面的分析。几个谷点分别是比特率,2倍比特率,3倍比特率等等,也和图7相符。图8中右侧的图是其频谱间隔图,从标记值读出的频率间隔也是在305kHz左右,符合前面的计算值。
实测装置如下,上面的是频谱分析仪,下面的是误码仪。

图9:实测装置
在误码仪中,除了PRBS以外,还支持自定义码型,如K28.5、1010、1100、CJPAT、CRPAT等码型,在很多串行总线的物理层测试中都很常用。这些码型都比较短,在确定码型内容时都会兼顾高频码型(010,101)和低频码型(000,111)。这些码型的频谱谱线较少,频谱成分与PRBS一致,也是基频及其三次、五次谐波。
在评估时钟恢复单元的时钟恢复能力时,有时也会用到零替代码型,就是在原来的PRBS码型中插入超过PRBS本身最长的长连0或长连1,以找到时钟恢复电路的极限恢复能力。
NRZ的序列由二进制码组成,即0/1;PAM4的序列是四进制码组成,即0/1/2/3。这样一来,原来用于NRZ系统测试的长度为2 ^n^ -1的伪随机序列码型(PRBSn),在PAM4中不适合直接使用。同时,为保证0/1/2/3电平都同等被遍历到,还要取其反码,即3-x,最终改造后的码型称为PRBSnQ,“Q”的含义为四进制。
PAM4中的一个符号位携带2个bit,把PRBSxx中相邻的2bit,组成一个符号位,这样组成的码型就叫PRBSxxQ。PRBS13Q是由两段PRBS13码型进行格雷编码(0-00,1-01,2-11,3-10)后得到的长度为8191的四电平码型,PRBS31Q同样是由两段PRBS31码型进行格雷编码(0-00,1-01,2-11,3-10)后得到的长度为231-1 的四电平码型。但是PRBS31Q码太长,测试时间长;PRBS13Q码短,随机性不够强;实际测试中还有一种SSPRQ(short stress pattern random quaternary)码型。Stress,压力,随机码型越长,对链路考量越接近真实,对光模块来说压力越大,用PRBS31测试的压力就比用PRBS13测试的压力更大;Q,quaternary,四进制的,对应PAM4的4。
SSPRQ完全是人为构造的新的码型,是从传统的PRBS31码型里面选取4段对于发射机压力比较大的码型进行拼接编码而成,长度是2^16^-1,其好处是既可以对被测发射机施加足够的压力从而更加接近测试其在真实业务下的性能,又具有短码型的特征,从而使得采样示波器可以捕获整个码型进行均衡等信号处理了。SSPRQ是进行TDECQ测试的码型。

当然不是说PRBS13Q和PRBS31Q就没有用处,PRBS13Q可用来进行发射机的ER/OMA的测试,测试信号的幅度不需要随机性太强;PRBS31Q只用来进行PAM4系统灵敏度的测试。
因为SSPRQ是截取了PRBS31Q中的一部分,长度是2^16^-1,所以有些厂家也用PRBS15Q来替代,长度是2^15^-1,当然,这个随机序列没有SSPRQ更有压力感。
NRZ信号中,奈奎斯特频率是比特率的二分之一,而PAM4信号中,一个符号表示2个比特的信息,所以奈奎斯特频率是波特率的四分之一。下图是NRZ和PAM4信号频谱示意图。

图10:NRZ和PAM4频谱示意图
实测测试的PAM4信号频谱图如下:

图11:10GBaud/s PRBS15 PAM4信号频谱图
图11中,左侧的图和图8中左侧的图类似,是由于PAM4信号是由2路NRZ信号合并而成,分别是NRZ(MSB)和NRZ(LSB),2路NRZ信号的幅度不同,造成PAM4信号中的上升和下降沿更复杂,共有12种电平切换,所以其频谱分量总体和NRZ信号是相同的,频率间隔也相同,但成分更复杂,所以图11中右侧图的成分高度有差异,体现了PAM4的频谱成分比NRZ信号复杂。实际上NRZ信号也可以看作是2路NRZ信号(MSB+LSB)合成,其幅度相同,相位不同,所以图8中右侧的图谱高度一致。
前面提到用到最多的SSPRQ码型的图谱间隔更加复杂,参见下图所示:

图12 :10Gb/s SSPRQ频谱间隔图
图12中的谱线间隔差不多是305kHz的一半,是因为SSPRQ码型长度为216-1,比PRBS15长了一倍,所以其重复周期是PRBS15码型的一倍,谱线间隔就是PRBS15码型的一半了。从谱线幅度的高度可以看出其频谱成分比NRZ复杂的多。
再来看一组频谱间隔图,加深对码型的理解。

左侧是NRZ PRBS13的谱线间隔图,谱线高度一致;右侧是PAM4 PRBS13Q的谱线间隔图,谱线高度不同,表面不同成分的强弱有变化,更复杂,谱线间隔是PRBS码型的一半,这也符合其码型特征。
在实际应用中,为了适应不同速率不同标准的要求,还会采用一些编码规则对于初始产生码型进行重新编码,使其减少码间干扰,降低误码率。
格雷编码:格雷码是一个二进制数系,其中两个相邻数的二进制位只有一位不同。定义格雷编码序列,必须以0开头。给定编码总位数为n的格雷编码序列,其长度为2^n^。对于给定的n,格雷编码序列并不唯一。
预编码:预编码器是一个差分编码器,其中包含一个异或门和一个1比特延迟反馈回路。幅度调制器的功能是减0.5然后乘以2,将信号电平从“0”、“1”转换成“-1”、“1”,然后信号经过1比特延迟后产生一个电平为“-2”、“0”、“2”的三电平信号,接着再转换成“-1”、“0”、“1”。
Manchester(曼切斯特)编码:可以保证线路中码流有充分的跳变,因为它是用电平从“-1”到“+1”的跳变来表示“1”,用电平从“+1”到“-1”的跳变来表示“0”,但是这种编码方式的效率太低,只有50%,相当于用线路的有效带宽来换取信号的跳变,早期的10M以太网就是使用Manchester编码。
线路编码:100M以太网用的4b/5b编码;1000M以太网用的是8b/10b编码;10G以太网用的是64b/66b编码;PCIE 3.0用的是128b/130b编码。这些编码的目的就是让码流产生足够多的跳变。否则码流中有过多连续的高电平或低电平,接收端无法提取时钟信息。4b/5b编码其实就是用5bit的二进制码来代表4bit二进制码,编码效率是80%。其余编码效率逐级提高直到128B/130B的接近98.5%。
其实这些编码信号的频谱与原始的PRBS或PRBSQ差别不大,长度略有增加,重复周期长一点而已,要求的模拟带宽是相同的,这里不再赘述。
05
小结
本文对信号完整性分析中用到的部分测试码型进行了分析和分解,重点是NRZ和PAM4编码用到的PRBS和PRBSQ 码型,以期让相关测试和设计工程师了解数字方波信号及其编码的特征,方便对于测试工具如仪表、线缆、接头以及所用码型的选取,不当之处请广大读者斧正。