时间:2023-05-29 15:21
人气:
作者:admin
4、噪声测试方案
大部分无源探头X1档的带宽仅1M,对于噪声来说带宽太低。X10档的带宽为10M,但是X10会放大误差,造成测量值不准确。所以不建议使用无源探头进行噪声测量。
使用AC耦合方式测量时,需要将示波器输入阻抗设置为50Ω。同时在同轴线中串入一个50Ω电阻。如下图所示:

但是某些低带宽的示波器中AC耦合只有1MΩ,这样与前面的50Ω同轴线阻抗不匹配,因此需要在示波器的BNC端口在并接50Ω电阻用于阻抗匹配,如下图所示:


使用DC耦合方式同样设置示波器的输入阻抗为50Ω,连接方式如下:


如上面所说,在DC50欧时有的示波器不支持设置很大的offset,为了获得更大的示波器动态电压范围,可以添加隔直电容,利用电容的“隔直通交”特性滤除直流分量,就不再需要示波器设置offset。

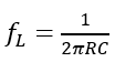
电容的大小决定着低频截止范围,等效电路模型如下图所示,C为隔直电容,R为示波器输入阻抗,Vi为输入信号,Vo为输出阻抗。此时构成了高通滤波器,又称低截止滤波器,只允许高于某一截止频率的频率通过,而大大衰减低频的一种滤波器。

图:加隔直电容后的高通滤波器等效电路
截止频率:

假设 f 为输入信号频率,则有:
当f >> fL时,A ~VL ~ ≈1 ,表示信号经过滤波器可以无衰减进行传递;
当f << fL时,A VL ~ ≈ f/ fL~ ,表示信号经过滤波器后按照十倍频的斜率衰减;
当f = f~L ~时,A VL = 0.707 ,表示信号经过滤波器后衰减0.707倍;
当 f /f ~L ~ =7时,A ~VL ~ = 0.99,表示信号经过滤波器后衰减0.01倍,即测试误差为1%;
表 不同隔直电容对应的频点

隔直电容可能不方便串入同轴线中,可以做一个隔直电容PCB,上面焊接电容,pcb的两端分别连接同轴线和示波器。


通常我们噪声的测量点会选择在受电端的滤波电容上,尽量选择最靠近受电芯片的电容。
尽量测试受电芯片在不同状态下的噪声,具体就是模拟出受电端在不同工作状态下的sink电流变化。
下一篇:rms检波器的工作原理