时间:2023-04-13 09:14
人气:
作者:admin
对于一个离开课堂十余年的射频工程师来说,傅里叶变换已经不知道埋藏在脑子里的那个角落,或者根本就没在脑子里停留过。但无论如何,傅里叶变换对现在通信的重要性还是不言而语。当我们已经习惯用频域去描述一个信号的时候,你可曾思考过其真实的样子到底是什么?为什么这几个短短的频谱就可以描述一个信号?
所以呢,我们首先得感谢傅里叶,正是傅里叶大神的天才发明,带给我们一个全新的看待问题的角度,让我们跳出时域这个圈子,站在频域的角度去看待问题。这样做又有什么好处呢?且看下文。
其实傅里叶大神在最初提出这个思想的时候,并没有想着去解决信号的问题,而是要来描述温度的变化曲线,其实当时麦克斯韦也还没有出生。傅里叶大神在1830年去世的时候,麦克斯韦还是是个躲在妈妈肚子里的小贝比呢。发明电话的那个亚历山大贝尔还要再过十几年才出生。所以,无心插柳柳成荫吧。其实傅里叶变换除了在通信上有很重要的应用,在很多领域都有着不可替代的重要性。其作为一个数学工具,已经遍布现代科技的各个角落。傅里叶大神当时在法国科学学会上发表了一篇论文,这篇论文用正弦波来描述温度变化曲线。如果只简单描述温度曲线的话也就罢啦,他出人意料的提出了一个在当时具有相当大的争议性的论断:任何连续周期信号可以由一组适当的正弦曲线组合而成。就像我们做选择题一样,太武断的答案一定是错的,所以当时人们也特别质疑过这个论断,最著名的当属两个最著名的数学家拉格朗日和拉普拉斯。当时他们哥俩是傅里叶这篇论文的审稿人。所以说当时真是个神仙打架的时代。刚好在傅里叶大神的这篇论文审查时,拉格朗日和拉普拉斯两位拉氏牛人就干起来了。拉普拉斯同意傅里叶的观点,并同意发表这篇论文,而拉格朗日则坚决反对,因为拉格朗日坚决认为,傅里叶的方法无法表示带棱角的信号。大家被高等数学里面拉格朗日的各种数学分析方法折磨,就知道,这个牛人我们惹不起,当时更没人去挑战拉格朗日的权威。因此这个论文就迟迟没有发表。直到拉格朗日去世15年之后才公布于世。
不用说,现在傅里叶的论断确实是正确的,为什么呢?因为老师说了,我们学了。那到底是不是这个回事呢?
我们先来看一下矩形信号能不能用一组适当的正弦曲线来组合而成?看下图所示,一个正弦曲线时,和矩形差远了。但是当叠加的正弦信号越来越多的时候,这个组合而来的图形就越来越方了。当有无穷多个正弦曲线组合到一起的时候,这个组合图就是矩形了。奇怪的是拉格朗日发明了无穷级数,怎么能没想到这点呢?可能是屁股决定了脑袋。





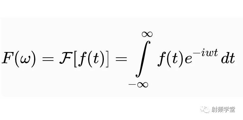
当然,人们对傅里叶的论断又做了补充和扩展。傅里叶变换就是:
f(t)是t的周期函数,如果t满足狄里赫莱条件:在一个以2T为周期内f(X)连续或只有有限个第一类间断点,附f(x)单调或可划分成有限个单调区间,则F(x)以2T为周期的傅里叶级数收敛,和函数S(x)也是以2T为周期的周期函数,且在这些间断点上,函数是有限值;在一个周期内具有有限个极值点;绝对可积。

我们先把上面这个公式抛在脑后,接着讲一下为什么是正弦曲线Sin(x)/余弦曲线?因为它简单啊。它就是一个棍在转圈圈。当一个点在绕着一个圆心做圆周运动时,其随时间变化的曲线就是正弦曲线/余弦曲线。

当我们把一组沿着不同圆周,不同圆心转圈圈的点都拉到时间轴上来的时候,其就会变得越来越方。

那跟频域有什么关系呢?
好像有没啥关系,这就是傅里叶级数吧。

没错,就是傅里叶级数,但是把傅里叶级数的求和表示成积分形式就是傅里叶变换。

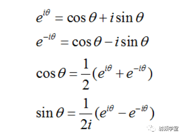
可能这里大家有点疑惑,上面傅里叶级数用的是三角函数Sin和Cos,但是下面的傅里叶变换却换成了e的指数。原因有两个,一是,太懒了,不想再编辑公式,第二个是感谢欧拉!欧拉统一了e的指数和正余弦函数:

我们继续研究上文的那个矩形曲线。我们把组成矩形曲线的这些正弦曲线铺开放平,就可以观察到它的频域方向。从频域方向看过去,就是一个个一定幅度的固定在某一频率上的线。从频域方向看过去,所有都静止了,没有时间了。也就是说,我们通过傅里叶变化,把信号从时域空间搬到了频域空间。

就像我们之前讨论电磁波的三要素一样,这个频域信号也具有同样的三要素:幅度,频率和相位。幅度就是信号的强弱,或者是傅里叶级数里面的an,频率就是里面的
,相位就是信号的初始位置。
至此,我们就把信号从时域空间搬运到了频域空间,而且两个空间所描述的信号是一模一样的,就像一个人有两个名字一样,刘备和刘玄德都是指的同样一个人。频域里的信号和时域里的信号一样。所以,有时候分析一个信号,我们可以用频谱分析仪去看它的频谱,也可以用示波器去看它的波形一样。

那么只要是满足狄里赫莱 条件的信号,都可以用傅里叶变换把其从时域变换到频域。因为它都可以分解成一系列合适的正弦曲线的组合。

比如像FM调制的信号,其时域波形和频谱如下图所示。

审核编辑:刘清