时间:2023-05-06 09:55
人气:
作者:admin
超二代像增强器是微光夜视仪的核心器件,它采用双近贴聚焦电子光学系统结构,与二代倒像式像增强器采用的静电聚焦电子光学系统结构相比,具有体积小、重量轻、性能更好等优点。它的工作原理是光电阴极将来自目标的微弱光学图像转换成电子图像,电子图像经过微通道板放大,再经阳极高压加速激发荧光屏发光,转换成亮度增强了的光学图像,最后经过光纤面板输出窗输出。超二代像增强器的主要性能指标有分辨力、信噪比及增益。其中,分辨力是指分辨目标细节的能力,定义为把规定对比度的标准条纹图案投射到光阴极上,在荧光屏上所能分辨的最高线对数。分辨力的高低表征了像增强器成像效果的清晰度,将直接影响夜视整机系统的观测距离、响应速度和识别精确度。
目前,微光像增强器行业技术领军队伍主要是美国和法国,其中美国L3 Harris Technologies公司及其控股公司的市场占有率超过了50%,法国Photonis公司紧随其后,占有率达到23%。全球市场份额前5位的公司分别来自美国、法国、俄罗斯和中国。北方夜视技术股份有限公司(简称“北方夜视”)是我国唯一一家具备微光像增强器量产能力的企业。为了提高国内夜视装备作战能力,急需提高夜视装备核心器件——微光像增强器的分辨力水平,达到或优于国际先进水平。
据麦姆斯咨询报道,近期,北方夜视技术股份有限公司与微光夜视技术重点实验室的联合科研团队在《红外技术》期刊上发表了以“超二代像增强器分辨力提高方法”为主题的文章。该文章第一作者和通讯作者为李廷涛工程师,主要从事真空光电器件的研究工作;通讯作者为李晓峰正高级工程师,主要从事真空光电器件的研究工作。
本文从理论出发,全面分析影响超二代像增强器分辨力的因素种类,在对已有微通道板分辨力提高研究的基础上,提出了能够提高超二代像增强器分辨力的可行性技术方案。通过实验验证和对比,得到能够有效提高分辨力的方法,最终实现超二代像增强器分辨力的提升,达到国际先进水平。
理论分析
超二代像增强器的双近贴聚焦结构如图1所示。图中:d₁表示阴极近贴距离;d₂表示阳极近贴距离;Vcm表示阴极与微通道板之间的电压;Vₘₛ表示微通道板与荧光屏间之间的电压。

图1 超二代像增强器结构示意图
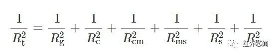
超二代像增强器的分辨力由阴极输入窗、多碱光电阴极、阴极聚焦(光电阴极至微通道板输入面)、微通道板、阳极聚焦(微通道板输出面至荧光屏)、荧光屏、光纤面板输出窗的分辨力所决定,故超二代像增强器的分辨力计算公式也与以上因素有关。

阴极输入窗为玻璃,其分辨力远超其他部件,可等效于无穷大。代入超二代像增强器分辨力公式后,其平方的倒数趋近于零,故不需考虑阴极输入窗分辨力对超二代像增强器分辨力的影响。多碱光电阴极的厚度只有0.2 μm左右,对超二代像增强器分辨力的影响较小,因此,也不需考虑光电阴极分辨力的影响。
阴极聚焦分辨力与光电阴极和微通道板间的电压成正比,与阴极近贴距离成反比。在极间电压不变的情况下,通过减小并精确控制阴极近贴距离可提高阴极聚焦分辨力。
微通道板分辨力与通道孔径成反比。微通道板的每一根通道相当于一个像素,要提高微通道板的分辨力,最直接的途径就是进一步减小微通道板的通道孔径。但是,由于有最佳长径比的限制,通道孔径的减小将迫使微通道板的厚度也随之减小。这会导致微通道板在生产和使用过程中极易发生变形和破裂,意味着制造难度的增加以及制造成本的上升,所以目前使用的微通道板最小孔径为5 μm,并且有逐步取代6 μm微通道板的趋势。
同时,微通道板的分辨力还与倍增电子的出射角度有关。电子从微通道板出射后,微通道板输出电子如图2示,其出射方向与法线有一定夹角,其速度除了有微通道板轴向分量,还有横向分量,横向分量不受微通道板与荧光屏间的静电场作用,因此,电子以抛物线轨迹发散,在荧光屏上形成一个弥散斑,最终造成图像模糊,降低了器件分辨力。电子出射角度越大其横向散射就越大,弥散斑越大,器件分辨力越低。在微通道板孔径一定的条件下,通过采取一些行之有效的方法来减小微通道板出射电子角度和降低微通道板出射电子横向散射是提高微通道板分辨力的有效途径。关于这方面研究很多,其中也包括了微通道板的末端损失技术,即在微通道板的输出端镀制防电子弥散膜。该项技术的核心是在微通道板的输出电极上覆盖一层逸出功更高的金属膜层,微通道板输出电极镀膜如图3示,该膜层对进入通道的部分出射电子起准直的作用,由此来减小微通道板输出电子的散射角,从而提高微通道板的分辨力。

图2 微通道板输出电子示意图

图3 微通道板输出电极镀膜示意图
阳极聚焦分辨力与微通道板和荧光屏之间的电压成正比,与阳极近贴距离成反比。通过增加微通道板与荧光屏之间的电压或减小阳极近贴距离来提高微通道板与荧光屏之间的场强,都可以提高阳极聚焦分辨力。但是,该方法也会导致微通道板、荧光屏、绝缘介质及金属件出现放电、击穿等疵病的概率增加,造成超二代像增强器失效。目前通过提高绝缘介质的介电强度,消除壳体内部金属件的尖角和毛刺,能够在一定程度上降低像管壳体放电比例。但是荧光屏边缘倒角及柱面位置处的铝膜在微通道板与荧光屏之间的场强进一步提高后容易导致翘起并放电,而现有的荧光屏制作工艺暂时还无法解决这一问题,需要研究新的荧光屏制作工艺。权衡像增强器性能提升与生产成本之间的关系,同时参考业内相同产品的设计尺寸后,确定了较为适宜的参数组合,即将阳极近贴距离d₂设定为0.6 mm,微通道板与荧光屏之间的电压Vₘₛ设定为6000 V。
对荧光屏分辨力产生较大影响的因素有:荧光粉颗粒度、粉层厚度和铝膜厚度。由于分辨力及发光效率两个性能参数的相互制约,需选用颗粒度适中的荧光粉,并且粉层厚度和铝膜厚度也需要优化匹配。根据相关报道得知,对于粒度为3~5 μm,粉层厚度为8~10 μm的荧光屏而言,其分辨力≥l00 lp/mm。目前,批量制造的荧光屏所用荧光粉粒度为2~4 μm,荧光屏粉层厚度为6~7 μm,铝膜厚度为60~80 nm。该工艺制作的荧光屏使用在一代像增强器(没有使用微通道板的静电聚焦结构像增强器)时,其分辨力可达到l44 lp/mm。在超二代像增强器中使用相同工艺制作荧光屏时,该荧光屏的分辨力远大于超二代像增强器的分辨力,故荧光屏分辨力可以忽略不计。
光纤面板输出窗的分辨力与光纤面板的丝径有关。光纤面板的丝径与分辨力关系可用微通道板分辨力计算公式表示。光纤面板的每一根纤维相当于一个像素,要提高光纤面板的分辨力,最直接的途径就是进一步减小光纤面板的丝径。但是,丝径的减小意味着制造难度的增加以及制造成本的上升。通常使用的光纤面板的丝径为6 μm。近年来,随着制造技术的进步,4 μm光纤面板的制造工艺也逐渐成熟。
由以上影响因素的分析结果可知,阴极输入窗及多碱光电阴极的分辨力可忽略不计。由于制作工艺及条件的限制,荧光屏分辨力及阳极聚焦分辨力进一步提高的条件还不成熟。因此,通过减小阴极近贴距离、减小微通道板通道孔径、减小光纤面板输出窗丝径以及对微通道板镀制防电子弥散膜的方法来达到提高超二代像增强器分辨力的目的。
实验验证
阴极近贴距离
阴极近贴距离精确控制的理论值主要是通过下述步骤得到:首先,车削微通道板的装配面,将微通道板装配面的平面度控制在0.01 mm以内。然后,将阴极输入窗台阶高度尺寸及微通道板厚度尺寸固定。最后,以微通道板装配面为基准车削阴极输入窗封接面,将管壳车铟尺寸的公差控制在0.01 mm以内。但是,由于热铟封工艺的影响,实际的阴极近贴距离与计算得到的装配控制距离存在一定的偏差。解决实际阴极近贴距离精确控制的方法是:在超二代像增强器制作完成后,通过专用设备精确测量出实际的阴极近贴距离,通过大量阴极近贴距离测试数据的积累,掌握偏差量的变化范围,反推出改进的管壳车铟尺寸。最终将阴极近贴距离控制在0.08~0.10 mm的范围内。
阴极近贴距离测试的原理是使用专用设备发出一束波长为900~1000 nm的近红外单色光照射超二代像增强器的阴极输入窗,通过可上下调节的低照度COMS相机聚焦超二代像增强器阴极输入窗的电极,当图像最清晰时,记录下此时的聚焦位置Z₁;向下调节低照度COMS相机并聚焦至微通道板的输入面,当图像最清晰时,记录下此时的聚焦位置Z₂。阴极近贴距离d₁=Z₁-Z₂。在每支超二代像增强器的阴极输入窗表面上互为120°的位置测试3个阴极近贴距离参数(分别记为:位置1、位置2、位置3),取平均值作为该支超二代像增强器的阴极近贴距离。
通过以上对超二代像增强器分辨力影响因素的分析,可固定以下分辨力提高实验的条件:阴极输入窗采用玻璃窗、阴极与微通道板之间的电压Vcm为-200 V、微通道板与荧光屏之间的电压Vₘₛ为6000 V、阳极近贴距离d₂为0.6mm、荧光屏采用现行工艺制作。
使用6 μm光纤面板,6 μm微通道板,阴极近贴距离的理论装配值为0.15 mm时,超二代像增强器分辨力的测试值为57 lp/mm。距离理论值为0.15 mm时,超二代像增强器阴极近贴距离及分辨力测试数据见表1。
表1 超二代像增强器阴极近贴距离及分辨力测试数据(距离理论值为0.15 mm)

使用6 μm光纤面板,6 μm微通道板,阴极近贴距离的理论装配值为0.12 mm时,超二代像增强器分辨力的测试值为60 lp/mm。距离理论值为0.12 mm时,超二代像增强器阴极近贴距离及分辨力测试数据见表2。
表2 超二代像增强器阴极近贴距离及分辨力测试数据(距离理论值为0.12 mm)

使用6 μm光纤面板,6 μm微通道板,阴极近贴距离的理论装配值为0.08 mm时,超二代像增强器分辨力的测试值为64 lp/mm。距离理论值为0.08 mm时,超二代像增强器阴极近贴距离及分辨力测试数据见表3。
表3 超二代像增强器阴极近贴距离及分辨力测试数据(距离理论值为0.08 mm)

由以上3个实验的结果可知,在其他实验条件相同的情况下,随着阴极近贴距离的缩小,超二代像增强器的分辨力逐渐提高。超二代像增强器的分辨力与阴极近贴距离的关系如图4示。如果想通过不断地缩小阴极近贴距离来提高超二代像增强器的分辨力,会导致多碱光电阴极与微通道板之间出现放电、击穿等疵病的概率增加,造成超二代像增强器失效。

图4 分辨力与阴极近贴距离关系
光纤面板丝径
根据光纤面板输出窗分辨力计算公式,当光纤面板的丝径缩小到4 μm时,其分辨力理论值为144.3 lp/mm。使用4 μm光纤面板,6 μm微通道板,阴极近贴距离的理论装配值为0.08 mm时,超二代像增强器分辨力的测试值为68 lp/mm。不同丝径光纤面板的超二代像增强器分辨力测试数据见表4。
表4 不同丝径光纤面板的超二代像增强器分辨力测试数据

微通道板
在保证最佳长径比的情况下,目前微通道板通道孔径可以缩小到5 μm。根据微通道板分辨力计算公式可得,微通道板的通道孔径为5 μm时,其分辨力理论值为115.5 lp/mm。使用4 μm光纤面板,5 μm微通道板,微通道板镀输出防电子弥散膜,阴极近贴距离理论装配值为0.08 mm时,超二代像增强器分辨力的测试值能达到72 lp/mm。不同微通道板状态下超二代像增强器分辨力测试数据见表5。
表5 不同微通道板状态下超二代像增强器分辨力测试数据

综合验证
通过综合减小阴极近贴距离、减小微通道板通道孔径、减小光纤面板输出窗丝径以及对微通道板镀制防电子弥散膜的方法,超二代像增强器分辨力最高值达到了76 lp/mm,比原有超二代像增强器的分辨力提高了33.33%。实验前后超二代像增强器分辨力测试数据见表6。
表6 实验前后超二代像增强器分辨力测试数据

结论
在固定阴极输入窗、光电阴极、阳极近贴距离及荧光屏制作工艺的前提下,可以通过减小阴极近贴距离、减小微通道板通道孔径、减小光纤面板输出窗丝径以及对微通道板镀制防电子弥散膜的方法来提高超二代像增强器的分辨力:
1)使用相同类型的微通道板和光纤面板输出窗,并保证微通道板装配面与阴极输入窗封接面之间平行差≤0.01 mm的前提下,阴极近贴距离由0.15 mm缩小到0.12 mm,超二代像增强器分的辨力可以提高3 lp/mm,阴极近贴距离由0.12 mm缩小到0.08 mm,超二代像增强器的分辨力可以提高4 lp/mm。将3个阴极近贴距离条件下测得的分辨力值代入分辨力计算公式中,可求得阴极聚焦分辨力计算公式中的系数K值,系数K的平均值为1.107。
2)当阴极近贴距离固定为0.08 mm,将光纤面板输出窗的丝径缩小为4 μm时,超二代像增强器的分辨力又可以进一步提高4 lp/mm。
3)当阴极近贴距离固定为0.08 mm,光纤面板输出窗的丝径为4 μm,微通道板丝径缩小为5 μm且输出面镀制防电子弥散金属膜时,超二代像增强器的分辨力又可以进一步提高4 lp/mm。
4)综合以上影响因素,超二代像增强器的分辨力最高达到76 lp/mm,比原有超二代像增强器的分辨力提高了33.33%。
5)随着材料性能的提升和制作技术的不断进步,可以进一步提高荧光屏与微通道板之间的场强,从而进一步提升超二代像增强器的分辨力。
这项研究获得了的国家自然科学基金(11535014)资助和支持。
编辑:黄飞
上一篇:测量射频器件噪声系数的三种方法