时间:2023-02-20 18:20
人气:
作者:admin
电源纹波产生原因
我们常见的开关电源,是输入的交流电压经过整流、稳压、滤波等处理后得到的,虽然经过了处理,但直流电平上还是会有周期性和随机性的杂波信号,这些我们不需要的部分就是纹波。 开关电源的纹波是随机信号,随着时间变化在直流输出电平上来回波动的交流量,周期和幅值不是固定的。 这里需要和电源噪声相区别,电源噪声一般是指全带宽下输出电压上叠加的交流量。电源纹波是低频噪声,测量需要将带宽限制在20MHz,而电源噪声测量需要将带宽限制取消,全带宽测量。 为什么电源纹波是低频?这是因为整个电源分配网络上分布着不同容值的电容,产生着寄生效应,形成了类似于低通滤波器,所以电源的高频分量不高。
电源纹波的危害
实际的产品运行中,纹波是需要我们注意管控的部分,那纹波有哪些危害:
①降低电源的使用效率
②干扰电路的逻辑关系
③加大设备的错误运行几率
电源纹波的测量
既然纹波存在危害,那我们需要做什么测试,来保证纹波的影响符合产品设计要求。
测量要求
纹波测量有环境要求,除了我们常说的温湿度,即室温(20℃左右)和湿度(<80%),还有测试产品放置时间(≥24H),震动和电磁干扰小等要求。不同的环境会测出不同结果,当然不同的产品有不同的标准。比如,产品是否需要做负载测试。消费类产品,不做负载测试,这是有区别的。
测量标准
电源纹波的测量方法通常分为两类,一类是单独电源的测量,另一类是产品的调试测量。纹波电压可以用绝对量表示,也可用相对量来表示。常用的就是纹波系数,纹波电压与直流输出电压的比例,就是纹波电压的有效值与直流输出电压的百分比,来评估直流电源的滤波性能。一般测试纹波的标准是≤5%。
测量点的选择
测量点选择可以从下面的方向考虑:
①选取靠近负载且离电源源端较远的去耦电容
②尽量选取封装小的电容(0201)
③不同容值要保证有测试点
测量注意点
①带宽选择
在测量时,要先打开示波器的带宽限制功能,把带宽限制在20MHz,避免高频噪声影响纹波测量。用探头的屏蔽地和输出地连接,减少因地线过长产生的环路干扰。
在探头的正负极之间,并联一个0.1uF的电容,这也是限制带宽的一种方法,用于滤除高频信号。
②探头接地处理
保证探头接地尽量短。探头都有一个接地夹,它与探头正极形成的环路,环路面积越大,其他信号分量就越多,噪声辐射到信号的回路中的可能性越大,导致错误的测试结果。
还有一种说法,如果板子上的高频信号穿过,会在示波器上形成比噪声信号还要大的电压,因此测量纹波这种小信号时,一定要保证这个环路越小越好。
探头测试纹波的时候,地线的处理都尤为关键,否则会通过地线引入不必要的噪声。最好的缩短接地路径的方法是用接地环。
③探头的档位选择
探头有X10和X1档位,电源纹波测试选择X1。这是因为如果使用10X探头,信号在探头先衰减10倍,进入示波器后再放大10倍。对于小信号而言,衰减10倍后,这部分信号很有可能就隐藏在底噪里面了。
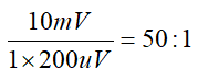
示波器输入信噪比计算公式:

假设我们输入一个10mV随机输入信号,也可能是噪声。这时候示波器的随机噪声是200uV,代入信噪比公式。
10X衰减探头的SNR:

1X衰减探头的SNR是:

由此可以看出,1X探头能获得更好的信噪比,也就更能准确还原低频信号。
电源纹波的抑制
抑制电源纹波的通常方法:增加滤波电容、减小器件的寄生电容、采用多级滤波电路、合理布局布线等。
编辑:黄飞