时间:2022-11-11 12:49
人气:
作者:admin
撰稿 | 广东工业大学 喻张俊 副教授(论文一作) & 杨军 教授(通讯作者)
01 导读
偏振消光比(PER)是保偏光纤及其器件的重要性能指标,反映了光纤与器件的偏振特性保持能力。在高精度光纤陀螺等对偏振纯度要求极高的应用场景中,多功能集成波导调制器(简称Y波导)等器件的PER超过80dB,比普通光纤起偏器(PER一般不超过40dB)的性能要求高4个数量级;此外,随着反谐振型空芯光子晶体光纤的提出和性能的快速提升,PER性能已经达到100dB/m以上。因此,亟需攻克100dB以上超高性能分布式偏振测量方法与技术,实现对上述保偏光纤及偏振器件的性能评价、缺陷分析与故障诊断。而目前,基于白光干涉原理的光相干域偏振测量技术(Optical Coherence Domain Polarimetry, OCDP)虽可达到100dB的分布式偏振测量性能,但由于它采用了低功率密度的宽谱光源和机械扫描型光程延迟线,其测量性能已达到理论极限,并且还存在测量速度慢、装置结构复杂等缺点,难以满足超高精度的测试需求、亟需突破。
针对超高分布式偏振消光比测量需求,近期广东工业大学先进光子技术研究院提出了光频域偏振(Optical frequency domain polarimetry, OFDP)测量方法,目的是突破现有分布式偏振消光比测量方法PER100dB的理论极限。OFDP测量技术采用窄线宽、大范围调谐的激光光源,借助于非平衡时延干涉仪和相干检测技术,通过对光源扫频非线性和相位噪声的抑制,实现了将分布式偏振消光比测量能力从目前OCDP最优的100dB提升至110dB,并有突破120dB的潜力。研究成果以“Optical Frequency Domain Polarimetry for Distributed Polarization Crosstalk Measurement beyond 110 dB Dynamic Range”为题发表在Optics Letters上,广东工业大学喻张俊副教授为论文第一作者,杨军教授为论文的通讯作者。
02 研究背景
由内部缺陷或外部应力导致的偏振串扰会劣化光子集成芯片或者保偏光纤的传输性能。偏振串扰不仅增大了传输损耗、改变了偏振相关损耗,导致光路中发生不必要的干涉,还能引起额外的非线性效应。分布式偏振消光比测量能够定位偏振串扰的发生位置并确定发生强度,还能进一步提取分布式消光比特性,从而帮助我们评估器件质量和改进器件制备工艺。高性能器件和光纤的出现,对分布式偏振消光比测量的动态范围性能提出了很高的要求,有必要发展一种超宽量限的分布式偏振消光比测量方法,来满足日益增长的器件测试需求。
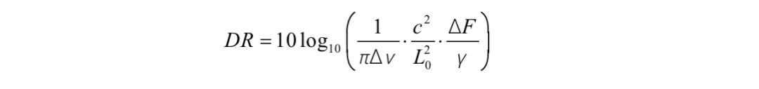
03 创新研究 3.1 光频域偏振计的偏振消光比测量能力 光频域偏振计主要由可调谐激光光源、待测器件、时延干涉仪三个部分组成,如图1所示。光源发出的线性扫频激光经过不同传输路径最后在探测器汇合后,会产生频率与光程差呈正比的干涉拍频信号。将问询光注入待测保偏器件的一个偏振主轴后,不同位置发生的偏振串扰光就能与问询光产生这样的干涉拍频信号。通过拍频信号的频率,能够确定串扰发生的位置,通过拍频信号的强度,能够确定串扰发生的强度。通过干涉移频,时延干涉仪起到了调控测量动态范围的作用。经过理论分析与实验验证,我们发现光频域偏振计的测量动态范围可以表示为,

其中,Δν,ΔF,和γ分别是光源的线宽、扫频范围、和扫频速率,c是真空中的光速,L0是时延干涉仪的光程差。从图2的实验结果可以看出,通过调控光源扫频速率和时延干涉仪的光程差可以实现110dB动态范围的偏振消光比测量。

图1 光频域偏振计的偏振串扰发生过程与延迟相干探测原理 图源: Optics Letters (2022). https://doi.org/10.1364/OL.468893 (Fig. 1)

图2 光频域偏振计的动态范围与光源扫频范围、扫频速率、以及时延干涉仪光程差之间的关系 图源: Optics Letters (2022). https://doi.org/10.1364/OL.468893 (Fig. 5) 3.2 超高偏振消光比Y波导测试应用 使用优化后的扫描参数和干涉仪光程差,搭建了如图3所示的OFDP光路系统,对一个超高消光比的铌酸锂Y波导芯片的分布式偏振串扰进行了测试,测试结果如图4所示。得益于动态范围超过110 dB的OFDP系统,我们甚至看清了该波导内部偏振消光比为105dB的偏振串扰特征(Cy1)。

图3 光频域偏振计的光路结构图 图源: Optics Letters (2022). https://doi.org/10.1364/OL.468893 (Fig. 3)

图4 超高消光比铌酸锂Y波导的分布式偏振串扰测试结果 图源: Optics Letters (2022). https://doi.org/10.1364/OL.468893 (Fig. 6)
04 应用与展望
总之,我们提出了一种新颖的分布式偏振消光比测量方法——光频域偏振计(OFDP)。待测器件中的偏振串扰分布通过一个可调谐激光器和延迟干涉光路构成的波长扫描干涉仪进行测量。首先,研究了一个相噪受限的OFDP系统的动态范围与光源的波长/频率扫描范围、光源的扫描速度、以及延迟干涉仪的光程差的关系;其次,使用优化后的扫描速度和光程差,实现了110.52dB的动态范围;进一步,测量了一个超高偏振消光比的铌酸锂波导调制器的分布式偏振串扰。得益于OFDP的超大动态范围,首次观察到了波导中-105dB的偏振串扰特征。在未来,OFDP将在高性能偏振光纤与器件的研发与制造中发挥巨大的作用。
05 作者简介
喻张俊 (论文一作)副教授/硕士生导师 喻张俊,副教授,广东工业大学信息工程学院副教授,硕士生导师。在哈尔滨工程大学获学士及博士学位,师从杨军教授。攻读博士期间获国家留学基金委资助赴新加坡南洋理工大学(NTU)王岐捷教授课题组联合培养。研究方向:分布式光纤测试与传感,光纤陀螺器件检测等。主持科技部重点研发计划课题与子课题各1项、军委科技委173重点项目子课题1项、以及国家自然科学基金委青年基金1项,发表SCI论文20余篇,申请PCT国际专利2项,授权中国发明专利5项,申请中国发明专利15项,合著英文学术专著章节1章,获黑龙江省技术发明奖一等奖1项。
杨军 (论文通讯作者)教授/博士生导师 杨军,二级教授,博士生导师。国家杰出青年基金、国家基金委优秀青年基金、教育部新世纪人才获得者。装发某领域专业组专家,中国光学工程学会理事、光学工程学会光纤传感专家工作委员会委员,中国光学学会光电技术专委会委员、纤维光学与集成光学专委会委员,全国光电测量标准化技术委员会(SAC/TC487)委员。长期从事光纤传感技术研究与测试仪器研发,主持国家重大科研仪器研制、国家重大科学仪器设备开发专项(任务)等项目,研发了多种高性能分布式光纤偏振、损耗仪,解决了高精度光纤器件性能评价与故障诊断等难题;发表学术论文250余篇,授权发明专利110余项,合著学术专著2本;获黑龙江省科技奖自然科学类、技术发明类、科技进步类一等奖各1项,教育部技术发明二等奖2项,第十二届黑龙江省青年科技奖。
文章信息: Zhangjun Yu, Qinqin Zhuang, Yuhao Lin, Yicheng Lin, Cuofu Lin, Bowei Rang, Yonggui Yuan, Jun Yang, Kunhua Wen, Pengbai Xu, Yuncai Wang, and Yuwen Qin, “Optical Frequency Domain Polarimetry for Distributed Polarization Crosstalk Measurement beyond 110 dB Dynamic Range,” Optics Letters 47(16), 4271-4274 (2022).
论文地址: https://opg.optica.org/ol/abstract.cfm?uri=ol-47-16-4271 https://doi.org/10.1364/OL.468893
编辑:黄飞