时间:2021-05-07 16:09
人气:
作者:admin
源测量单元(SMU)仪器在单个仪器中集成了精密电源(PPS)和高性能数字万用表(DMM)的功能。例如,SMU仪器可以在测量电流的同时提供或吸收电压,并在测量电压的同时提供或吸收电流(_图1_)。它们可用作独立的恒定电压或恒定电流源,独立的电压表,电流表和欧姆表,以及精密电子负载。它们的高性能架构还允许将它们用作脉冲发生器,波形发生器和自动电流-电压(IV)表征系统。

基本的SMU仪器拓扑。
由于SMU仪器具有同时发出和测量信号的能力,因此非常适合广泛的测试和测量应用(请参见侧栏)。与使用单独的仪器来处理每个功能相比,这种同时进行的操作可缩短测试时间,简化连接,提高准确性,简化编程并降低拥有成本。它们的紧密集成使他们能够保护被测设备(DUT)免受意外过载,热失控和其他危险所造成的损坏。这也使SMU仪器成为表征和测试半导体器件以及其他非线性器件和材料的理想选择。如以下示例所示,SMU被广泛用于台式研发和基于机架的生产测试环境中。
电阻率测试
材料的电阻率决定了它传导电流的程度,具体取决于包括材料的掺杂和加工以及环境因素(例如温度和湿度)在内的因素。材料的电阻率会影响由其制成的设备的特性,例如其串联电阻,阈值电压,电容等。根据电阻的大小,材料的形状和厚度,可以使用各种确定电阻率的方法。四点共线探头是测量包括半导体材料和导电涂层在内的薄而扁平的材料的电阻率的常用方法。该技术涉及使四个等间距的探头与电阻未知的材料接触,从而在外部的两个探头之间施加直流电流,并测量内部两个探针之间的电压差。电阻率是根据几何因素,源电流和电压测量值计算得出的。由于SMU(图2_)可以提供电流,测量电压并配置为显示电阻或电阻率结果,因此该仪器非常适合该技术。
使用带有Lucas / Signatone公司(加利福尼亚州吉尔罗伊)的SP4 4点探针头和S-302测试台的Model 2450SourceMeter®SMU仪器测量透明导电涂层的电阻率。
在这种四点共线探针电阻率测量技术中,将安装在探针头中的探针轻轻地放置在晶片的中心,如图3_所示。

四点探针电阻率测试电路。
两个外部探头(1和4)提供电流;两个内部探头(2和3)测量整个样品表面上的电压降。
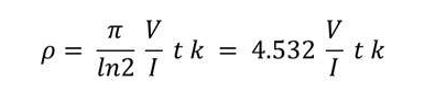
材料的体积或体积电阻率(ρ)可以计算如下:

其中:
ρ=体积电阻率(Ω-cm)
V =在探头2和3之间测得的电压(电压)
I =源电流的大小(安培)
t =样品厚度(cm)
k =基于校正因子探针与晶圆直径的比率以及晶圆厚度与探针分离的比率
然而,对于诸如薄膜和涂层的材料,代替地确定薄层电阻或表面电阻率,其没有考虑厚度。薄层电阻(σ)的计算公式如下:

其中:
σ=薄层电阻(Ω/平方或仅Ω)
注意,薄层电阻的单位以Ω/平方表示,以避免与测得的电阻(V / I)混淆。
许多SMU在其电阻测量功能中提供了内置的技术,这些技术使用户可以补偿电压偏移并提高测量精度。失调补偿技术包括在提供0A电流时进行电压测量,然后从在所需测试电流下获得的电压读数中减去该值。当前的反转技术虽然与偏移补偿方法相似,但可提供更好的信噪比。该技术通过使用相反极性的源电流进行两次电压测量来消除电压偏移。将这两个测量值平均后,可以从最终读数中通过数学方法消除电压偏移。可以对最新的SMU进行编程,以自动从测得的电阻计算以欧姆/平方为单位的电阻率,如图6_所示。

最新的SMU可以自动计算并显示样品的测得电阻和电阻率。
如果所使用的SMU具有三同轴连接,则在表征较高阻抗材料时应使用这些连接。因为三同轴电缆是屏蔽的,所以它们减少了静电干扰的影响,静电干扰可能会导致噪声读数。探头和被表征的材料也应进行静电屏蔽。光敏材料在测量过程中也将需要遮光。
充电电池充/放电循环
通常使用放电和充电循环来测试可充电或二次电池的特性。循环测试可提供重要信息,例如有关电池内部化学成分,容量,可用循环数和寿命的信息。在生产测试中,经常执行放电/充电循环以验证电池规格并确保其没有缺陷。尽管典型的电池放电/充电测试设置可能包括可编程电源,电子负载,电压表和电流表,但SMU可以提供更简单的选择,因为它可以提供/吸收电流,以及测量电压和电流。SMU可以通过提供电流为电池充电,通过消耗功率使电池放电,并监视电池的电压和负载电流。
恒定电流充电和放电的速率取决于电池的容量(电池可以存储的电量),以可用的毫安时(mAh)表示,应以放电或负载的形式表示, 当前的。放电电流在一小时内将整个电池放电的速率称为C速率。例如,如果在1C下放电,则额定为1000mAh的电池将在一个小时内输出1000mA电流。如果500mAh电池以50mA的电流放电,则其放电速度为C速率(0.1C)的十分之一,因此可以在50个小时内提供50mA的电流。
对于充电和放电周期,可以将SMU配置为提供电压并测量电流。通常使用恒定电流为电池充电。这可以通过使用SMU作为电压源来完成,该电压源设置为电池的额定电压,而所需的充电电流设置为电流限制。测试开始时,电池电压小于SMU的电压输出设置。结果,该电压差会驱动电流,该电流立即限制为用户定义的电流极限。当处于电流限制状态时,SMU充当恒流源,直到达到编程的电压水平。随着电池充满电,电流将减小,直到达到零或接近零为止。为防止安全隐患或损坏电池,必须注意不要给电池过度充电。
当对电池放电时,SMU用作接收器,因为它消耗功率而不是消耗功率。SMU的电压源设置为低于电池电压的电平。电流限制设定放电速率。启用输出后,来自电池的电流将流入SMU的HI端子。结果,当前读数将为负。放电电流应保持恒定,直到电池电压降低到SMU的电压源设置为止。
要设置测试,请将SMU连接到电池,如图_图7_所示。仪表端子与电池之间采用四线或远程连接,以消除引线电阻的影响。这样可以测量电池电压,使其尽可能靠近其端子。SMU的Force HI和Sense HI输出端子连接到电池的正极,而Sense LO和Force LO输出连接到负极。

将SMU连接到电池以进行充电/放电循环。
为了说明这项技术,图8中的曲线图显示了2300mAh AA(1.2V)电池的放电特性,该放电特性由配置为使用四线连接提供电压和测量电流的SMU监控。通过使用460mA的负载电流以0.2C的速率对电池放电。每十秒钟读取一次电池电压,负载电流和相对时间,直到电池电压达到指定的水平(1V)。

2300mAh AA电池的放电特性。
除了监视读数之外,最新的SMU还可在测试进行中同时显示负载电流,电池电压和经过的测试时间(图9_)。

2450型SourceMeter SMU仪器在给AA电池放电时显示负载电流,电池电压和经过的测试时间。
结论
没有一个SMU适用于所有应用程序。确保工具与任务之间良好匹配的最佳方法是,在开始甄选过程之前,确定对工作最关键的能力,然后使用该信息来缩小候选人的范围。要了解有关SMU仪器功能的更多信息,请访问“ www.touchtestinvent.com(TouchTestInvent)”:http://www.touchtestinvent.com。
典型SMU应用
研究,设计验证,表征,性能测试,生产测试中的各种产品,设备和材料的电流/电压(IV)表征和功能测试:
编辑:hfy