时间:2020-07-22 11:07
人气:
作者:admin
通常在一些设备仪器校准或仪器校正试验中,常使用一些大型的专用电测设备,进行电信号的录取及数据处理。以往,对这类非标准设备的计量检定或校准,多采用更高精度的通用电子测量仪器作为其参考标准。但是,随着设备系统的发展,鉴定试验用测试设备的精度也越来越高,有些与现有的计量参考标准精度相当。若仍采用目前的计量标准对这些电测系统进行校准,就必须考虑参考标准的测量不确定度,以及在此情况下被测系统扩展不确定度的估计方法。我们将就此问题进行讨论与分析。
新的不确定度估计方法
1.一般被测系统的不确定度估计
对于不确定度的估计可采用测量列结果的统计分布估计,并以实验标准偏差表征。同时,也可采用基于经验或参考标准仪器信息的假定概率分布估计。当参考标准与被校准系统精度相当时,测量结果统计分布估计的测量次数(样本量)引起的误差,以及参考标准自身的不确定度带来的误差将被考虑。
新的不确定度估计方法是将参考标准与被校准系统同时对一设定的电参量进行重复测量,参考标准已经上一级计量检定合格,测量标准值在其技术指标所规定的置信区间内,测量结果符合正态分布,于是有不确定度

式中:t是所给置信概率下置信区间的包含因子;
σRef是参考标准正态分布的总体标准偏差,此参数可由技术指标中所给的扩展不确定度求得;
k是样本量修正因子,它是指在与σRef相同的置信概率的情况下,由于有限次测量而对应置信区间包含因子的修正值;
SDUT是被校准系统统计测量的实验标准偏差;
δ是参考标准与被校准系统统计测量的样本均值之差。
公式(1)推导如下:
设X1, X2分别为参考标准及被校准系统(DUT)的测量读数,X2的测量误差可简单表示为X1- X2。首先考虑用标准偏差来表示的标准不确定度,对于扩展不确定度,只需在各自分布的方差前乘以置信因子。
由概率论正态分布的定义可知,方差σ2就是无穷多次测得值误差平方的平均值。有:
又因为不确定度可用测量结果的统计分布来评价,对于正态分布可用标准偏差来表征。于是有:

在式(1)中σRef是由参考标准技术说明书中的扩展不确定度按B类标准不确定度计算而得。而对于大多数电子仪器公司如HP , Fluke和Datron/Wavetek,它们给出的不确定度指标其置信概率均为99.7%,其置信区间半宽度包含因子为3。当采用这些公司的仪器作参考标准时,测量结果不确定度的置信概率也要求与之相当。而由于在实际测量中,测量次数有限,SDUT不是σ的无偏估计,当与参考标准不确定度取相同的置信概率时,必须对被校准系统的合成标准不确定度的置信区间半宽度进行修正。即SDUT乘以修正因子K。表1给出了95%和99%置信概率下,各种测量次数时k的取值。
例如:当参考标准的不确定度其置信概率为95%时,相应的置信区间半宽度为2σ。而实际测量次数为l0次,此时公式(1)中的K就不能为2,而应该是3.38.由公式(1)的推导可知,公式(1)的计算结果实际上表征了被测系统的扩展不确定度,其包含因子为3,置信水平为99.7%。由于被校准系统本身也是测量系统,因此用扩展不确定度比采用合成标准不确定度来描述更为恰当。
几种特殊情况下不确定度的计算
在实际工作中,对于被测系统而言,虽然总是存在实验标准偏差。但有时由于被测系统显示位数的限制,在统计测量时,并不能观测得到。此时,公式(1)中的SDUT=0。而对于参考标准而言,即使统计观测结果的实验标准偏差为零,在公式(1)中的σRef仍将根据其技术指标所给扩展不确定度及置信概率进行计算。参考标准及被测系统的统计测量数据主要是用于获得δ值。在这种情况下,公式(1)变为:
另一种情况是有时采用的参考标准,其技术指标所给出的扩展不确定度的置信概率为100%(如SimposonElectric公司等)。由此推算出的合成标准不确定度不是建立在统计测量基础上的,而是理论上的不确定度额定值。它实际上给出了测量标称值一定在其置信区间的最大误差极限。此时,公式(1)中的第一项被δ项取代。公式((1)变为:

式中的δ是被测系统统计测量的算术平均值与参考标准统计测量数据中的最大值之差。
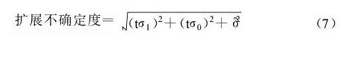
对于数据传输系统以及信号放大器系统,一般来讲其本身不显示测量结果,但有时要求给其数据传输或放大倍数的扩展不确定度。此时在该类系统的输入及输出端分别并接参考标准,同时读取测试结果。
对于有一定增益的放大器,将测试结果经归一化处理后,按下式计算信号放大器系统的扩展不确定度。

式中:t是所设定置信概率下的置信区间的包含因子。
σ1是输入端参考标准读数的标准偏差。
σ0是输出端参考标准读数的标准偏差。
δ是参考标准输入端、输出端读数均值归一化之差。
尽管对放大器输入端、输出端测量结果的不确定度也可以用参考标准的技术指标所给出的扩展不确定度值进行计算,但是这样获得的结果往往偏大,而由参考标准对放大器输入端、输出端的测试数据计算出的扩展不确定度则更为客观。
2.新的不确定度计算方法的实际应用
作为前述方法的实际应用,我们对某型弹道分析测量系统进行校准,并计算其扩展不确定度。弹道分析测量系统是模块化测试系统,主要用于内、外弹道参数的测量。
对该系统中的脉冲时间测量单元进行校准所采用的参考标准为HP54502数字存储示波器,将参考标准与被测系统并联,二者同时测量一脉冲信号源的脉冲延时输出,一共测量十次。
从HP54502数字存储示波器的技术说明书中可知,其时间测量的扩展不确定度是:2.0%*s/div+0.01%*Δt+500ps。时基设置为500ns/div,十次重复观测读数的算术平均值为3.66720ms,则扩展不确定度U=377.2ns,又知HP公司电子仪器所给不确定度的置信概率为99.7%,所以有3σRef=377.2,即σRef=125.7ns。同时,由表1可得:k=5.59。其他测试结果如表2。

则该系统中的脉冲时间测量单元的扩展不确定度为805.9ns(99.7%的置信概率)。
我们给出一种实用的计算不确定度的方法。当对电子仪器进行校准时,遇到参考标准与被测设备精度相当的情况,采用此方法可给出较为客观的结果。同时,在计算被测设备不确定度时,由于直接引用了参考标准技术说明书提供的参数,所以为实际使用带来了方便。另外,通过对被测设备统计测试置信区间包含因子的修正,避免了由于选择测量样本量的不同,而对被测设备扩展不确定度计算的影响。
责任编辑:pj