介绍使用Agilent VEE软件在IEEE4 88总线上对仪器进行控制,进而建立的以PC机为
中心的集成电容自动测试系统。
关键词:自动测试系统;GP-IB总线;VEE
In
tegrated Capacitance Automat
ic Testing System Based on VEE
WANG Qiang1, LI Huaizhou2
(1.Shanghai Jiaotong University, Shanghai 200030, China;
2.University of Shanghai f
or science&technology, Shanghai 200093, China)
Keywords: ATS(automatic testing system); general purpose interf
ace bus; VEE
1理论依据
集成
电容的基本测试方案为:将集成电容与Q表(内有电感)连接。调整Q表上的“电容”旋钮 ,利用二阶电路谐振的特点,直至Q表显示的Q至最大时记录下所调出的电容值,将此电容值 与被测的标称值相比较,得出测试结果(验证结果)。它的原理电路如图1。输出电压取自电 阻,则电压转移函数为:

?
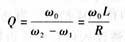
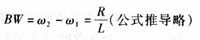
中心频率对通带的比值为品质因素,记为Q,即

?
本设计的理论思想为:输入的正弦波幅值固定而改变频率,当输入频率为ω0时,
电阻R两 端的电压最大。用输出波形电压最大值时的频率与理论上ω0相比较,即可做出测试。

?
本设计中共使用了三个仪器,分别是HP
公司的HP54602B
示波器,HP公司的HP33120A函数发生 器/任意波形
信号发生器,以及Fluke公司的8840A
万用表。这些仪表都具有通用
接口总线(GP IB)。每台仪表在自动测试系统中都设有唯一的GPIB地址。使用的计算机装有GPIB接口卡。 将它和各种仪表通过总线连接起来,组成自动测试系统。PC机通过接口对测试仪器进行
编程 和控制;通过多个GPIB接口卡,实现
微机间的近距离高速并行数据
通信。
2.1IEEE-488(GP-IB)接口
现代
智能仪器大都具有本地(local)和远地(remote)两种工作方式。在本地工作方式,用户 通过键盘向仪器发布各种命令,指示仪器完成各种动作。在远地工作方式,控者(通常为计 算机)通过GP-IB接口总线向仪器发布各种命令。接口是智能仪器与外界通信的关键部件。G
PIB接口总线共有16条信号线:8条DIO数据线,用来传递各种多线消息;3条挂钩线,用以保 证
信息的可靠传输;5条接口管理线,用以管理接口的工作方式。
2.2Agilent VEE软件
Agilent公司的VEE软件(Visual Engineering Environment)是一种面向仪器控制的图形化编 程语言,支持MS Windows和HP UNIX工作站及Sun SPARC工作站等多种工作平台,也是目前面 向VXI总线测试系统的主要软件开发环境之一。它是一种模块化的流程图编程语言,它由数 据线和控制线将各个模块连接在一起组成整个程序。
下面是VEE的测试程序(见图3),所有的结果都由VEE
模拟生成。 该程序由VEE生成一扫频过程(见图4),再由万用表在每一频率随机生成一电压值(见图6), 比较后输出最大值。这一系列过程都由主程序设定,输出的操作员界面如图5所示。




由于测试系统采用的各类仪表都符合基于IEEE?488(GPIB)总线的仪器标准,给系统集成提 供了极大方便。并且得益于Agilent VEE虚拟仪器软件技术,使得在元件
参数的计算机 辅助测量中,系统体现了较大的编程方便性、通用性和灵活性。在这个功能强大而方便的虚 拟仪器开发平台上,表现出比传统的测试仪器更智能化、更可靠,操作性也更强。