时间:2009-10-21 18:43
人气:
作者:admin
红外背景抑制与小目标分割检测
红外寻的导引头小目标图像的分割与检测是地空导弹和舰空导弹的关键技术.本文研究用六种高通滤波器抑制大面积低频背景的效果与性能比较,在此基础上提出基于统计计算均值和直方图的自适应门限背景抑制与小目标分割方法.基于目标运动的连续性、规律性和噪声的随机性,研究连续性滤波器的设计和用流水线管道结构检测目标运动轨迹的方法.大量实验和比较结果检验了本文方法的正确性.
关键词:红外图像;背景抑制;高通滤波;自适应门限;目标分割;目标检测
Infrared Background Suppression for Segmenting and Detecting Small Target
PENG Jia-xiong,ZHOU Wen-lin
(Institute of Pattern Recognition and Artificial Intelligence,Huazhong University of Science and Technology,Wuhan 430074,China)
Abstract:The segmentation and detection of samll target image for infrared homing guidance head are crucial technologies for ground-air and surface-air missiles.This paper studies the effect and performance comparison of suppressing large area and low frequency background by use of six high-pass filters.Based on this,we propose an adaptive threshold method of background suppression and small target segmentation using image mean and histogram.In view of the continuity and regularity of motion for target and the randomness for noise,the design of continuity filter and a technique via assembly line and pipeline scheme to detect target trajectory are considered.The methods researched here are verified by a large number of results of experiments and comparisons.
Key words:infrared image;background suppression;high-pass filtering;adaptive threshold;target segmentation;target detection
一、引 言
为了尽可能早地发现目标,使防御武器有足够的反应时间,要求目标在很远处就能被检测到,这时目标的图像很小,只有一个或几个像素的面积.另一方面接收器内的噪声及背景杂波干扰又往往较强,因而是一个低信噪比的小目标分割与检测问题.小目标分割与检测性能的好坏将直接决定红外自动寻的末制导系统的有效作用距离及设备的复杂程度,是一个必须解决的关键问题.
由于小目标的像元个数很少,缺乏目标的结构信息,单从灰度来看,难于同噪声区别开来,一般基于灰度的运动目标检测方法无法采用,可供分割与检测算法利用的信息很少.国外学者从七十年代末期开始,经过十多年对小目标分割与检测问题的深入研究已取得了不少成果,总的来说,对该问题的研究一般都围绕以下两个实际背景展开,一是空载下视系统如星载系统对低空及地面目标的监视;一是低空或地面系统对星空背景中目标的监视.由前人所做的工作看出,运动小目标分割与检测之关键在于解决沿未知目标轨迹的快速能量积累问题,即把运动小目标分割与检测问题看成是目标轨迹搜索及根据能量积累作出判决的过程,也就是根据目标运动的连续性和规则性来检测目标.
对于背景抑制与小目标检测问题,Bauch等人通过采用一组时间上的高阶差分来抑制背景干扰,并得到目标运动轨迹[1].有一些工作集中于用动态规划和状态估计技术来增加目标的可检测性[2,3].然而,它们在低信噪比情况下可能呈现差的性能.此后,文献[4,5]提出了频域中的三维时空匹配滤波技术.它已经被简化为只在空域中进行的二维匹配滤波但在时间序列中进行递推求和[6].最近文献[7]又进一步发展成为基于线性变系数差分方程的方法.M.Irani等人用计算像素小邻域上灰度差的加权平均再用梯度进行规一化,以此作为运动的度量[8].他们首先辩识有纯平移运动的区域并分割相应于计算运动的区域,再对分割的区域计算一个高阶参数变换(仿射变换,射影变换,等等)来改善运动估计并迭代上述步骤直至收敛.另一个由S.P.Liou和R.C.Jian提出的运动检测方法是基于时空空间中运动轨迹任一点上切线和法线的正交性[9].但是为了得到图像函数的时间和空间偏导数,必须实时完成在时空空间中的三维曲面拟合,从而增加了计算量.Bir Bhanu和D.H.Richard使用图像分割方法来检测运动目标[10].然而在许多情况下,从复杂的前景和背景中分割出运动目标是很困难的任务.
光流法[11~13]是文献中最常见的方法.但是它很耗时而且在有些情况中不可用,例如有阶跃边缘和遮挡的情况.在这些情况下,光流的连续性不能得到保证.最近,检测单像速目标运动轨迹的一种有效方法在文献[14]中提出来了.这个方法是基于准连续性滤波器来抑制大量的噪声,把轨迹的性质嵌入到一个代价函数中并把轨迹检测问题归结代价函数的最小化问题.但是这个方法仅仅对于二值化图像是可用的.L.I.Perlovsky等人基于使用内部世界模型的十个方程式所定义的MLANS非线性神经网络系统,描述了一个自动目标识别方法和一个有关的非合作辨别敌友的问题[15].这些模型在MLANS中对大量的神经网络权系数进行编码并且MLANS用一些先验样本进行学习.还有一些其他的运动检测方法,如M.V.Srinivasan提出的基于微分的广义梯度方案[16],S.D.Blostein和T.S.Huang提出的使用假设检验的方法[17],R.C.Nelson提出的用运动观测器检测运动的方法[18]和W.B.Schaming提出的借助于Bayes统计量的像素分类法[19],等等.后者仅能用于检测相邻两帧之间目标的小运动,因为该方法中使用的自适应门多特征像素分类器已经假设了两帧间的运动是小的.我国在小目标分割与检测方面也做了大量的工作.由国防科技大学、同济大学、上海交通大学、华中理工大学共同参加的红外导引头信息处理机的研制已取得了一定的成果.相继提出了迭代统计平均检测法,HOPFIELD神经网络法、全局搜索法等小目标检测方法.
总的来说,上述方法存在的问题在于:在低信噪比情况下,目标点极易被噪声所淹没.单帧图像处理不能实现对目标的可靠分割与检测,必须对图像序列进行处理.这样,在目标运动特性未知或可能的取值范围较大的情况下,实现分割与检测需要的计算量和存贮量将难以负担.解决目标自动检测问题的常用方法是首先进行图像分割,然后结合有关目标的知识,从分割后图像的各个连通区域块(称为候选目标块)中确定真实目标.由于噪声的存在和背景的复杂性,为了提高目标的信噪比,故要进行背景抑制滤波和分割,然后检测.
本文是将小目标特征分析与分割检测紧密联系起来,把小目标分割与检测分为两个步骤进行.通常目标比背景要亮,目标像素虽少但却位于高灰度区,远远大于平均灰度.首先用平均灰度作为门限,对灰度小于等于门限的背景像素进行均值化处理,分割出高灰度的背景像素和目标像素.然后对均值化处理后的图像作直方图,在对各种高通滤波器作充分比较的基础上,提出一种基于直方图峰值的自适应门限分割方法.该方法自适应地统计背景特性,用作抑制红外背景的依据.从而能有效地去除背景,分割出若干高灰度的孤立噪声和目标,为小目标检测创造了良好条件.
二、背景抑制滤波器
对于小目标而言,缺乏形状和结构信息.如果要检测到它的存在,必备的条件是:目标的灰度与背景有一定差异,否则无法识别.因此,我们需要注意的是图像中那些灰度奇异点,这些点才有可能是目标.从图像中提取可能的目标点,去除一般像素点,可以尽量减少背景和其它噪声对目标检测过程的影响.
从图像序列中检测小目标时,如果直接将这些含有大量噪声的图像叠加来累积信号能量,由于小目标本身的运动,相加后图像的信噪比不会提高.相反,会由于噪声的存在而形成许多类似小目标运动轨迹的线段,使图像的信噪比降低.所以在各帧图像叠加以前需进行预处理滤波,图像预处理的目的是为了减少各帧图像的噪声,提高信噪比,避免过多的噪声给检测带来困难.
利用红外传感器等获取的小目标图像,背景除了有在空间不相关的噪声外,主要是大面积缓慢变化的低频部分.例如飞机在云层中飞行,作为背景的云层本身不仅缓慢变化,而且具有一定的相关性.而小目标亮度较背景高,与背景不相关,是图像中的孤立亮斑,故是图像中的高频部分.高通滤波器能抑制低频分量,让高频分量畅道,故采用高通滤波器来进行大面积的背景抑制,同时保留目标和部分高亮度噪声.
常用的高通滤波器分为空域和频域两类.若滤波器的输入为函数f(x,y),输出信号为g(x,y),设滤波器的脉冲响应函数为h(x,y),用*表示卷积运算,则
g(x,y)=f(x,y)*h(x,y) (1)
对于离散图像,一般选用卷积模板表示滤波器的脉冲响应函数,记为矩阵H.我们设计了两个空域5×5高通滤波器模板如下:

对于模板H1,中心像素权值最大,易通过,而周围部分权值均为1,值小,不易通过.这样,对于孤立噪声点和小目标,信号强度高,易通过.而有一定面积的背景不易通过,这就可以较好地抑制背景.模板H2将中心高权值分布在十字形区域中,使权值分散,必然使滤波后的小目标发生膨胀,面积变大,被滤掉的背景灰度变得更均匀.
因两个函数卷积的Fourier变换等于这两个函数Fourier变换的乘积,所以式(1)的频域表示为:
G(u,v)=F(u,v)H(u,v) (2)
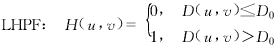
式中G(u,v)、F(u,v)、H(u,v)分别为g(x,y)、f(x,y)和h(x,y)的Fourier变换.频域滤波器的关键是设计适当的传递函数H(u,v).通常选取理想高通滤波器(LHPF)、指数高通滤波器(EHPF)和Butterworth高通滤波器(BHPF).它们的传递函数如下:
(3)
(4)
EHPF:H(u,v)=e-0.347[D0/D(u,v)]n (5)
式中:D0为截止频率到原点的距离;
为(u,v)点到原点的距离;n用以控制从原点算起的传递函数H(u,v)的增长率.
我们比较研究了六种背景抑制的高通滤波法.实验图像红外传感器输出的在云层中飞行的小目标图像序列中的一幅,如图1所示.原图大小为204×283,但行列都按50%的比例显示.图2到图6分别为空域和频域滤波器处理后的图像.

|
图1 原图像 |
图2 H1模板处理图 |

|
图3 H2模板处理图 |
图4 理想滤波(D0=30.0) |

|
图5 指数滤波(n=2,D0=30.0) |
图6 巴特沃斯滤波(n=2,D0=30.0) |
| 比较看出,空域和频域法均能抑制背景,但频域法的滤波效果比空域法好,频域中又以EHPF法最好,因为它有更快的增长率,比相应的BHPF更好地保存了高频分量.LHPF则有明显的振铃现象,且随D0的减少而增加.但EHPF和BHPF在低、高频之间过渡平滑,没有明显的振铃现象.因背景局部区域像素变化大,空域滤波后,背景变亮而且分布更加不规则,以模板H1最为突出.为此,调整模板H1为模板H3,经模板H3滤波后见图7.实验表明,经H3滤波后背景变得较暗,目标也比H1清晰.可见对不同的图像具有不同的最好权值,权值的选取很重要.另外,经H3滤波后使目标发生膨胀,中心部分变黑,这是由于H3平均中心权值的原因. |

|
图7 H3模板处理图
三、自适应门限背景抑制与目标分割
假定目标比背景要亮,小目标图像主要位于高灰度区,灰度远大于均值E.设f0(x,y)为目标像素的灰度值,则f0(x,y)>>E,且灰度低于均值的像素必属背景.故首先取E作为门限,循环地利用
来调整图像的背景灰度.设 R=灰度为E的像素数目/图像的总像素数目 (8) 随着比值R的增大,对待求的新均值E′产生越来越大的影响.当R达到一定程度时,E=E′,自动退出循环.此时大部分背景灰度为均值E,变得较均匀,目标和较高灰度的背景保持不变.
将背景灰度置为均值E并保持目标灰度,直至kmax≈m0结束循环.至此,图像中的背景灰度就变得十分均匀,而目标则保持原灰度不变,还可能有一些灰度值较大的小噪声点也保留了原灰度.但只要m0值估计得恰当,即可成功地抑制背景和噪声而分离出小目标,如图8所示.
图8 自适应法处理结果 |


|
图9 均值化后图像的直方图 通过对空域、频域背景抑制滤波器和自适应门限背景抑制法的试验看出:对于小目标检测,空域和自适应门限法对内存要求低(只需分配两倍的图像大小内存);频域滤波器由于Fourier变换产生大量浮点型中间值不能释放,故占用内存大.在一般的IBM PC微机上会造成内存分配困难而难以实现.从运算速度看,空域滤波器只需做乘法和加法运算,运行最快,自适应门限法次之,频域法最慢,但空域滤波器处理效果最差,自适应门限法和频域滤波器处理效果好.又由于自适应门限对不同的图像可进行自适应调整,因此它与频域滤波器的通用性都好. 四、小目标检测 |

|
图10 流水线管道结构 每次管道更新后,在管道中移动一个窗口序列,窗口尺寸为l×m.当窗口移到有目标的位置时,由于目标出现的连续性,必然有较多的可疑像素聚集于窗口内,窗内像素的累加值会大于一个门限.如果没有目标,由于噪声的随机分布性,窗内像素的累加值就较小.从而我们可以检测出流水线中间的一帧是否存在目标并确定目标的位置. |

|
图11 目标检测流水线结构 1.对于先进入“与”管道的第n′帧二值图像进行数学形态学的膨胀运算,得到一个掩膜帧,使原二值图像为“1”的像素的小邻域都为“1”;
其中(xi,yi)是窗口的中心坐标,j表示管道内的第j帧.(3)将A1与门限T比较,若A1>T,则记入检测帧;(4)在检测帧中标记目标位置. 五、实验结果 |


|
图12 原始图像 |



|
图13 自适应法处理结果 图13的实验结果表明,若m0选取得大于目标面积,则有部分背景和少量噪声会同目标一样残留在图中.m0越大,残留的背景和噪声越多.若m0选取得小于目标面积,则有部分目标像素会被当作背景像素而抑制掉,使分割和检测出的目标变小.但从分割检测出目标的实时性和可靠性考虑,m0应选取得略小于目标面积.这样虽会使目标面积减小,但却提高了对目标的分割速度和增强了对背景的抑制,因而是实际应用中所期望的.在实际应用中,可通过仿真试验确定合适的m0值.在我们的实验中,比较图13的结果可见,选取m0=100或更小是合适的.经过自适应法处理后,目标不仅被较好地保留下来,而且灰度不变.而背景灰度绝大部分变得均匀,与目标对比度显著增大,取得了较好的效果. |

|
图14 流水线法检测到的目标轨迹 六、结 论 |
上一篇:低信噪比运动红外点目标的检测
下一篇:高频雷达抑制冲击干扰的研究与实验