时间:2009-05-06 20:28
人气:
作者:admin
1 引 言
光是携带和传递信息的重要载体,光电信号作为信息的一种重要载体,具有信息容量大、易于控制、便于远距离传输和在线测量等特点。目前,微弱光的检测技术已成为生命科学、材料科学、环境科学、食品科学以及航天科学等众多领域内的一种非常重要的研究手段,与之相关的各种仪器已成为各类实验室极为重要的设备。
在微光检测系统中,光电变换是其核心部分,我们研究光电探测器件20年,在充分分析光电探测器基本功能的基础上,提出了“间接耦合光电探测”新概念〔1〕。根据“间接耦合光电探测”新概念研制的内调制光电探测器(简称内调制光电管或内调制光敏管)能使入射的光信号直接转化为受调制的交流电信号输出而不用机械斩波器。我们利用这种内调制光电探测器件作为微光检测系统的光电转换部分,使检测系统不需要机械斩波器就可以得到受调制的交流信号,克服了微弱直流电信号放大的困难,为提高系统信噪比和可靠性奠定了基础。而且,内调制光电探测器的工作条件相对光电倍增管要简单得多,使用寿命也相对更长。因此,利用内调制光电探测器作为光电变换器件的微光检测系统代表了一种新的微光测量技术〔2〕。
2 内调制光电检测原理
微弱光信号经过内调制光电探测器转换成电信号以后,还要经过放大、滤波等各种信号处理〔3〕。而在微弱光的检测过程中,光电检测系统在工作时总会受到一些无用信号的干扰。例如,光电转换中光电子随机起伏的干扰,辐射光场在传输过程中受到通道的影响及
背景光的干扰、放大器引入的干扰噪声等等。光电信号处理的主要目的是最大限度地抑制噪声,提取信号携带的有用信息。光电检测系统的噪声如图1所示。

这些噪声主要来自两方面:(1)来自研究系统的外部,通常由电、磁、机械等因素引起,这些干扰多具有一定的规律性,采取适当的措施可以将其减小或消除。(2)来自被研究系统内部的材料、器件和固有的物理过程的自然干扰。例如,任何电导体中带电粒子无规则运动引起的热噪声,光探测过程中光子计数引起的散粒噪声。这些过程是随机过程,不能精确预知其大小及规律,不能完全消除,但可以得知其统计规律,可以采取一些措施予以控制。
在光电探测器中固有噪声主要有热噪声、散粒噪声、产生-复合噪声(g-r噪声)、温度噪声等。噪声在实际的光电探测系统中是极其有害的。由于噪声总是与有用信号混在一起,因而影响对信号特别是微弱信号的正确检测。一个光电检测系统的极限探测能力往往受探测系统的噪声所限制。如何减少噪声的影响是检测系统的一个重要问题。
2.1 最大信噪比原理
当检测的信号光非常微弱时,通过光电探测器转换后得到的光电信号的信噪比(S/N)很小,这就需要一些特殊的微弱信号检测方法将信号从噪声中提取出来〔4〕。为了从信号处理系统获得最大的信噪比,系统的 频率函数和输入信号之间应满足一定的关系。 设,信号处理系统如图2所示。其H(jω)为系统的频率函数;h(t)为系统的脉冲响应;Si(t)为输入信号;So(t)为输出信号;Wi(ω)为输入白噪声的功率谱密度,且Wi(ω)=No;PN(t)为输出噪声功率;Wo(t)为输出噪声的功率谱密度;Si(jω)为输入信号频谱;So(jω)为输出信号频谱。

根据信号的频域分析方法,可得输出信号的频谱为:![]()
将式(1)作傅立叶变换,可得输出信号的时域表达式
根据图2,输出噪声功率谱密度为
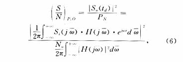
这样,就可以得到td时刻系统输出的功率信噪比为
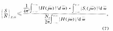
利用Schwartz不等式对其化简,整理后为

当满足

由上述分析可知,为了获得最大的输出信噪比,信号处理系统的频率响应函数与输出信号的频谱之间需要满足式(8)。满足这一关系的信号处理系统称为匹配滤波器,匹配滤波技术是微弱信号检测的一种重要的方法。
2.2 互相关检测原理
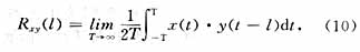
利用信号和噪声在相关特性上具有不同的特点,是微弱信号检测的一种常用方法。定义互相关函数:![]()
它是描述t时刻的x(t)和t-l时刻的y(t)之间的相关程度。如果两个函数(过程)的发生互相完全没有关系(例如信号与随机噪声),则它们的互相关函数是一常数,这个常数等于两函数平均值的积。若一个函数(如噪声)的平均值为零,则它们的互相关函数为零。如果两函数具有相同的基波频率,则互相关函数保留了原函数的幅度和相位信息。

互相关检测的原理如图3所示。已知输入信号S(t)的重复周期或频率,用一重复周期与输入信号相同的参考信号y(t)与混有噪声n(t)的输入信号进行相关。则互相关函数
Rsy(l)包涵了信号S(t)所携带的信息,这样就能把信号S(t)检测出来。
3 模拟电路的设计与结构
内调制微光检测系统的信号处理部分的基本原理如图4所示,主要由信号通道、参考脉冲、乘法器、采样保持电路、量程自动换档和精密稳压电路组成。
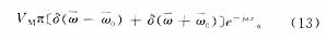
内调制探测器输出的交流电流信号经I-V转换后成为交流电压信号,其数学表达式为Vi=Vm cosωt,由于信号的信噪比很小,因此,选频放大电路必须改善信号的信噪比。由最大信噪比原理可知,选频放大电路的频率函数为:![]()
![]()

由上式可知,选频放大电路的频率函数为冲击脉冲,可以用窄带带通滤波器来实现,我们采用巴特沃兹(Butterworth)二阶带通滤波器,巴特沃兹二阶滤波器在通带内具有最平坦的频幅特性,能够很好地改善探测器输出信号的信噪比。二阶巴特沃兹滤波器的结构如图5所示。其中心角频率
通过适当的调整使其中心角频率和探测器输出信号的频率相同,使得探测器输出信号经过滤波器后幅度增益最大。这样,选频放大器输出信号的峰值和光强成正比。


从实验结果来看,内调制微光检测系统利用探测器的内调制光电特性,将光信号转变为受调制的交流电信号,方便了后级电路的处理,克服了传统微弱光检测的缺点。这种内调制微光检测技术是一项基础性技术,能检测从紫外到中红外的微光,也可检测微弱的脉冲光。在工业、农业、国防、科技、环保、医疗卫生、食品卫生检查等领域有着广泛的用途。利用该技术研制出的内调制光纤比色温度仪,已用于冶金行业中的在线测温。
参考文献
上一篇:如何分辨判别步进电动机绕组相序