【摘 要】 对旋转变压器-数字变换器(RDC)集成电路AD2S83进行了介绍,并简述了它在雷达伺服系统中的应用。
关键词:旋转变压器-数字变换器(RDC),AD2S83,雷达伺服系统
1 引 言
基于电磁感应原理的旋转变压器(Resolver)是一种精密微控制电机,在雷达天线角位置伺服系统中,完成轴角位移信息的检测功能。由于它是模拟机电元件,所以,用于计算机控制的数字伺服系统中,就需要一定的接口电路,即旋转变压器-数字变换器(RDC),以实现模拟量信号到控制系统数字量的转换。随着电子技术的飞速发展,美国AD公司已将它发展成为一系列的单片集成电路,从而弥补了过去由分立元件搭成的RDC体积大、可靠性低的不足,给工程应用带来了极大的方便。由旋转变压器和AD2S83就可以构成高精度的雷达天线角位置检测系统,而且AD2S83输出的模拟速度信号还可以作为速度反馈信号以构成雷达伺服系统中的速度回路。
2 旋转变压器
旋转变压器是按照电磁感应原理而工作的元件,其定、转子上都有绕组,彼此同心安排,互相耦合联系,旋转变压器采用正交的两相绕组,它主要用于角度位置伺服控制系统中,作为角度位置的产生和检测元件。若旋变的励磁电压为Uf=Ufmsinω·t,则正交的A、B两相绕组中感应的电动势为
eA=Emcosθsin(ωt+α)(1)
eB=Emsinθsin(ωt+α)(2)
其中,θ为旋变的转子转角,α为次级电动势与初级励磁电压之间的相位角。
3 AD2S83简介
AD2S83是美国AD公司推出的以BIMOSⅡ工艺制造的,将先进的CMOS逻辑电路与高精度双极线性电路相结合的单片集成电路。它功耗低(300mW),其数字输出分辨率可被用户设置成10,12,14或16位,并具有速度输出信号可供用户作为速度回路的速度反馈信号使用,以取代测速发电机等测速元件,从而缩小了系统的体积。
AD2S83按图1连接后,就构成一个工作于Ⅱ型伺服环的跟踪式RDC,其数字输出能以选取的最大跟踪速率自动跟踪轴角输入,没有静态误差。由于它在把旋转变压器信号转换为二进制数时,采用比率式跟踪方法,输出数字角仅与SIN和COS输入信号的比值有关,而与它们的绝对值大小无关,因此,AD2S83对输入信号的幅值和频率变化不敏感,不必使用稳定、精确的
振荡器来产生参考信号,而仍能保证精确度。转换环路中相敏检测器的存在保证了对参考信号中的正交分量有很高的抑制能力。另外,它抑制噪声、谐波的能力强。AD2S83最突出的优点就在于它可由用户选择相应的
参数来优化整个系统的性能。


4 速度输出与角位置检测电路的设计
速度输出与位置检测电路设计的关键,就是要正确地选择AD2S83的外围元件。下面就介绍AD2S83外围元件的选择。应注意选用最接近理想值的元件,并工作于允许的温度范围内。选用误差等级为5%的元件并不会降低变换器的性能。参见图1。
4.1 高频滤波器元件R1、R2、C1、C2的选择
高频滤波器的作用是消除直流偏置和减少进入到AD2S83信号中的噪声,因为它们影响相敏检测器的输出。在有来自开关电源和无刷电机的噪声时,其作用尤其重要。元件参数的选择如下:

其中,fREF为参考频率。
当取R2=R3,C1=C3时,R1、C2可以省略。
注意:由于该高频滤波器对输入到相敏检测器的信号有3倍的衰减,因此,它会影响环路的增益。
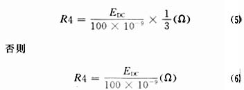
4.2 增益比例
电阻R4的选择
若R1,C2满足(3)式和(4)式,则

其中,100×10-9=
电流/LSB;
EDC=160×10-3 10位分辨率;
=40×10-3 12位分辨率;
=10×10-3 14位分辨率;
=2.5×10-3 16位分辨率。
4.3 R3,C3的选择
合适的R3、C3使信号在参考频率上没有明显的相位移,两元件为:

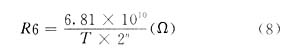
4.4 最大跟踪速率的选择
VCO的输入电阻R6用来设置变换器的最大跟踪速率。若在最大跟踪速率时,速度输出为8V,则R6为:

其中,T不能超过最大跟踪速率或参考信号频率的1/16,n为输出分辨率。
4.5 闭环带宽的选择
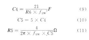
选择闭环带宽(fBW)时,必须保证参考频率与闭环带宽的比率不超过表1所示的指标。

当参考频率为400Hz时,带宽的典型值为100Hz,当参考频率为5kHz时,带宽的典型值为500Hz到1000Hz。C4,C5,R5按下式选择:

4.6 VCO相位补偿
C6,C7,R7取以下的值:C6=390pF,C7=150pF,R7=3.3kΩ。
4.7 偏置调整
积分器输入端的漂移与偏置电流会引起变换器输出端额外的位置漂移,如果能忽略漂移,则可省略R8,R9,否则应取R8=4.7MΩ,R9=1MΩ(
电位器)。为了减小零点漂移,首先选择好AD2S83的外围元件,并断开AD2S83与旋转变压器的连接,然后连接COS与REFERENCEINPUT两个引脚,SIN与SIGNALGROUND两个引脚,加上电源与参考信号后,调节电位器R9,使输出为全“0”。

4.8 输出分辨率的选择
AD2S83的输出分辨率可以通过SC1,SC2两个管脚的逻辑状态被用户设置为10,12,14,16位,具体见表2。

5 AD2S83在雷达伺服系统中的应用
雷达伺服系统必须满足一定的精度要求,同时要确保其具有高的可靠性,而在某些雷达中还要求其体积小、重量轻。基于无刷旋转变压器与AD2S83集成电路的优点,选用高可靠性的无刷旋转变压器与AD2S83 RDC构成这些雷达的角位置检测系统,并以AD2S83的模拟速度输出信号来作为速度反馈信号构成雷达伺服系统的速度回路是设计这些雷达伺服系统时较好的选择。系统框图见图2。
根据系统的性能指标,按照上述计算方法选定AD2S83的外围元件后,即可设计出速度反馈与位置检测电路。在具体实现该电路时应注意+Vs,-Vs与
ANALOG GROUND之间,+VL与DIGITAL GROUND之间要分别并联100μF(陶瓷)和10μF(胆)的去耦电容,它们应尽量靠近AD2S83变换器放置,而且每个变换器都应有自己单独的去耦电容。旋变的两个信号地应连到变换器的SIGNAL GROUND管脚,以减少正、余弦信号间的耦合,另外,旋变的正、余弦信号以及参考信号最好分别使用双绞屏蔽线。
下面介绍计算机对AD2S83 RDC的操作,在此之前先对AD2S83变换器的控制信号加以简单的说明:
/INHIBIT输入:/INHIBIT信号只禁止可逆计数器向输出锁存器传送数据,并不打断跟踪环的工作,释放该信号将自动产生一个BUSY,并刷新输出锁存器。
/ENABLE输入:/ENABLE信号决定了输出数据的状态,高电平时,输出数据管脚保持在高阻状态。低电平时,允许输出锁存器中的数据传送到输出管脚上。对/ENABLE的操作不会影响变换器的工作。
BY
TESELECT输入:无论该信号的状态如何当/ENABLE为低电平时,低位字节就将出现在数据输出线DB9-DB16上。当BYTESELECT为高电平时,高8位字节将出现在数据输出线DB1-DB8上;当BYTESELECT为低电平时,低8位字节将出现在数据输出线DB1-DB8上,它们同时也出现在DB9-DB16上。
计算机对AD2S83读取数据的过程:首先对AD2S83施加/INHIBIT信号,阻止锁存器的刷新,当/INHIBIT被置为低电平并延迟600ns后数据有效,把/ENABLE信号置为低电平后,即可读取数据。读完数据后,应立即释放/INHIBIT信号,把它置为高电平,以使输出锁存器能被刷新。
6 结束语
本文介绍了AD2S83 RDC集成电路的应用,并设计了由该集成电路和旋转变压器构成的雷达伺服系统中速度反馈与角位置检测系统。经实践表明,该系统具有体积小、可靠性高、抗干扰能力强、操作灵活方便等优点。
参考文献
1 曲家骐,王季秩.伺服控制系统中的
传感器.北京:
机械工业出版社,1998,5