时间:2009-05-19 21:20
人气:
作者:admin
【摘 要】介绍了一种实用、新颖、能快速测量变压器直流电阻的高精度仪器的研制思路及现场测试效果,对其中某些关键环节进行了详细阐述,并给出了性能指标,具有高精度、低噪声、小功耗和抗干扰能力强等优点。
关键词:集成运算放大器 恒流源 滤波 高精度放大器
1 引 言
变压器绕组直流电阻的测量是变压器实验中既简便又重要的试验项目。通过绕组直流电阻的测量,可以检查出绕组内部导线的焊接质量和引线与绕组的焊接质量,绕组所采用的导线是否符合设计要求,分接开关(有载调压开关OLT)引线与套管等载流部分接触是否良好,三相电阻是否平衡等等。意义重大,在这方面的研究与探讨是值得的。
2 基本原理介绍
为便于显示,变压器绕组的直流电阻应该转化为电压或电流,因此采用电阻-电压变换方法进行测量。传统的电阻测量方法采用电桥测量方法,其输出电压U0随被测电阻Rx的变化而变化。该方法在某些地方有一定的优点。例如在用应变片测量压力时,比较容易实现温度补偿〔2〕。但也有一些缺点,如用平衡电桥测量变压器绕组直流电阻,电路复杂;若用不平衡电桥测量,U0与Rx成非线性关系。
由欧姆定律I=U/R,可知R=U/I,只要电流I固定,就容易得到电阻与电压的线性变换关系。电流I固定,可采用一个恒流源向被测电阻Rx供电,再测出它两端电压Ux便可换算出被测电阻Rx的值。因此,采用恒流源给变压器绕组供电测其端电压来测得变压器绕组的直流电阻,图1所示是测量变压器直流电阻的系统原理图框图,可采用此方法测量变压器的直阻。下面介绍测量变压器直流电阻的基本原理:

2.1 恒流源的实现
图2中A1为加法器,A2与VT1~VT2组成反相放大器(其中T1~T2是组成复合管用于放大A2的输出电流,最大可以输出3安培的基准电流),A3是电压跟随器。该恒流源经过多次滤去纹波 ,能确保输出电流恒定。恒流源全部采用集成运算放大器ICL7650(或CF7650)。它是Intersil公司于80年代初研制成功的高精度、低漂移、动态校零CMOS型的斩波式单片集成运放,称为第四代运放。其输入失调电压Uos只相当于通用型运放F007的千分之一,Uos=1.0μV,失调电压温漂为0.01μV/℃,每月漂移低于100pA,且有极高共模抑制比(≥130dB),开环增益Ad>140dB,输入电压Uin的波动对放大器输出影响很小,因而恒流源稳定、可靠、其漂移和噪声指标可大大改善〔4〕。(电源采用正负±12V供电。)

为分析方便,设R1=R,简单分析其工作原理如下:
加法器A1的输出电压U1:
U1=-(Uin+U4) (1)
对运放A2根据一般运放分析方法:
U2=-U1=Uin+U4 (2)
跟随器A3的输出电压U4:
U4=U3 (3)
U1~U4见图中标注。
标准电阻RN上的电流IN为:

联立(1)~(4)有:
Uin=U2-U3 (5)
因为运放A3构成跟随电路,其输入阻抗很高(≥1012Ω),所以标准电阻RN上的电流IN全部流向被测电阻Rx,即
由上式可知,恒定电流Ix与输入电压Uin成一一对应线性关系。那么,被测电阻Rx两端电压Ux=Ix·Rx,所以
,
则Ux的值就是被测电阻Rx的值。
为保证恒流源的技术指标,R1一般选精度较高的电阻,如0.1%精密电阻,取10K电阻值。
2.2 低通滤波器
由图1可知,测量环节中采用的INA128仪用放大器,其放大倍数是1,因而同时也将前面环节输出的纹波电压一起放大了1倍,后面又要和反相放大环节线连,不滤去纹波,则纹波将进一步被放大,势必影响小电阻值的测量准确性和稳定性,为此采用了压控电压源低通滤波器〔1〕,如图3,R1=R2=100K,C1=0.22μF,C2=0.42μF,其增益为1,采用同相方式,其截止频率fc≤5Hz。
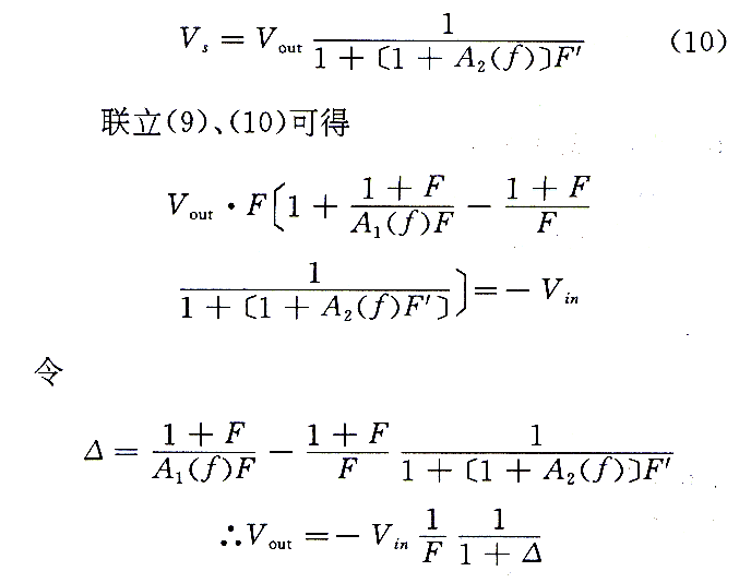
2.3 高精度反相放大器〔5〕
由于直阻测试仪中有6个档位,分别是20mΩ、200mΩ、2Ω、20Ω、200Ω、2000Ω,各档位需要通过的电流分别是100A,10A,1A,0.1A,0.01A和0.001A。由于开关电源是5V/10A型,因而在设计中,若选3A为最大输出电流,要获得10A,就需放大10/3倍,要获得100A就需放大100/3倍,可见20mΩ与200mΩ档的测试电路,除有10倍固定放大倍数电路环节外,其它部分电路完全一样。因而这个10倍的放大关系必须特别准确,可靠。这样设计,使电路紧凑、体积小,造型更加美观,使用运用方便,造价低廉。
对图4,应用网络分析理论,可得:


由普通反相放大器理论可知:

由于前面环节采用低通滤波器,fc≤5Hz,A1与A2运放用双运放,如LF358,则A1(f)≌A2(f)。取![]()

若Rf=10R1,则F=1/10,且选精度高的电阻,能保证较精确的10倍放大关系。所以能保证变压器直流电阻测试仪实现多量程的直流电阻的精确测量。

3 主要技术指标
·恒流源稳定度:
(1)0.1A<0.05%,0.01A<0.07%,0.001A<0.09%
(2)1.0A<0.1%,3A<0.2%
(3)温漂<0.05%/℃(采用12V直流风扇)
·量程:20mΩ、200mΩ、2Ω、20Ω、200Ω、2000Ω
·输出电压:满刻度为2.000V
·预热时间:≤1分钟(用20mΩ或200mΩ档预热)
·环境温度:0~60℃
·使用电源:220V±10%,50Hz,功耗约30W。
下一篇:全数字化噪声测量系统设计