时间:2009-05-22 20:38
人气:
作者:admin

得C≈1.6μF。
综上所述,采用的具体接口电路如图2所示。其中,二极管D1、D2的作用是限制过压状态下的输入电流。如图2所示,可将输入电流限制在0.7/270Ω≈2.6mA以下。

LCD有段式和点阵式两种。点阵式LCD又可分为字符点阵和图形点阵。由于本文在LCD上要显示的是图形信息,故采用图形点阵LCD—TM12864A。TM12864A把LCD、LCD控制器HD61202、LCD驱动器HD61203制作在一块印制电路板上,构成一个LCD模块,其LCD为128×64点阵。从印制电路板上引出信号线,以便和微控制器相连。每片HD61202带有512字节的显示RAM,RAM内的数据与显示屏上的像素相对应。TM12864A采用两片HD61202分别控制左右半屏的显示。TM12864A可直接同微控制器连接,HD61202通过数据总线来接收微控制器的指令和数据,共有指令口和数据口两个通道用来接收微控制器发送的指令码以及与微控制器进行数据交换;它的片选信号线(CS1、CS2、)、口选信号线(D/I)、读写信号线(R/W),直接受微控制器控制。TM12864A内部不带字符发生器,所以只适用于图形工作方式。TM12864A的内部框图、工作特性及指令说明,见参考文献〔3〕。
完整的硬件电路原理图如图3所示。


3 软件设计
心电信号属于低频信号(其有效频谱为50Hz以下)〔4〕,典型心电图如图4所示。

其中QRS波群的时间短,波的幅值变化大(成人0.06~0.1秒;儿童0.04~0.08秒)〔5〕,这就决定采样频率不能太低。另外,液晶显示屏(128×64点阵)中用124列来显示心电信号(其余4列用来显示纵坐标轴),为了在一屏上得到一个完整的心电信号,采样频率又不能太高(一个采样数据对应显示屏上一点,一屏可显示124个采样数据)。综合上述两方面因素,确定采样频率为200次/秒。这样,采样间隔为0.005秒,一屏可显示0.005×124=0.62秒。一个人的心率若按75次/分计,则其心电周期为60/75=0.80秒。
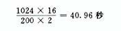
系统采用16kRAM来存贮采集到的数据,则能存贮的时间长度为:
![]()
存贮的采样点数为:
![]()
系统采用HSO命令来启动A/D转换,利用A/D中断来读入转换结果并重复启动A/D转换,直
到采集时间(40.96秒)到为止。
限于篇幅,这里不再提供系统流程图。
4 结束语
采用本文所述的方法,液晶显示屏纵轴(幅值轴)分辨能力可达5/40=0.125V(按输入8098模入通道的最大模拟量为5V,液晶显示屏用0~40行来显示ECG信息)。横轴(时间轴)的分辨能力可达0.005秒。由于本系统采样频率最高可达7.2kHz,所以也可用于对一般的低频信号进行采集、贮存和显示。如能改进软件编程算法,或提高单片机运算速度,来实现实时显示采集到的心电信号,则将进一步提高系统的实用性。
上一篇:全数字化噪声测量系统设计