时间:2009-03-06 22:39
人气:
作者:admin
离子探针显微分析
离子探针的学名叫作二次离子质谱仪(Second Ion Mass Spectroscopy---SIMS),它在功能上与电子探针类似,只是以离子束代替电子束,以质谱仪代替X射线分析器。与EPMA相比,SISM有以下几个特点:
1. 由于离子束在固体表面的穿透深度(几个原子层的深度)比电子束浅,可对这样的极薄表层进行成份分析。
2. 可分析包括氢、锂元素在内的轻元素,特别是氢元素,这种功能是其它仪器不具备的。
3. 可探测痕量元素(~50×10-9,电子探针的极限为~0.01%)。
4. 可作同位素分析。
3-4-1 基本原理
离子探针的原理是利用能量为1~20KeV的离子束照射在固体表面上,激发出正、负离子(溅射),利用质谱仪对这些离子进行分析,测量离子的质荷比和强度,从而确定固体表面所含元素的种类和数量。
1 溅射
被加速的一次离子束照射到固体表面上,打出二次离子和中性粒子等,这个现象称作溅射。溅射过程可以看成是单个入射离子和组成固体的原子之间独立的、一连串的碰撞所产生的。 下图说明入射的一次离子与固体表面的碰撞情况。

入射离子一部分与表面发生弹性或非弹性碰撞后改变运动方向,飞向真空,这叫作一次离子散射(如图中Ⅰ);另外有一部分离子在单次碰撞中将其能量直接交给表面原子,并将表面原子逐出表面,使之以很高能量发射出去,这叫作反弹溅射(如图中Ⅲ);然而在表面上大量发生的是一次离子进入固体表面,并通过一系列的级联碰撞而将其能量消耗在晶格上,最后注入到一定深度(通常为几个原子层)。固体原子受到碰撞,一旦获得足够的能量就会离开晶格点阵,并再次与其它原子碰撞,使离开晶格的原子增加,其中一部分影响到表面,当这些受到影响的表面或近表面的原子具有逸出固体表面所需的能量和方向时,它们就按一定的能量分布和角度分布发射出去(如图中Ⅱ)。通常只有2-3个原子层中的原子可以逃逸出来,因此二次离子的发射深度在1nm左右。可见,来自发射区的发射粒子无疑代表着固体近表面区的信息,这正是SISM能进行表面分析的基础。
一次离子照射到固体表面引起溅射的产物种类很多(下图),其中二次离子只占总溅射产物的很小一部分(约占0.01-1%)。影响溅射产额的因素很多,一般来说,入射离子原子序数愈大,即入射离子愈重,溅射产额愈高;入射离子能量愈大,溅射产额也增高,但当入射离子能量很高时,它射入晶格的深度加大将造成深层原子不能逸出表面,溅射产额反而下降。
2 仪器组成
离子探针主要由三部分组成:一次离子发射系统、质谱仪、二次离子的记录和显示系统。前两者处于压强〈10-7Pa的真空室内。其结构原理如图所示。

① 一次离子发射系统
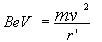
一次离子发射系统由离子源(或称离子枪)和透镜组成。离子源是发射一次离子的装置,通常是用几百伏特的电子束轰击气体分子(如惰性气体氦、氖、氩等),使气体分子电离,产生一次离子。在电压作用下,离子从离子枪内射出,再经过几个电磁透镜使离子束聚焦,照射在样品表面上激发二次离子。用一个电压约为1KV的引出电极将二次离子引入质谱仪。离子由引出电极加速,其能量为:
式中e、m、v分别为离子的电荷、质量和速度,V为加速电压。
② 质谱仪
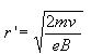
质谱仪由扇形电场和扇形磁场组成。二次离子首先进入一个扇形电场,称为静电分析器。在电场内,离子沿半径为r的圆形轨道运动,由电场产生的力等于向心力:
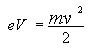
运动轨道半径r等于mv2/eE,与离子的能量成正比。所以扇形电场能使能量相同的离子作相同程度的偏转。由电场偏转后的二次离子再进入扇形磁场(磁分析器)进行第二次聚焦。由磁通产生的洛仑兹力等于向心力:
联立以上公式可得出离子在磁场中运动的轨道半径r’为:
可见质荷比相同的离子具有相同的运动半径。所以经过扇形磁场后,离子按m/e比聚焦在一起,同m/e比的离子聚焦在C狭缝处的成像面上。
不同质荷比的离子聚焦在成像面的不同点上。如果C狭缝固定不动,联系改变扇形磁场的强度,便有不同质量的离子通过C狭缝进入探测器。B狭缝称为能量狭缝,改变狭缝的宽度可选择不同能量的二次离子进入磁场。
③ 离子探测系统
离子探测器是二次电子倍增管,内是弯曲的电极,各电极之间施加100-300V的电压,以便逐级加速电子。二次离子通过质谱仪后直接与电子倍增管的初级电极相碰撞,产生二次电子发射。二次电子被第二级电极吸引并加速,在其上轰击出更多的二次电子,这样逐级倍增,最后进入记录和观察系统。
二次离子的记录和观察系统与电子探针相似,可在阴极射线管上显示二次离子像,给出某元素的面分布图,或在记录仪上画出所有元素的二次离子质谱图。
由于SISM的特点,目前可以应用于下列五个方面的分析研究:
1. 表面分析(包括单分子层的分析),诸如催化、腐蚀、吸附、和扩散等一些表面现象均通过SISM获得了成功的分析研究。
2. 深度剖面分析(深度大于50nm的分析),在薄膜分析、扩散和离子诸如等有关研究中,SISM是测定杂质和同位素的深度浓度 分布最有效的表面分析工具。
3. 面分析 通过离子成像法可以提供关于元素横向分布的信息和适当条件下单定量信息。目前离子成像已经用于研究晶界析出物、冶金和单晶的效应、横向扩散、矿物相的特征以及表面杂质分布等。
4. 微区分析(区域直径小于25μm的微区),用于元素的痕量分析、杂质分析、空气中悬浮粒子的分析等。
5. 体分析 即对固体一般特性的分析。 由于离子探针有许多优点,故自问世以来在半导体、金属、矿物、环境保护、同位素和催化剂各个方面的应用都有很大发展。
(1)在半导体材料方面的应用
由于半导体材料纯度要求很高,要求分析的区域最小,迫切要求做表面分析和深度分析,因此也是最适合离子探针发挥作用的领域,其中有代表性的工作有:
• 表面、界面和体材料的杂质分析
• 离子注入浓度及掺杂的测定
• 在实效分析方面的应用
(2)在金属材料方面的应用
离子探正在金属材料的表面,薄层深度和微量分析方面应用是很广泛的。
• 测定各种钢材和合金表面的钝化膜、渗氮层、氧化墨中的成分。
• 测定各种金属之间的相互扩散、渗透,了解其性质。
• 测定钢和金属的析出相、夹杂物、碳化物的成分、稀土元素以及硼、磷等在钢材晶界上的偏析。
• 测定注入到金属表层中的掺杂元素的深度分布。
• 测定金属表面的沾污和沾物的成分。
(3)在地质矿物方面的应用
由于离子探针不需要预先分离样品,样品消耗量少,并可以直接利用电学方法加以纪记录,因此在地质方面有着广泛的应用:
• 测定陨石中微量元素含量及其分布,以及同位素的丰度比。
• 测定月球上的稀土元素、碱土元素并与地球上的元素进行对比。
• 测定长石中的氧、氟化锂中的氟,云母中的钾的扩散。
• 测定矿物表面的氧化层的成分,找出最佳的选矿工艺。
(4) 在生物样品方面的应用
• 测定牙齿和软骨组织中的微量元素的含量和锂的同位素丰度比。
• 研究牙齿中的氟含量与龋齿的关系。
• 分析叶子中钙、钾、硼、钠、镁、锰等常见元素的含量,以便研究元素含量的影响。
(5)在陶瓷工业中的应用
• 测定磷硅玻璃、氮化硼、硼硅玻璃中的微量元素含量及其分布。
• 分析稀土元素在水口砖中的扩散,与稀土浇注结瘤的关系。

电子显微原理与技术
上一篇:俄歇电子能谱仪
下一篇:X射线光电子能谱分析