全球最实用的IT互联网信息网站!

AI人工智能P2P分享&下载搜索网页发布信息网站地图

当前位置:诺佳网 > 电子/半导体 > 测量仪表 >

三电压表法电路

时间:2008-12-22 14:58

人气:

作者:admin

标签: 电压表 

导读:三电压表法电路-三电压表法测定电感线圈的参数将电感线圈与一个可变电阻...

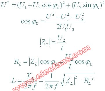
三电压表法测定电感线圈的参数


 将电感线圈与一个可变电阻器串联,其测量电路如图5.7.2所示。选取适当的电阻值,测出电压U、U1、U2,以及电流 I 的值。根据电路中各电压间的相量关系如图5.1.3所示,可求得:

温馨提示:以上内容整理于网络,仅供参考,如果对您有帮助,留下您的阅读感言吧!
相关阅读
本类排行
相关标签
本类推荐

CPU | 内存 | 硬盘 | 显卡 | 显示器 | 主板 | 电源 | 键鼠 | 网站地图

Copyright © 2025-2035 诺佳网 版权所有 备案号:赣ICP备2025066733号
本站资料均来源互联网收集整理,作品版权归作者所有,如果侵犯了您的版权,请跟我们联系。

关注微信