时间:2008-09-11 17:24
人气:
作者:admin
高频电子线路习题集 (2-10)
2-1对于收音机的中频放大器,其中心频率f0=465 kHz.B0.707=8kHz,回路电容C=200 PF,试计算回路电感和 QL值。若电感线圈的 QO=100,问在回路上应并联多大的电阻才能满足要求。
解2-1:


答:回路电感为0.586mH,有载品质因数为58.125,这时需要并联236.66kΩ的电阻。
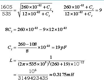
2-2 图示为波段内调谐用的并联振荡回路,可变电容 C的变化范围为 12~260 pF,Ct为微调电容,要求此回路的调谐范围为 535~1605 kHz,求回路电感L和Ct的值,并要求C的最大和最小值与波段的最低和最高频率对应。
解2-2:


答:电容Ct为19pF,电感L为0.3175Mh.
2-3 图示为一电容抽头的并联振荡回路。谐振频率f0=1MHz,C1=400 pf,C2=100 pF 求回路电感L。若 Q0=100,RL=2kΩ,求回路有载 QL值。
解2-3


答:回路电感为0.317mH,有载品质因数为1.546
2-4 石英晶体有何特点?为什么用它制作的振荡器的频率稳定度较高?
答2-4
石英晶体有以下几个特点
晶体的谐振频率只与晶片的材料、尺寸、切割方式、几何形状等有关,温度系数非常小,因此受外界温度影响很小
具有很高的品质因数
具有非常小的接入系数,因此手外部电路的影响很小。
在工作频率附近有很大的等效电感,阻抗变化率大,因此谐振阻抗很大
构成震荡器非常方便,而且由于上述特点,会使频率非常稳定。
2-5 一个5kHz的基频石英晶体谐振器, Cq=2.4X10-2pF C0=6pF,,ro=15Ω。求此谐振器的Q值和串、并联谐振频率。
解2-5:

答:该晶体的串联和并联频率近似相等,为5kHz,Q值为88464260。
2-6 电阻热噪声有何特性?如何描述
答2-6:
电阻的热噪音是由于温度原因使电阻中的自由电子做不规则的热运动而带来的,因此热噪音具有起伏性质,而且它具有均匀的功率谱密度,所以也是白噪音,噪音的均方值与电阻的阻值和温度成正比。
2-7 求如图所示并联电路的等效噪声带宽和输出均方噪声电压值。设电阻R=10kΩ,C=200 pF,T=290 K。
解2-7

答:电路的等效噪声带宽为125kHz,和输出均方噪声电压值为19.865μV2.
2-8 如图所示噪声产生电路,已知直流电压 E=10 V,R=20 kΩ,C=100 pF,求等效噪声带宽B和输出噪声电压均方值(图中二极管V为硅管)。
解2-8:
此题中主要噪音来自二极管的散粒噪音,因此


2-9 求图示的T型和П 型电阻网络的噪声系数。

解2-9
设两个电路的电源内阻为Rs
解T型网络

2.解П型网络

2-10 接收机等效噪声带宽近似为信号带宽,约 10kHz,输出信噪比为 12 dB,要求接收机的灵敏度为 1PW,问接收机的噪声系数应为多大?
解2-10,根据已知条件

答:接收机的噪音系数应为32dB。
高频电子线路习题答案