时间:2006-03-24 13:12
人气:
作者:admin
作者Email: ZYDZ2001-8@163.COM
输变电系统中的容性设备的介质损耗测量是整个输变电系统绝缘监测的一个重要组成部分,其相关技术也在飞速发展,检测方法和原理有多种,比如过零时差比较、过零电压比较、利用FFT(快速傅利叶变换)进行信号分析、小波形信号分析等等。由于FFT和小波形信号分析在介损测量中的应用技术还不成熟,现场的实测数据也不理想。过零时差比较的方法是最早应用在介损测量中的,在前端信号滤波效果很好的情况下,可以达到很高的精度和很高的分辨率。但由于电网中高次谐波、器件的温漂等因素的影响,实测数据的误差有时相当大,目前过零时差比较的相位检测精度一般只能达到2ˊ。实验表明,实测的过零时差原始数据和容性设备介损的tgδ值并不严格成线性关系。
能不能通过改进软件算法提高过零时差比较的相位检测精度呢?实践证明,合理的算法确实对提高过零时差比较的相位检测精度有很大的帮助,实测数据接近西林电桥的检测精度。对前端模拟信号利用模拟加数字相结合进行滤波,加之合理的软件算法,在实际应用中收到了良好的效果。
整个系统的前端信号采样部分如下:

向量图如下

电力系统的容性设备在正常工作时会产生一定的泄露电流, 泄露电流中包含容性分量Ic和阻性分量Ir,容性分量对设备的安全运行不会产生危害,阻性分量产生有功功率,表现为设备发热,达到一定程度将危害设备的安全运行。Ir的大小是由容性设备的介质损耗即tgδ决定的,因此动态地监测介质损耗的变化是保障电力系统安全运行的一项重要措施。
由于过零时差比较检测的原始数据和设备的实际介损值不成线性,可以尝试用线性化近似代替,线性近似算法依据以下原理:

用CPLD器件EPM7160构建24位计数器,以下VHDL代码从略,外部时钟选10M,最大计时间T=167.8ms,一个工频周期为20ms,有充足的余量保证在一个工频周期内完成采样而计数器不回零,这样可以减少MCU的软件开销,相位分辨率接近0.1`,完全可满足要求。一个完整的采样周期是这样的:CT信号经由负变正过零触发,此时的上升沿将时间捕捉,接着PT信号经由负变正过零触发,此时的上升沿将时间捕捉,然后停止计数器并发出中断请求信号,MCU读取时间值并计算时间差,连续采样50次,取平均值。
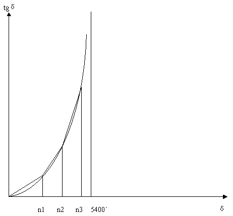
假定介损处于上图中n1点时的相位时差为90000(δ=10度),n2点时的相位时差为60000(δ=50度),n3点时的相位时差为30000(δ=80度),理想情况下电流超前电压90度时相位时差为100000,即δ=0。在角度很小的情况下,介损tgδ值约等于弧度值。n1点的实际介损tgδ*100(%)=17.63。n2点的实际介损tgδ*100(%)=119.18,n3点的实际介损tgδ*100(%)=567.13。以下给出此功能函数的C51源程序:
extern unsigned long int phase_data; file://相位时差采样原始数据
extern float true_value; file://实际介损值
extern bit over_flag; file://过量程标志
void data_split()
{
if(phase_data>90000)
true_value =((100000- phase_data)/10000)*17.63;
else if(60000
else if(30000
else
over_flag=1; file://置过量程标志
}
为了便于说明,以上只是给出了一个简单的模型,实际从0`到5400`的分割点要多得多。因容性设备的介质损耗角(δ)达到60`时,此设备的介损已严重超标,必须更换,所以介质损耗角在10度以上时检测已无必要。以上所列出的一些数据和算法模型有条件的读者可以自行验证。
下一篇:基于IC卡的记录式温度表