时间:2006-03-24 13:14
人气:
作者:admin
摘要:在频率测量过程中,±1个计数误差通常是限制频率测量精度进一步提高的重要原因。在分析±个计数误差产生原因的基础上,提出了一种利用被测信号、时钟基准和测量门限相位的全同步来消除计数误差的频率测量方法,给出了基于FPGA实现上述测量方法的实验原型和实验对比结果。
频率测量是电子测量技术中最基本的测量之一。工程中很多测量,如用振弦式方法测量力、时间测量、速度测量、速度控制等,都涉及到频率测量,或可归结为频率测量。频率测量方法的精度和效能常常决定了这些测量仪表或控制系统的性能。频率作为一种最基本的物理量,其测量问题等同于时间测量问题,因此频率测量的意义更加显然。
常用数字频率测量方法有M法、T法和M/T法。M法是在给定的闸门时间内测量被测信号的脉冲个数,进行换算得出被测信号的频率。这种测量方法的测量精度取决于闸门时间和被测信号频率。当被测信号频率较低时将产生较大误差,除非闸门时间取得很大。所以这种方法比较适合测量高频信号的频率。T法是通过测量被测信号的周期然后换算出被测信号的频率。这种测量方法的测量精度取决于被测信号的周期和计时精度,当被测信号频率较高时,对计时精度的要求就很高。这种方法比较适合测量频率较低的信号。M/T法具有以上两种方法的优点,它通过测量被测信号数个周期的时间然后换算得出被测信号的频率,可兼顾低频与高频信号,提高了测量精度。
图1
但是,M法、T法和M/T法存在±1个字的计数误差问题:M法存在被测闸门内±1个被测信号的脉冲个数误差,T法或M/T法也存在±1个字的计时误差。这个问题成为限制测量精度提高的一个重要原因。本文在以上方法基础上,提出了一种新的频率测量方法,该方法利用全同步方法消除限制测量精度提高的±1数字误差问题,从而使频率测量的精度和性能大为改善。
1 全同步数字频率测量方法的原理
M/T法是目前使用比较广泛的一种频率测量方法。其核心思想是通过闸门信号与被信号同步,将闸门时间T控制为被测信号周期的整数倍。测量时,先打开参考闸门,当检测到被测信号脉冲沿到达时开始计时,对标准时钟计数;参考闸门关闭时,计时器并不立即停止计时,而是待检测到被测信号脉冲沿到达时才停止计时,完成测量被测信号整数个周期的过程。测量的实际闸门时间与参考闸门时间可能不完全相箱,但最大差值不超过被测信号的一个周期。M/T法测量原理如图1所示。
图2
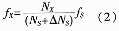
设实际闸门时间为Ts,被测信号周期数为Nx,标准时钟计时值为Ns,频率为fs,则被测信号的频率测量值为:

由于实际闸门时间为Ts为被测信号周期的整数倍,因此Nx是精确的;而对标准时钟的计量值则存在误差△Ns(|△Ns|≤1),即标准时钟计时的真值应为Ns±△Ns。由此可知被测信号的频率真值为:

若不计标准时钟的误差,则测量的相对误差是:

可以看出,M/T法实际上就是将测量闸门信号与被测信号同步,使得实际测量时间是被测信号周期的整数倍,所以M/T法又称为多周期同步测量法。M/T法中,相对误差与被测频率无关,即对整个测量频率域等精度测量;对标准时钟的计数值Ns越大则测量相对误差越小;提高门限时间Ts和标准时钟频率可以提高测量精度;在精度不变的情况下,提高标准时钟频率可以缩短门限时间,提高测量速度。
由此可见,对闸门时间Ts的计时误差△Ns是限制M/T法频率测量精度进一步提高的主要原因,消除△Ns误差是提高测量精度的有效手段。全同步频率测量法则是在参考闸门的控制下,寻找与标准时钟同步的被测信号,并以此信号作为实际闸门的控制信号,实现实际测量闸门信号、标准时钟、被测信号全同步,从而消除Nx和Ns测量误差。
全同步频率测量法原理如图2所示。在给出参考闸门信号后,通过一个脉冲同步检测器检测被测信号脉冲沿和标准时钟信号脉冲沿的同步信息,当它们同步就开始计时;参考闸门关闭后,亦检测被测信号脉冲沿和标准时钟信号脉冲沿的同步信息,当它们同步则停止计时。
对于任意的标准时钟和被测信号,要找到两者脉冲完全同步的时刻来开启、关闭闸门是不现实的,但有可能找在实现脉冲同步检测电路时,也存在一个脉冲同步检测的误差范围。若以这个脉冲同步检测电路检测到脉冲同步的时刻作为开关信号,可以使得实际闸门的开关发生在标准时钟和被测信号都足够接近的时刻,从而达到计算值量化误差的最小化。
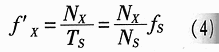
设开启闸门时脉冲同步时间为△t1,关闭闸门时脉冲同步时间差为△t2,脉冲同步检测最大时间差值或称为最大误差为△t,则有:|△t1|≤△t,| △t2|≤△t。不计标准时钟误差,实际闸门与标准时钟同步,实际闸门时间为Ts,则被测信号的频率测量值为:

被测信号频率的真实值可表示为:

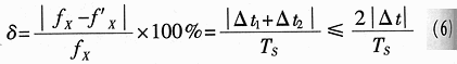
频率测量的相对误差为:

从(6)式可知,频率测量的最大相对误差只与脉冲同步检测最大时间差值△t和闸门时间Ts有关。将(6)式与(3)式对比可知,标准时钟周期1/?s和脉冲同步检测最大时间差值△t分别是M/T法和本文所述的全同步频率测量法中限制频率测量精度提高的原因。显然,控制△t来提高频率测量精度是有铲的,而且实现起来比提高标准时钟频率更容易。在全同步频率测量法中,当△t=2.5ns、Ts为1s时,频率测量相对精度可以达到10 -9量级;或当△t=2.5ns、Ts取0.001s时,可以实现1000次/s、相对精度达到10-6量级的快速动态频率测量。
2 实验原形与测试结果
根据上述思想,利用VHDL语言,在基于ALTERA公司EPF10K100ARC240-1 FPGA的硬件平台上实现了一个全同步数字频率测量的实验原形,其原理图如图3所示。
系统由控制器、脉冲同步检测、计数器、频率换算逻辑、锁存器和显示等几部分组成。其中,脉冲同步检测是检测被测信号与标准时钟是否同步并产生实际闸门控制信号的关键部分,其电气性能直接影响到频率测量精度。脉冲同步检测的设计仿真结果如图4所示。
图4中,pulse1和pulse2为输入的标准时钟和被测信号,gate为输入的参考闸门信号,output为脉冲同步检测电路产生的实际闸门信号。所设计电路的脉冲同步检测最大误差△t为2.5ns,即pulse1和pulse2的上升沿时间如果相差不大于2.5ns,则检测为两脉冲同步;反之,则检测为两脉冲不同步。
在相同条件下使用全同步频率测量法与A/T法进行频率测量的对比结果如表1所示。系统使用的标准时钟频率fs为1.000000MHz,被测信号频率标称值为3.68639MHz。
表1 全同步频率测量法与M/T法的测量对比结果
| 测量编号 | 参考闸门时间(ms) | 全同步频率测量法 | M/T法 | |||
| 标准时钟计 数值 | 测量信号计 数值 | 实际闸门时间(ms) | 测量结果(MHz) | 测量结果(MHz) | ||
| 1 | 1 | 963 | 3550 | 0.963 | 3.68639 | 3.687 |
| 2 | 1 | 1014 | 3738 | 1.014 | 3.68639 | 3.687 |
| 3 | 1 | 1014 | 3738 | 1.014 | 3.68639 | 3.686 |
| 4 | 1 | 1014 | 3738 | 1.014 | 3.68639 | 3.687 |
| 5 | 0.01 | 118 | 435 | 0.118 | 3.6864 | 3.7 |
| 6 | 0.01 | 51 | 188 | 0.051 | 3.6862 | 3.7 |
| 7 | 0.01 | 51 | 188 | 0.051 | 3.6862 | 3.7 |
| 8 | 0.01 | 118 | 435 | 0.118 | 3.6864 | 3.6 |
可以看出:闸门时间缩短会影响测量精度,但在同等条件下,全同步频率测量法的测量精度要高于M/T法;M/T法通过提高标准时钟频率或加大门闸门时间来提高频率测量精度,而全同步频率测量法可以使用较低标准时钟频率、较短闸门时间来获得较好的频率测量精度。
本文提出的全同步频率测量方法可以在较低的标准时钟频率、较短的闸门时间条件下显著提高频率测量的精度,适用于各种频率测量场合。本文实现的实验原型主要是为了对本文方法进行验证,在实际应用还需要考虑输入信号波形失真对精度的影响、相位检测可能出现的极端情况等问题。