时间:2024-01-12 09:10
人气:
作者:admin
瑞姐,连接器又被我拧坏了....
嚯,都开花儿了
拧射频连接器的时候啊,如果一下拧不上,千万别使蛮力呀!得先辨别一下连接器是不是能互连...
瑞姐,传授一下关于同轴连接器的秘籍呗!
我工作中经常会遇到同轴连接器操作出现问题的情况。今天就在这里作一个关于同轴连接器的小总结吧!
同轴连接器结构
同轴连接器可以分为有极性、无极性和反极性三大类。
绝大多数同轴连接器都是有极性的,由完全匹配的一对阳头(Male,又称公头)和阴头(Female,又称母头)组成。连接器的属性仅针对内导体而言,阳头呈针状,阴头呈孔状。
有极性连接器
无极性连接器又称为平接头。这种连接器没有阳头和阴头之分,其外导体靠螺纹配合,可以前后伸缩,既可定义为阳头,也可定义为阴头;内导体是靠其顶端的平面接触完成连接。
无极性连接器
第三类叫做反极性连接器,其内导体的属性与我们的常规思维刚好相反,即阳头呈孔状,而阴头呈针状。例如在Wi-Fi设备中可能见到反极性的 RP-SMA和 RP-BNC等连接器。但是在实验室应用中,不推荐使用反极性连接器。
反极性连接器
从阳头和阴头外导体的配合方式看,同轴连接器又可以分为螺纹式、卡口式和推入式。
同轴连接器设计参数
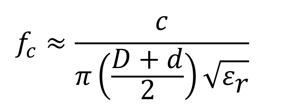
射频同轴连接器的设计参数通常包括特性阻抗和截止频率。

射频同轴连接器截面图
特性阻抗为:

截止频率为:

以上两式中,D为外导体内径,d为内导体外径,
为介质的介电常数,c为光速。
连接器的特性阻抗和内、外导体直径及导体间介质的介电常数有关:外导体越粗,阻抗越高,内导体越粗,阻抗越小。在射频微波传输系统中,除了广播电视领域采用75欧姆特性阻抗,其他同轴连接器的特性阻抗一般为50欧姆。
任何连接器的下限频率一般为DC,而上限频率受限于结构,即内、外导体的尺寸和内部所填充的介质。连接器尺寸越小上限频率越高;而填充介质会降低上限频率,同时会增加损耗。
常见的射频同轴连接器

同轴连接器匹配
如上所述,有极性的射频连接器分为阳头和阴头。拧连接器时,一般保持连接器中心(即内导体)不动,旋转外螺纹,否则内导体容易磨损,连接器性能下降。
如下图所示,对应左边条纹颜色相同的连接器机械上可以互连,例如:SMA、3.5mm和2.92mm的连接器可以互连,2.4mm和1.85mm的连接器可以互连。1.85mm、2.4mm 与2.92mm、3.5mm、SMA 因为内径不一样而不能互连,1.85mm、2.4mm与1.0mm也不能互连,否则会造成损坏,如开头图片所示。

常见的射频同轴连接器
力矩扳手的应用
在射频连接器精密连接和测试时,力矩扳手是必要工具,可以有效地防止射频连接器虚连,同时可以避免使用扳手时力矩过大而损坏连接器。力矩扳手的使用也是有讲究的,不能用力过猛,使用方式请参考如下正确范例。

力矩扳手的正确使用
下图则是力矩扳手应用中的使用。

力矩扳手的使用
射频连接器参考建议

同轴射频连接器的清洁
射频连接器的清洁
使用泡沫或其它不掉毛材质的细签棒,不可以使用普通棉签
使用乙醇异丙醇,不可用丙酮
使用压缩气枪去除异物颗粒
清洁内外螺口
射频微波同轴连接器应用广泛,且具有一定的精密性,正确使用不仅可以提高仪器测量的准确度,同时可以延长其使用寿命。
审核编辑:刘清
上一篇:浅谈光纤熔接的两种方式
下一篇:线缆的加工与测试步骤
Samtec应用漫谈 | 新VITA™93.0 QMC™标准为坚