时间:2023-10-25 09:55
人气:
作者:admin
车载网络发展到今天,已有诸如CAN (FD),LIN,FlexRay,MOST等成熟的PHY层协议,也有基于LVDS/USB技术被广泛应用的链路传输型式。但是,随着时间的迁移,相关的协议和技术已逐渐不能满足当前的传输需求。基于种种情况和现状,汽车工程师们也在思考,是否可以引入一种广泛用于各领域的协议,这种协议支持较高的速率传输,又对于链路连接形式有归一性,使整车链接种类降低,成本降低,同时能将汽车轻松简便扁平化地连接世界。最终,于20世纪70年代诞生的以太网以其各种相适应的特性而入选。
01 汽车以太网的发展
汽车以太网相关的组织,首当其冲的是IEEE802.3,该工作小组几乎是伴随着以太网一同诞生的,是以太网研究性指导标准的主要发布机构。
对于汽车以太网,IEEE802.3又细分为不同的小组:①百兆汽车以太网 (100BASE-T1) ———IEEE802.3bw;②千兆汽车以太网 (1000BASE-T1) ———IEEE802.3bp;③多G汽车以太网 (Multi-Gig Automotive Ethernet) ———IEEE802.3ch。
近年提出的十兆汽车以太网 (10BASE-T1S) ———IEEE802.3cg,是作为代替CAN (FD) 和LIN的一个选择。
汽车以太网应用的产业推动联盟是2011年11月在OPENSIG基础上发展而来的OPEN联盟。OPEN联盟现已有将近400个成员单位,它主要发布众多关于汽车以太网的实际应用标准。其中百兆汽车以太网完整方案OABR (BroadR-Reach)最早发布,芯片也已完全量产。
因为以太网的实时响应性相较于CAN (FD),LIN等网络来说较差(即便具备QoS机制),所以IEEE还成立了关于提高汽车以太网实时响应性的工作小组,最初归属于IEEE802.3后转至IEEE802.1,发展阶段如图1所示。

图1 汽车以太网发展阶段
02 汽车以太网数据通道研究
想要将以太网合理运用到车载网络中,需要考虑许多因素。OPEN联盟对于物理层的传输提出了一系列相关的标准,从适用于百兆汽车以太网的TC2 1.0正式版到适用于千兆汽车以太网的TC9 (UTP非屏蔽绞线对) 2.0正式版,以及在2019年7月已正式发布的TC9 (STP屏蔽绞线对) 版本。TC9相较于TC2的要求更为严苛。如图2所示。

图2 TC2和TC9
针对信号传输 (SCC———Standalone Communication Channel)本身,以下重要参数需要关注。
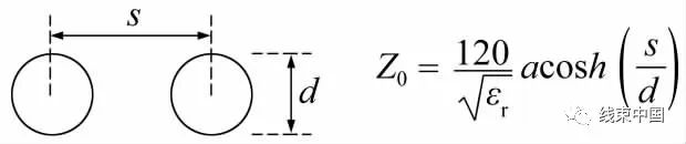
2.1 特性阻抗(CIDM)
特性阻抗不是直流电阻,存在于长线传输中。特性阻抗的稳定与否决定了传输效果的好坏,如果传输路径上的特性阻抗发生变化,信号就会在阻抗不连续的结点产生反射。
在差分系统中,特性阻抗可以通过以下公式计算:

从公式中可以看出,影响线缆或其他组件特性阻抗的因素包含:①s:差分对之间的距离;②d:差分对的外径;③εr:整体介电常数。汽车以太网PHY层链路的特性阻抗是100Ω。
2.2 传输延迟(Propagation Delay)
传输延迟是指相位延迟,即差分系统中两差分路径由于不等长造成的信号延迟现象。是系统集成时进行补偿设置的重要判断参数。
2.3 回波损耗(Return Loss)
回波损耗(S11) 又称为反射损耗,是链路由于阻抗不匹配所产生的反射,通常用-dB单位表示。如图3所示,连接器内部由于有不规则的锁止结构,使得阻抗不匹配造成的反射更易发生在此处(图示红色部分),回波损耗是评价连接器的重要参数。回波损耗的绝对值越大,信号传输效果越好。

图3 阻抗不匹配造成的反射更易发生在红色块部分
2.4 插入损耗(Insertion Loss)
插入损耗(S21) 是指发射端和接收端之间,引入其他器件导致的信号衰减量,通常用dB表示。如图4所示,发射端和接收端的主要引入器件是线缆(整个链接中更长),因此插入损耗主要发生在整个线缆之间(红色部分),由长度和线缆自身材料特性影响,是评价线缆的重要参数。插入损耗的绝对值越小,信号传输效果越好。

图4 插入损耗主要发生在整个线缆之间(红色)
2.5 纵向转换损耗(LCL)
纵向转换损耗(Sdc11) 指通讯线缆发射端或接收端的差模信号与共模信号的转换能力(图5),用来衡量连接系统平衡性的好坏,通常用dB表示。纵向转换损耗的绝对值越大,连接器的平衡性越好,抑制差模与共模转换的能力越强。

图5 纵向转换损耗
2.6 纵向转换传输损耗(LCTL)
纵向转换传输损耗(Sdc21) 指通讯线缆发射端与接收端之间的差模信号与共模信号的转换能力,用来衡量连接系统平衡性的好坏,通常用dB表示。纵向转换传输损耗的绝对值越大,线缆的平衡性越好,抑制差模与共模转换的能力越强。
影响平衡性的主要因素:差分系统两路径的等长程度;路径距离参考平面的等距程度。等长或等距的程度越高,则平衡性越好,平衡越稳定。这些参数极大影响了以太网传输的性能。
针对EMC性能(WCC--Whole Communication Channel,包含ES),TC9则给出了诸多不同种类串扰的约束值和测试设置方法。
03 数据通道方案
罗森伯格为汽车以太网所提供的连接方案,综合考虑了电性能(如射频传输、EMC、电接触等)、机械性能(如拉拔力、coding效率、对配解锁力、耐磨性等) 和生产组装(压接技术、自动装配等) 的要求;所使用的双绞线主要供应商是Gebauer&Griller和Leoni,他们为整个连接总成提供了良好的保障。
罗森伯格针对汽车以太网开发了两款数据连接器,分别为非屏蔽形式的MTD R连接器和屏蔽形式的H-MTD连接器(图6),两者都同时支持百兆汽车以太网和千兆汽车以太网。H-MTD甚至预计支持汽车行业所有基于差分结构的传输协议。

图6 MTD连接器和H-MTD连接器
MTD R连接器适配非屏蔽双绞线(UTP),传输频率最高1GHz;H-MTD连接器同时支持非屏蔽双绞线(UTP)、屏蔽双绞线(STP) 和屏蔽平行线(SPP),设计传输频率最高可达15GHz。MTD R连接器是目前市场上最小的汽车以太网专用连接器,PCB连接器优化的接触pin保证了高平衡低串扰的良好EMC性能。对于MTD R非屏蔽的先天要求,罗森伯格通过运用蜂窝状的间置结构,最大程度实现了最小的近端串扰。同时,多孔MTD R连接器每个孔位都对应了不同的coding,确保机械防错和颜色防错功能的同步实现。
在线束端,典型的传统连接器连接方式如图7所示。受绞合的影响,压接端子后的绞合线缆,很难完成分别插入端子至塑壳中这个操作过程;即便2个平行端子克服困难插入塑壳中,端子也会因为尾端的绞合线缆,始终对塑壳有向外拖拽的应力。基于以上两点,大多数主机厂都会要求绞合线缆在端子末端放开一段长度不绞。这段不受控制的非绞合线缆对于汽车以太网的应用来说是致命的。汽车行进过程中的震动,致使这段非绞合线缆一同震动,由于两个线缆之间的距离不断变动(上文提到过影响特性阻抗的其中一个因素就是差分对之间的距离),导致特性阻抗不断变化,极易发生超标准的情形,也就极易造成较大的信号反射。

图7 典型的传统连接器连接方式
罗森伯格深谙这一点,因此在设计过程中,未绞合的过度位置被设计得很短并被固定包裹在连接器子壳体中,线缆绝缘外皮被紧固在护套中,且缩短包裹尺寸并对端子前端有轻微缓冲。如图8所示。

图8 罗森伯格设计的连接器连接方式
H-MTD连接器(图9) 是360°全屏蔽系统,增加了集成类型,支持的线缆类型更多,适用汽车以太网需求及未来需要的更高传输速率,已成为新的世界多应用连接器标准。现有全球认可的主机厂见图10。

图9 H-MTD连接器
04 结 语
随着车载数字化应用的再发展和多G以太网研究的深入,适用于更高频率的车载硬件需要尽早提上日程,对于不同频率,H-MTD连接器已适配不同型式、不同工作频率的供应商线缆。而汽车以太网自身也将向着是继续提高PAM等级以及提高现有带宽两个方向讨论发展。一味地提高PAM会造成传输链路更加脆弱,但提高带宽依靠的是硬件的提升,也会催生出所有未做长远打算的厂商未来不得不面临的问题--新的选型设计、新的成本考量。
编辑:黄飞
Samtec应用漫谈 | 新VITA™93.0 QMC™标准为坚