时间:2023-07-04 10:34
人气:
作者:admin
一、引言
日前,国际标准化组织首次发布了 ISO 19642-11:2023,Road vehicles -Automotive cables-Part 11:Dimensions and requirements for coaxial RF cables with a specified analogue bandwidth up to 6 GHz (20 GHz)车用射频同轴电缆标准。标准涵盖了 22 种同轴电缆,满足车辆不同位置和功能需要。
这份标准由国际标准化组织道路车辆技术委员会一般电气分委员会汽车电缆工作组(ISO TC22/SC32/WG4)负责起草,牵头起草人是奥地利 GG 公司的资深标准化专家,数据电缆专家 Kurt Herrmann 先生。
ISO 19642-11:2023 车用射频同轴电缆具体型号概括如表 1。

注 1:FX——柔性,HX——高柔性。
注 2:未特别说明的外导体均为编织+复合铝金属箔。
在几乎所有的场合,汽车上的电缆要求的耐热温度都在 B-T100 等级及以上,这种温度要求材料至少是聚丙烯(PP)或交联聚乙烯(XLPE)。通常的聚乙烯(PE)一般不允许应用于汽车。
发泡是降低介质材料介电常数和戒指损耗的有效手段,从而可以减小产品尺寸,降低衰减,提高有效传输距离,提高传播速率。这份标准的发泡同轴电缆值得关注,即 CX174c(RG174LL)、CX31a(RTK031)和 CX44a/b/c(RTK044),用于目前最流行的 mini Fakra 连接器。虽然标准中也保留发泡的 CX58a/b/c(RG058),但由于尺寸原因不能用于 mini Fakra,应用前景渺茫,所以在此不做进一步讨论。
表2

为了满足车辆对温度的要求,通常的发泡材料必须采用 PP。
二、结构尺寸和截止频率
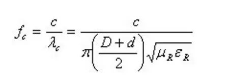
传统的 Fakra 连接器适用于 RG058 等 5 mm 及以下尺寸同轴电缆,目前广泛应用于汽车。同轴电缆的电磁波通常是以横向电磁波模式(TEM)传播的,在不太高的频率下,由于波长远远的大于电缆和连接器件的横向几何尺寸,是没有什么问题的。随着传输频率的提高,波长越来越短,当波长接近于电缆的横向几何尺寸,出现了新的问题。当波长小于介质的平均周长时,电磁波将产生第一个高阶模式 TE11。高阶模式也可以传播,但会增加损耗和驻波比,因为它的传播速度和 TEM 模式不同,会对 TEM 模式产生干扰。所有频率越高的同轴电缆和连接器越需要更小的尺寸,以避免产生高阶模式。通常把可能产生 TE11 模式的频率作为同轴系统的截止频率。

由于连接器的尺寸比匹配的电缆的尺寸要大,所以电缆匹配的连接器要首当其冲的遇到高阶模问题,比如传统 Fakra 连接器的截止频率基本在 6 GHz,虽然匹配的最大尺寸的电缆RG58 的截止频率能到 25 GHz,但传统的车用同轴电缆和连接系统也以 6 GHz 作为传输频率的上限。最新的 mini Fakra 连接器不仅结构紧凑,节省空间,截止频率也可突破 6 GHz,甚至达到(15~20)GHz,受到车辆连接系统的欢迎和广泛采用。由于系统频率的提高,对所用电缆的频率有时也要求达到 20 GHz。
三、插入损耗(衰减)和传播速率分析及 RTK044 电缆介绍
对于电缆虽然截止频率不是问题,但是随着频率的提高,电缆的插入损耗(衰减)急剧增大。损耗的增大,降低了有效传播距离,有时不得不增加放大器,提高成本。特别是到了20 GHz 的高频,一般电缆的损耗已经不可接受。
降低损耗的途径主要有两条,一是用大尺寸的电缆,如 RG058,二是采用发泡介质。但RG058 无法和 mini Fakra 连接器匹配,因为 mini Fakra 的孔径要求电缆小于 4 mm。为了适应 mini Fakra 的尺寸和 20 GHz 高频频率,RTK044 应运而生。RTK044 尺寸介于RTK031 和 RG058 之间,是 mini Fakra 适用的最大尺寸的电缆,充分利用了大尺寸带来的损耗的减小,另外,CX44a/b 采用发泡结构,标准规定传播速率在 78%以上,更有利于损耗降低。
传播速率和相对介电常数开方的倒数成正比,所以也和发泡度有关,对于最小 78%的传播速度,这要求大约 1.6 的相对介电常数和 50%的发泡度。
另外标准也推出了最高频率到 9 GHz 的低配版本的 RTK044 电缆 CX44c,因为目前很多实际应用并不需要 20 GHz 的高频,CX44c 在性能上插入损耗要求比 CX44a/b 大很多,所以应用频率不能过高。
CX44c 和 CX44a/b 在结构上最大的不同就是传播速度要求低,要求 75%以上,实际就是要求大约 1.7 的相对介电常数和 40%的发泡度。

图 1 20GHz 的 CX44a/b 和 9GHz 的 CX44c,损耗对比
四、物理发泡和化学发泡对比分析及 RTK031 电缆介绍
从 CX44a/b 和 CX44c 的比较可以看出隐含的要求,CX44a/b 需要物理发泡,CX44c 则可以化学发泡。化学发泡的发泡度通常在 20%~40%,物理发泡的发泡度可达 50%以上。
目前,市场上的RTK44 主要GG 提供的 CoSpeed5044。到目前为止,还没有莱尼关于RTK044 的信息。如前所述,这个标准的执笔人是 GG 的 Kurt Herrmann 先生,所以倾向于 GG的技术优势也是理所当然的事情。据了解,CoSpeed5044 采用了罗森泰的 PP 物理发泡设备生产。
目前 RTK031 同轴电缆应用比较多,市面上莱尼的型号都是 Dacar302,应该是化学发泡。
如果是物理发泡则应该叫 Dacar301。同样是 RTK031 电缆,莱尼的型号 Dacar302 和 GG 的型号 CoSpeed5031 对比,莱尼尺寸偏大约 0.1 mm。尺寸和相对介电常数,发泡度有关。目前ISO 标准 RTK031 只一个规格即 CX31a,传播速度最小 75%,兼顾了物理和化学发泡。
五、发泡型 RG174LL 电缆介绍
CX174c 也是 ISO 标准中的一个新的规格,GG 型号叫 CoSpeed5174,和传统的实心介质RG174LL 外形尺寸一样,但内导体加粗,采用发泡结构,传播速度 78%以上,所以损耗和传统的 RG174LL 相比大大降低。
传播速度 78%以上,也说明必须物理发泡。损耗的降低可以有效提高传输距离,甚至可以不需要放大器,非常有利于降低成本,市场优势明显。这应该是新型 RG174LL 的主要卖点。

图 2 新型的 CX174c 发泡电缆和传统 RG174 实心电缆的损耗对比
编辑:黄飞
Samtec应用漫谈 | 新VITA™93.0 QMC™标准为坚