时间:2023-07-18 17:19
人气:
作者:admin
0 1引言
作为最有前景的光伏材料之一,金属卤化物钙钛矿在能源和环境问题日益严重的今天受到广泛关注。尽管钙钛矿拥有优良的光电性质,其服役时的退化相变问题严重制约了商业化的发展。寻找稳定且具有优良光伏性质的潜在钙钛矿多型体,是解决退化相变问题的其中一个方向。另一方面,通过元素取代的方法调控钙钛矿的相变动力学以抑制相变也是一个可能的方法,但必须同时考虑元素取代对能带结构的影响。在如此背景下,本课题以CsPbI3为例,通过结构搜索寻找稳定的潜在钙钛矿多型体并计算其能带结构,研究多型体的结构特征与带隙大小之间关系。进一步通过卤素取代调控钙钛矿退化相变的动力学,并研究取代对带隙的影响。
0 2成果简介
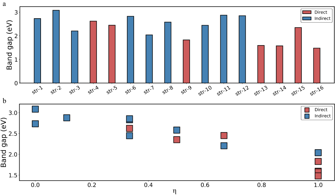
搜索了CsPbI3的势能面并挑选了其中能量最低的16个结构作为钙钛矿多型体研究对象。对16个多型体进行几何结构优化,优化后分析其结构特征,特别是涉及共角连接的碘原子比例。使用鸿之微DS-PAW软件计算优化后的16个结构模型的能带与态密度,对比不同结构的带隙值大小。结合结构特征分析与能带结算结果,分析钙钛矿多型体的结构-带隙关系,结果表明:共角连接的比例越高,多型体的带隙越小。进一步构建了卤素取代模型,研究其能带结构和稳定性,结果显示:卤素体系的带隙值顺序为I < Br < Cl,而稳定性顺序则相反。研究结果表明:通过调节结构内共角连接的比例可调控材料钙钛矿带隙值的大小;通过卤素取代可提高稳定性,但需要同时注意对带隙值的不利影响。
0 3图文导读



图1 16个钙钛矿多型体的能带结构及DOS计算结果

图2 (a)16个钙钛矿多型体的带隙值对比图。蓝色柱代表间接带隙,红色柱代表直接带隙。(b)带隙值与共角连接比例的关系。(η = Nc/Ntot,其中Nc表示模型内涉及共角连接的I离子总数,Ntot表示模型原子)

图3 (a-c)卤素取代模型的能带结构及DOS计算结果。(d)卤素取代模型带隙值对比
0 4小结
本文使用鸿之微DS-PAW软件,计算了16个潜在钙钛矿多型体的能带结构与态密度,对比了其带隙值,结合结构特征的分析结果,获得了钙钛矿多型体的结构-带隙关系:共角连接的比例越高,多型体的带隙越小。进一步构建了钙钛矿卤素取代模型,研究其能带结构和稳定性,结果显示:卤素体系的带隙值顺序为I < Br < Cl,而稳定性顺序则相反。本文的研究结果表明:通过调节结构内共角连接的比例可调控材料钙钛矿带隙值的大小;通过卤素取代可提高稳定性,但需要同时注意对带隙值的不利影响。
审核编辑:刘清
Samtec应用漫谈 | 新VITA™93.0 QMC™标准为坚