时间:2013-09-23 15:09
人气:
作者:admin
1.引言
在一些设备或装置中需要在相对旋转的部件之间进行相互通信,传输如视频信号、音频信号、控制信号、传感信号等。现今使用的旋转连接技术实现方法主要有:
1)采用光纤旋转连接器,但是该器件必须安装于旋转轴中心或允许偏离中心很小的距离,在一些旋转轴中需要进行液压、气压传动以及需要布设其他线路的场合则不适用,且机械加工精度要求也较高;
2)采用集电环,但是随着信号传输路数的增加需要相应增加集电环数,使信号传输可靠性降低,且容易受到环境电磁干扰;
3)采用光电耦合进行非接触信号传输,目前文献中存在一些利用红外耦合实现在相对旋转的部件之间的通信的方案,但是红外发射与接收电路及信号变换电路集于光电耦合板中且光信号轴向发射,使旋转连接件体积较大在一些空间受到限制的场合难以应用。
为了解决上述旋转连接技术实现方法中的一些不足,本文提出一种基于光电耦合技术的旋转信号传输装置。该旋转信号传输装置在相对旋转的部件之间以光为信号载体进行非接触信号传输,使用发光二极管(LED)和光电二极管作为光发射器件与光接收器件,整个装置结构简单,对机械加工精度要求低,易于组装和安装,且成本低。
2.装置组成及原理
本装置由信号收发电路模块Ⅰ、信号收发电路模块Ⅱ、光电耦合旋转连接部件三部分组成,如图1所示。

2.1 光电耦合旋转连接部件
如图2所示,光电耦合旋转连接部件套在设备的转动轴上,旋转套管固定于转动轴随转动轴一起转动,固定套管通过法兰结构与设备的固定平台连接。考虑到在光电传输的过程中,外界光辐射以及发光LED在套管内壁的反射光也会对信号传输可靠性造成影响,对因此在固定套管内壁涂有吸光涂层以吸收外界光辐射和反射光。

2.1.1 工作原理
旋转套管随转动轴一起转动,使旋转套管和固定套管上的LED和光电二极管发生相对转动,其空腔内形成360度覆盖的复合光场,使光电二极管转到任意角度时都能接收到来自相对的LED发光管的光信号,从而实现在任意转速旋转中传递信号。
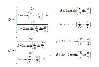
2.1.2 发光LED及与光电二极管数量的确定
如图3所示,若已知LED发光管的发射全角为α,光电二极管的接收全角为β,固定套管内壁半径为R,旋转套管外壁半径为r,设固定套管上的光电二极管数量为n个,临界数量为Q1个,固定套管上的LED发光管数量为m个,临界数量为Q2个,则临界数量Q1、Q2应满足以下关系式:

同时要使两通道光信号不相互干扰还应满足约束条件:r/R》sin(α/2)。
要使信号双向传输时各个光电二极管能稳定正确接收信号,应使固定套管上的LED发光管的数量m大于[Q2]个,光电二极管的数量n大于[Q1]个,其中[Q1]、[Q2]分别表示Q1、Q2的整数部分。

Samtec应用漫谈 | 新VITA™93.0 QMC™标准为坚